Suppr超能文献

转移性扩散部位对晚期胃食管腺癌生存的影响。

Impact of Sites of Metastatic Dissemination on Survival in Advanced Gastroesophageal Adenocarcinoma.

机构信息

Princess Margaret Cancer Centre, University Health Network, Toronto, Ontario, USA.

Department of Medicine, University of Toronto, Toronto, Ontario, USA.

出版信息

Oncology. 2022;100(8):439-448. doi: 10.1159/000525616. Epub 2022 Jun 28.

Abstract

INTRODUCTION

Metastatic gastroesophageal adenocarcinoma (GEA) is a heterogeneous disease with an overall poor prognosis. The impact of sites of metastatic dissemination on survival is not well characterized. This study aimed to evaluate whether certain sites of metastatic disease impacts survival.

METHODS

A retrospective analysis of 375 patients with metastatic GEA treated at the Princess Margaret Cancer Centre from 2006 to 2016 was performed. Overall survival (OS) and progression-free survival (PFS) were estimated using the Kaplan-Meier method. Cox proportional hazards regression models were used to assess the association between sites of metastases and OS adjusting for baseline patient characteristics.

RESULTS

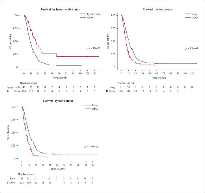
Median duration of follow-up was 47.8 months. Median OS in this cohort was 11.8 months (95% CI: 10.2-12.9 months). Patients with lymph node only disease, compared to those with other sites of metastases, had the longest median OS (20.4 vs. 10.6 months; p < 0.001) and PFS (11.4 vs. 6.3 months; p < 0.001). On multivariable analysis adjusting for relevant clinical factors including age, sex, and Eastern Cooperative Oncology Group performance status, the presence of lung (HR 1.67, 95% CI: 1.23-2.26; p < 0.001) or bone metastases (HR 1.84, 95% CI: 1.31-2.59; p < 0.001) were independently associated with shorter OS. The majority of patients (68%) were treated with palliative intent first-line platinum-based chemotherapy.

DISCUSSION/CONCLUSION: Patients with metastatic GEA have an overall poor prognosis. The presence of lung or bone metastases is an independent risk factor for decreased survival. Prognostic models incorporating sites of metastasis should be considered in the clinical evaluation of metastatic GEA.

摘要

简介

转移性胃食管腺癌(GEA)是一种异质性疾病,总体预后较差。转移性疾病的发生部位对生存的影响尚未得到很好的描述。本研究旨在评估某些部位的转移性疾病是否会影响生存。

方法

对 2006 年至 2016 年在玛格丽特公主癌症中心治疗的 375 例转移性 GEA 患者进行回顾性分析。采用 Kaplan-Meier 法估计总生存期(OS)和无进展生存期(PFS)。使用 Cox 比例风险回归模型评估转移部位与 OS 之间的关联,调整基线患者特征。

结果

中位随访时间为 47.8 个月。本队列的中位 OS 为 11.8 个月(95%CI:10.2-12.9 个月)。与其他转移部位相比,仅淋巴结疾病的患者中位 OS 最长(20.4 个月 vs. 10.6 个月;p<0.001)和 PFS(11.4 个月 vs. 6.3 个月;p<0.001)。在调整包括年龄、性别和东部肿瘤协作组表现状态等相关临床因素的多变量分析中,存在肺(HR 1.67,95%CI:1.23-2.26;p<0.001)或骨转移(HR 1.84,95%CI:1.31-2.59;p<0.001)与 OS 缩短独立相关。大多数患者(68%)首先接受姑息性一线铂类化疗。

讨论/结论:转移性 GEA 患者总体预后较差。存在肺或骨转移是生存时间缩短的独立危险因素。在评估转移性 GEA 时,应考虑纳入转移部位的预后模型。

https://cdn.ncbi.nlm.nih.gov/pmc/blobs/13ca/9533436/00b1084e638a/ocl-0100-0439-g01.jpg

文献检索

告别复杂PubMed语法,用中文像聊天一样搜索,搜遍4000万医学文献。AI智能推荐,让科研检索更轻松。

立即免费搜索

文件翻译

保留排版,准确专业,支持PDF/Word/PPT等文件格式,支持 12+语言互译。

免费翻译文档

深度研究

AI帮你快速写综述,25分钟生成高质量综述,智能提取关键信息,辅助科研写作。

立即免费体验