Suppr超能文献

在反硝化细菌 Aromatoleum sp. CIB 中对环己烷羧酸降解途径的遗传特征进行分析。

Genetic characterization of the cyclohexane carboxylate degradation pathway in the denitrifying bacterium Aromatoleum sp. CIB.

机构信息

Department of Microbial and Plant Biotechnology, Centro de Investigaciones Biológicas Margarita Salas-CSIC, Madrid, Spain.

出版信息

Environ Microbiol. 2022 Nov;24(11):4987-5004. doi: 10.1111/1462-2920.16093. Epub 2022 Jun 29.

Abstract

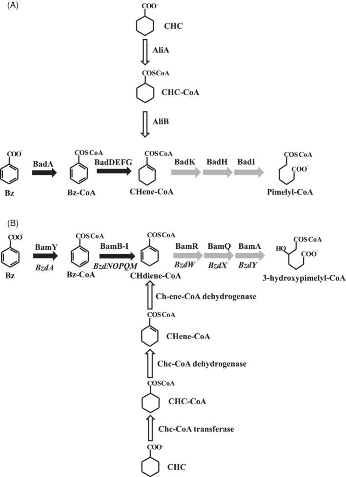
The alicyclic compound cyclohexane carboxylate (CHC) is anaerobically degraded through a peripheral pathway that converges with the central benzoyl-CoA degradation pathway of aromatic compounds in Rhodopseudomonas palustris (bad pathway) and some strictly anaerobic bacteria. Here we show that in denitrifying bacteria, e.g. Aromatoleum sp. CIB strain, CHC is degraded through a bad-ali pathway similar to that reported in R. palustris but that does not share common intermediates with the benzoyl-CoA degradation pathway (bzd pathway) of this bacterium. The bad-ali genes are also involved in the aerobic degradation of CHC in strain CIB, and orthologous bad-ali clusters have been identified in the genomes of a wide variety of bacteria. Expression of bad-ali genes in strain CIB is under control of the BadR transcriptional repressor, which was shown to recognize CHC-CoA, the first intermediate of the pathway, as effector, and whose operator region (CAAN TTG) was conserved in bad-ali clusters from Gram-negative bacteria. The bad-ali and bzd pathways generate pimelyl-CoA and 3-hydroxypimelyl-CoA, respectively, that are metabolized through a common aab pathway whose genetic determinants form a supraoperonic clustering with the bad-ali genes. A synthetic bad-ali-aab catabolic module was engineered and it was shown to confer CHC degradation abilities to different bacterial hosts.

摘要

环己烷羧酸酯 (CHC) 是一种脂环族化合物,可通过一种周边途径在厌氧菌中降解,该途径与沼泽红假单胞菌 (Rhodopseudomonas palustris) 中芳香族化合物的中心苯甲酰辅酶 A 降解途径 (坏途径) 和一些严格厌氧菌 converge。在这里,我们表明,在脱氮细菌中,例如 Aromatoleum sp. CIB 菌株,CHC 通过类似于在沼泽红假单胞菌中报道的坏途径降解,但与该细菌的苯甲酰辅酶 A 降解途径 (bzd 途径) 没有共同的中间体。bad-ali 基因也参与了 CIB 菌株中 CHC 的好氧降解,并且在各种各样的细菌的基因组中已经鉴定出了同源的 bad-ali 簇。CIB 菌株中 bad-ali 基因的表达受 BadR 转录阻遏物的控制,该阻遏物被证明可以识别途径的第一个中间体 CHC-CoA 作为效应物,其操纵子区域 (CAAN TTG) 在革兰氏阴性细菌的 bad-ali 簇中保守。bad-ali 和 bzd 途径分别生成 pimelyl-CoA 和 3-羟基 pimelyl-CoA,它们通过一个共同的 aab 途径代谢,其遗传决定因素与 bad-ali 基因形成一个超操纵基因簇。设计了一个合成的 bad-ali-aab 降解模块,并证明它能够赋予不同的细菌宿主 CHC 降解能力。

https://cdn.ncbi.nlm.nih.gov/pmc/blobs/fd55/9795900/75052d70aaca/EMI-24-4987-g009.jpg

文献AI研究员

20分钟写一篇综述,助力文献阅读效率提升50倍。

立即体验

用中文搜PubMed

大模型驱动的PubMed中文搜索引擎

马上搜索

文档翻译

学术文献翻译模型,支持多种主流文档格式。

立即体验