Merck Institute of Pharmacometrics, Lausanne, Switzerland.
Pharmetheus AB, Uppsala, Sweden.
Cancer Chemother Pharmacol. 2022 Jul;90(1):53-69. doi: 10.1007/s00280-022-04441-3. Epub 2022 Jun 30.
Tepotinib is a highly selective MET inhibitor approved for treatment of non-small cell lung cancer (NSCLC) harboring METex14 skipping alterations. Analyses presented herein evaluated the relationship between tepotinib exposure, and efficacy and safety outcomes.
Exposure-efficacy analyses included data from an ongoing phase 2 study (VISION) investigating 500 mg/day tepotinib in NSCLC harboring METex14 skipping alterations. Efficacy endpoints included objective response, duration of response, and progression-free survival. Exposure-safety analyses included data from VISION, plus four completed studies in advanced solid tumors/hepatocellular carcinoma (30-1400 mg). Safety endpoints included edema, serum albumin, creatinine, amylase, lipase, alanine aminotransferase, aspartate aminotransferase, and QT interval corrected using Fridericia's method (QTcF).
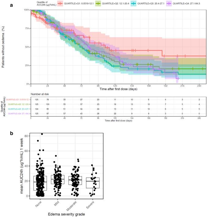
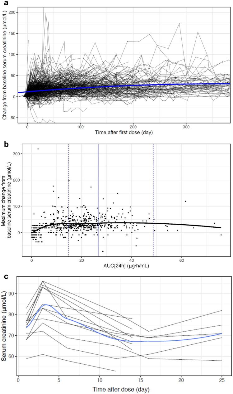
Tepotinib exhibited flat exposure-efficacy relationships for all endpoints within the exposure range observed with 500 mg/day. Tepotinib also exhibited flat exposure-safety relationships for all endpoints within the exposure range observed with 30-1400 mg doses. Edema is the most frequently reported adverse event and the most frequent cause of tepotinib dose reductions and interruptions; however, the effect plateaued at low exposures. Concentration-QTc analyses using data from 30 to 1400 mg tepotinib resulted in the upper bounds of the 90% confidence interval being less than 10 ms for the mean exposures at the therapeutic (500 mg) and supratherapeutic (1000 mg) doses.
These analyses provide important quantitative pharmacologic support for benefit/risk assessment of the 500 mg/day dosage of tepotinib as being appropriate for the treatment of NSCLC harboring METex14 skipping alterations.
NCT01014936, NCT01832506, NCT01988493, NCT02115373, NCT02864992.
替波替尼是一种高度选择性的 MET 抑制剂,获批用于治疗携带 METex14 跳跃突变的非小细胞肺癌(NSCLC)。本文分析了替波替尼暴露与疗效和安全性结局之间的关系。
暴露-疗效分析纳入了一项正在进行的、评估 NSCLC 患者中每日 500mg 替波替尼疗效和安全性的 II 期研究(VISION)数据。疗效终点包括客观缓解率、缓解持续时间和无进展生存期。暴露-安全性分析纳入了 VISION 研究数据,以及四项晚期实体瘤/肝细胞癌(30-1400mg)完成研究的数据。安全性终点包括水肿、血清白蛋白、肌酐、淀粉酶、脂肪酶、丙氨酸氨基转移酶、天冬氨酸氨基转移酶和采用 Fridericia 法校正的 QT 间期(QTcF)。
在每日 500mg 观察到的暴露范围内,所有终点均表现出替波替尼暴露-疗效关系平坦。在每日 30-1400mg 观察到的暴露范围内,所有终点均表现出替波替尼暴露-安全性关系平坦。水肿是最常报告的不良事件,也是替波替尼剂量减少和中断最常见的原因;然而,在低暴露水平时,其效应趋于平稳。采用每日 30-1400mg 替波替尼数据进行浓度-QTc 分析,导致治疗剂量(500mg)和超治疗剂量(1000mg)平均暴露时的 90%置信区间上限小于 10ms。
这些分析为评估 500mg 替波替尼治疗携带 METex14 跳跃突变的 NSCLC 的获益/风险提供了重要的定量药理学支持。
NCT01014936、NCT01832506、NCT01988493、NCT02115373、NCT02864992。