Suppr超能文献

狭窄动脉中存在后扩张和强制场的血流的数学模型。

A mathematical model of blood flow in a stenosed artery with post-stenotic dilatation and a forced field.

机构信息

Department of Mathematics, BLDEA's VP Dr. PG Halakatti College of Engineering and Technology, Vijayapur, India.

Department of Mathematics, Lahore College for Women University, Lahore, Pakistan.

出版信息

PLoS One. 2022 Jul 1;17(7):e0266727. doi: 10.1371/journal.pone.0266727. eCollection 2022.

Abstract

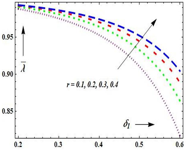
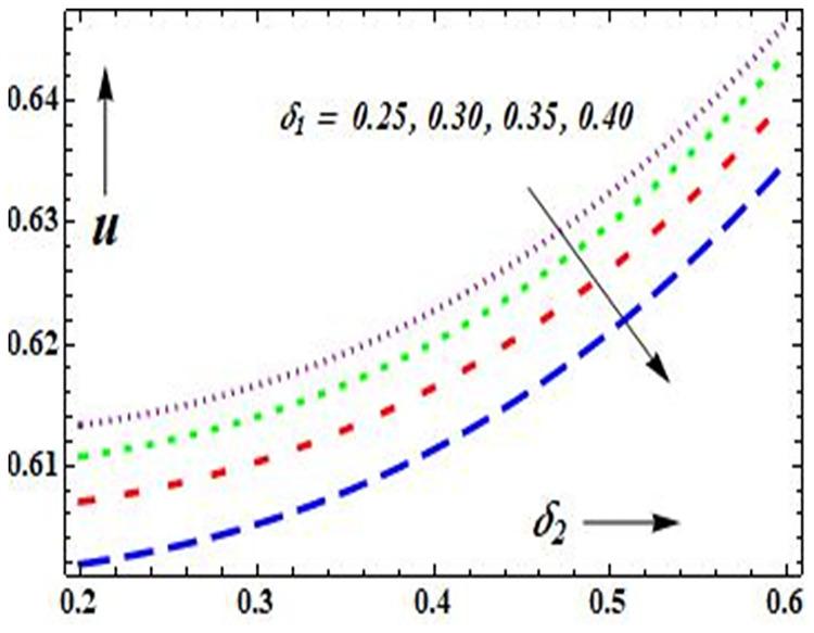
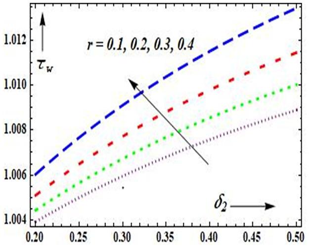
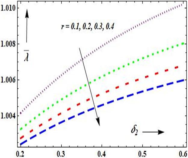
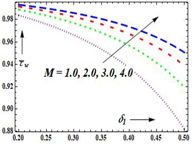
Arterial stenosis is a common cardiovascular disease that restricts blood flow. A stenotic blood vessel creates tangent stress pressure, which lessens the arterial side and causes an aneurysm. The primary purpose of this study is to investigate blood flowing via an inclination pipe with stricture and expansion after stricture (widening) underneath the influence of a constant incompressible Casson liquid flowing with the magnetism field. The relations for surface shearing stress, pressure drop, flow resistance, and velocity are calculated analytically by applying a mild stenosis approximation. The effect of different physical characteristics on liquid impedance to flowing, velocity, and surface shearing stress are studied. With a non-Newtonian aspect of the Casson liquid, the surface shearing stress declines, and an impedance upturn. Side resistivity and shear-stress increase with the elevations of stricture, whilst together decreasing with a dilatation height.

摘要

动脉狭窄是一种常见的心血管疾病,会限制血液流动。狭窄的血管会产生切向应力压力,从而减小动脉侧并导致动脉瘤。本研究的主要目的是研究在恒定不可压缩 Casson 液体在磁场作用下流过狭窄和狭窄(扩张)下方的倾斜管道时,通过狭窄和扩张(扩张)后的倾斜管道的血液流动。通过应用轻度狭窄近似值,分析计算了表面剪切应力、压降、流动阻力和速度的关系。研究了不同物理特性对液体流动阻抗、速度和表面剪切应力的影响。对于 Casson 液体的非牛顿特性,表面剪切应力下降,阻抗上升。随着狭窄程度的增加,侧壁电阻率和剪切应力增加,而随着扩张高度的增加,它们一起减小。

https://cdn.ncbi.nlm.nih.gov/pmc/blobs/9139/9249183/4e0230e0ffe7/pone.0266727.g001.jpg

文献AI研究员

20分钟写一篇综述,助力文献阅读效率提升50倍。

立即体验

用中文搜PubMed

大模型驱动的PubMed中文搜索引擎

马上搜索

文档翻译

学术文献翻译模型,支持多种主流文档格式。

立即体验