Suppr超能文献

超越诊断预测:测量生物素酶活性在肝糖原贮积病中是否有作用?

Beyond predicting diagnosis: Is there a role for measuring biotinidase activity in liver glycogen storage diseases?

作者信息

El-Gharbawy Areeg, Tolun Adviye A, Halaby Carine A, Austin Stephanie L, Kishnani Priya S, Bali Deeksha S

机构信息

Division of Medical Genetics, Department of Pediatrics, Duke University Medical Center, Durham, NC, USA.

NSW Biochemical Genetics Service, The Children's Hospital at Westmead, Westmead, NSW, Australia.

出版信息

Mol Genet Metab Rep. 2022 Feb 28;31:100856. doi: 10.1016/j.ymgmr.2022.100856. eCollection 2022 Jun.

Abstract

INTRODUCTION

Biotinidase synthesis is needed to recycle biotin for essential metabolic reactions. Biotinidase activity is lower than normal levels in advanced liver disease but is higher in hepatic glycogen storage disorders (GSDs), however the cause of this association remains unclear.

METHODS

In this study, biotinidase activity was measured in plasma samples from 45 individuals with hepatic GSDs; GSDI (a, b; n = 25) and GSD III (a, b; n = 20), complemented by a chart review to associate biotinidase activity levels with clinical laboratory and imaging findings known to be implicated in these GSDs.

RESULTS

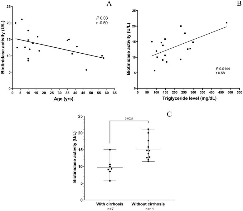
Our findings showed variation in biotinidase activity levels among subjects with GSD I and III; biotinidase activity correlated positively with hypertriglyceridemia in subjects with GSD I ( = 0.47, P = 0.036) and GSD III ( = 0.58, P = 0.014), and correlated negatively with age ( = -0.50, P = 0.03) in patients with GSD III. Additionally, biotinidase activity was reduced, albeit within the normal range in subjects with evidence of fibrosis/cirrhosis, as compared to subjects with hepatomegaly with or without steatosis (P = 0.002).

DISCUSSIONS

These findings suggest that abnormal lipid metabolism in GSD I and III and progressive liver disease in GSD III may influence biotinidase activity levels. We suggest that a prospective, multi-center, longitudinal study designed to assess the significance of monitoring biotinidase activity in a larger cohort with hepatic GSDs is warranted to confirm this observation.

TAKE-HOME MESSAGE: Altered lipid metabolism and advancing liver fibrosis/cirrhosis may influence biotinidase activity levels in patients with hepatic glycogen storage disease. Thus, longitudinal monitoring of biotinidase activity, when combined with clinical and other biochemical findings may be informative.

摘要

引言

生物素酶的合成对于循环利用生物素以进行必需的代谢反应是必要的。在晚期肝病中,生物素酶活性低于正常水平,但在肝糖原贮积病(GSDs)中则较高,然而这种关联的原因仍不清楚。

方法

在本研究中,测定了45例肝糖原贮积病患者血浆样本中的生物素酶活性;糖原贮积病I型(a、b型;n = 25)和糖原贮积病III型(a、b型;n = 20),并通过病历回顾将生物素酶活性水平与已知与这些糖原贮积病相关的临床实验室及影像学检查结果相关联。

结果

我们的研究结果显示,糖原贮积病I型和III型患者的生物素酶活性水平存在差异;生物素酶活性与糖原贮积病I型患者(r = 0.47,P = 0.036)和糖原贮积病III型患者(r = 0.58,P = 0.014)的高甘油三酯血症呈正相关,与糖原贮积病III型患者的年龄呈负相关(r = -0.50,P = 0.03)。此外,与有或无脂肪变性的肝肿大患者相比,有纤维化/肝硬化证据的患者生物素酶活性降低,尽管仍在正常范围内(P = 0.002)。

讨论

这些发现表明,糖原贮积病I型和III型中异常的脂质代谢以及糖原贮积病III型中的进行性肝病可能影响生物素酶活性水平。我们建议开展一项前瞻性、多中心、纵向研究,旨在评估在更大的肝糖原贮积病队列中监测生物素酶活性的意义,以证实这一观察结果。

要点

脂质代谢改变和肝纤维化/肝硬化进展可能影响肝糖原贮积病患者的生物素酶活性水平。因此,将生物素酶活性的纵向监测与临床及其他生化检查结果相结合可能会提供有用信息。

https://cdn.ncbi.nlm.nih.gov/pmc/blobs/7c3a/9248216/afcf0cac90f5/gr1.jpg

文献AI研究员

20分钟写一篇综述,助力文献阅读效率提升50倍。

立即体验

用中文搜PubMed

大模型驱动的PubMed中文搜索引擎

马上搜索

文档翻译

学术文献翻译模型,支持多种主流文档格式。

立即体验