Suppr超能文献

北美和欧洲奶山羊的遗传特征及种群关联性

Genetic Characterization and Population Connectedness of North American and European Dairy Goats.

作者信息

Teissier Marc, Brito Luiz F, Schenkel Flavio S, Bruni Guido, Fresi Pancrazio, Bapst Beat, Robert-Granie Christèle, Larroque Hélène

机构信息

GenPhySE, Université de Toulouse, Toulouse, France.

Department of Animal Sciences, Purdue University, West Lafayette, IN, United States.

出版信息

Front Genet. 2022 Jun 17;13:862838. doi: 10.3389/fgene.2022.862838. eCollection 2022.

Abstract

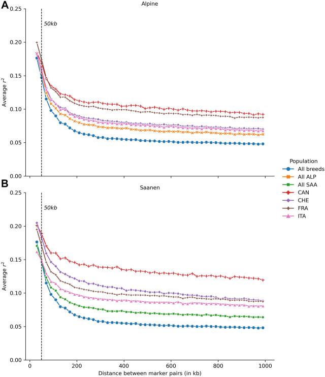
Genomic prediction of breeding values is routinely performed in several livestock breeding programs around the world, but the size of the training populations and the genetic structure of populations evaluated have, in many instances, limited the increase in the accuracy of genomic estimated breeding values. Combining phenotypic, pedigree, and genomic data from genetically related populations can be a feasible strategy to overcome this limitation. However, the success of across-population genetic evaluations depends on the pedigree connectedness and genetic relationship among individuals from different populations. In this context, this study aimed to evaluate the genetic connectedness and population structure of Alpine and Saanen dairy goats from four countries involved in the European project SMARTER (SMAll RuminanTs Breeding for Efficiency and Resilience), including Canada, France, Italy, and Switzerland. These analyses are paramount for assessing the potential feasibility of an across-country genomic evaluation in dairy goats. Approximately, 9,855 genotyped individuals (with 51% French genotyped animals) and 6,435,189 animals included in the pedigree files were available across all four populations. The pedigree analyses indicated that the exchange of breeding animals was mainly unilateral with flows from France to the other three countries. Italy has also imported breeding animals from Switzerland. Principal component analyses (PCAs), genetic admixture analysis, and consistency of the gametic phase revealed that French and Italian populations are more genetically related than the other dairy goat population pairs. Canadian dairy goats showed the largest within-breed heterogeneity and genetic differences with the European populations. The genetic diversity and population connectedness between the studied populations indicated that an international genomic evaluation may be more feasible, especially for French and Italian goats. Further studies will investigate the accuracy of genomic breeding values when combining the datasets from these four populations.

摘要

在世界各地的多个家畜育种项目中,育种值的基因组预测已成为常规操作,但在许多情况下,训练群体的规模以及所评估群体的遗传结构限制了基因组估计育种值准确性的提高。整合来自遗传相关群体的表型、系谱和基因组数据可能是克服这一限制的可行策略。然而,跨群体遗传评估的成功取决于不同群体个体之间的系谱关联性和遗传关系。在此背景下,本研究旨在评估参与欧洲项目SMARTER(小型反刍动物高效与适应力育种)的四个国家(包括加拿大、法国、意大利和瑞士)的阿尔卑斯奶山羊和萨能奶山羊的遗传关联性和群体结构。这些分析对于评估奶山羊跨国基因组评估的潜在可行性至关重要。在所有四个群体中,大约有9855个基因分型个体(其中51%为法国基因分型动物)以及系谱文件中包含的6435189只动物。系谱分析表明,种畜的交换主要是单向的,从法国流向其他三个国家。意大利也从瑞士进口了种畜。主成分分析(PCA)、遗传混合分析以及配子相位的一致性表明,法国和意大利群体之间的遗传关系比其他奶山羊群体对更为密切。加拿大奶山羊在品种内表现出最大的异质性,并且与欧洲群体存在遗传差异。所研究群体之间的遗传多样性和群体关联性表明,国际基因组评估可能更具可行性,尤其是对于法国和意大利的山羊。进一步的研究将调查整合这四个群体的数据集时基因组育种值的准确性。

https://cdn.ncbi.nlm.nih.gov/pmc/blobs/88d2/9247305/415d997a756c/fgene-13-862838-g001.jpg

文献AI研究员

20分钟写一篇综述,助力文献阅读效率提升50倍。

立即体验

用中文搜PubMed

大模型驱动的PubMed中文搜索引擎

马上搜索

文档翻译

学术文献翻译模型,支持多种主流文档格式。

立即体验