Suppr超能文献

脊柱单节段颈椎间盘置换术与可逆性后凸:一项有限元研究。

Single-level cervical disc arthroplasty in the spine with reversible kyphosis: A finite element study.

作者信息

Hu Xu, Jiang Majiao, Hong Ying, Rong Xin, Huang Kangkang, Liu Hao, Pu Dan, Wang Beiyu

机构信息

Department of Orthopedics, Orthopedic Research Institute West China Hospital, Sichuan University Chengdu Sichuan Province China.

Department of Biomedical Engineering City University of Hong Kong Hong Kong SAR China.

出版信息

JOR Spine. 2022 Feb 8;5(2):e1194. doi: 10.1002/jsp2.1194. eCollection 2022 Jun.

Abstract

BACKGROUND

Our previous studies found the single-level cervical disc arthroplasty (CDA) might be a feasible treatment for the patients with reversible kyphosis (RK). Theoretically, the change of cervical alignment from lordosis to RK comes with the biomechanical alteration of prostheses and cervical spine. However, the biomechanical data of CDA in the spine with RK have not been reported. This study aimed at establishing finite element (FE) models to (1) explore the effects of RK on the biomechanics of artificial cervical disc; (2) investigate the biomechanical differences of single-level anterior cervical discectomy and fusion (ACDF) and CDA in the cervical spine with RK.

METHODS

The FE models of the cervical spine with lordosis and RK were constructed, then three single-level surgical models were developed: (1) RK + ACDF; (2) RK + CDA; (3) lordosis + CDA. A 73.6-N follower load combined with 1 N·m moment was applied at the C2 vertebra to produce cervical motion.

RESULTS

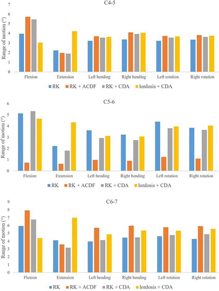
At the surgical level, "lordosis + CDA" had the greatest ROM (except for flexion) while "RK + ACDF" had the minimum ROM. However, at adjacent levels, the ROM of "RK + ACDF" increased by 4.05% to 38.04% in comparison to "RK + CDA." "RK + ACDF" had the greatest prosthesis interface stress, while the maximum prosthesis interface stress of "RK + CDA" was at least 2.15 times higher than "lordosis + CDA." Similarly, "RK + ACDF" had the greatest intradiscal pressure (IDP) at adjacent levels, while the IDP of "RK + CDA" was 1.6 to 6.7 times higher than "lordosis + CDA." At the surgical level, "RK + CDA" had the greatest facet joint stress (except for extension), which was 1.9 to 11.2 times higher than "lordosis + CDA." At the adjacent levels, "RK + CDA" had the greatest facet joint stress (except for extension), followed by "RK + ACDF" and "lordosis + CDA" in descending order.

CONCLUSIONS

RK significantly changed the biomechanics of CDA, which is demonstrated by the decreased ROM and the significantly increased prosthesis interface stress, IDP, and facet joint stress in the "RK + CDA" model. Compared with ACDF, CDA overall exhibited a better biomechanical performance in the cervical spine with RK, with the increased ROM of surgical level and facet joint stress and the decreased ROM of adjacent levels, prosthesis interface stress, and IDP.

摘要

背景

我们之前的研究发现,单节段颈椎间盘置换术(CDA)可能是治疗可逆性后凸畸形(RK)患者的一种可行方法。从理论上讲,颈椎曲度从前凸变为后凸伴随着假体和颈椎生物力学的改变。然而,关于RK脊柱中CDA的生物力学数据尚未见报道。本研究旨在建立有限元(FE)模型,以(1)探讨RK对人工颈椎间盘生物力学的影响;(2)研究单节段颈椎前路椎间盘切除融合术(ACDF)和CDA在RK颈椎中的生物力学差异。

方法

构建了前凸和RK颈椎的FE模型,然后建立了三种单节段手术模型:(1)RK + ACDF;(2)RK + CDA;(3)前凸 + CDA。在C2椎体施加73.6 N的随动载荷并结合1 N·m的力矩以产生颈椎运动。

结果

在手术节段,“前凸 + CDA”具有最大的活动度(除屈曲外),而“RK + ACDF”的活动度最小。然而,在相邻节段,与“RK + CDA”相比,“RK + ACDF”的活动度增加了4.05%至38.04%。“RK + ACDF”具有最大的假体界面应力,而“RK + CDA”的最大假体界面应力至少比“前凸 + CDA”高2.15倍。同样,“RK + ACDF”在相邻节段具有最大的椎间盘内压力(IDP),而“RK + CDA”的IDP比“前凸 + CDA”高1.6至6.7倍。在手术节段,“RK + CDA”具有最大的小关节应力(除伸展外),比“前凸 + CDA”高1.9至11.2倍。在相邻节段,“RK + CDA”具有最大的小关节应力(除伸展外),其次是“RK + ACDF”和“前凸 + CDA”,顺序递减。

结论

RK显著改变了CDA的生物力学,这在“RK + CDA”模型中表现为活动度降低以及假体界面应力、IDP和小关节应力显著增加。与ACDF相比,CDA在RK颈椎中总体表现出更好的生物力学性能,手术节段的活动度和小关节应力增加,相邻节段的活动度、假体界面应力和IDP降低。

https://cdn.ncbi.nlm.nih.gov/pmc/blobs/bb0a/9238281/3e67eab2640b/JSP2-5-e1194-g004.jpg

文献AI研究员

20分钟写一篇综述,助力文献阅读效率提升50倍。

立即体验

用中文搜PubMed

大模型驱动的PubMed中文搜索引擎

马上搜索

文档翻译

学术文献翻译模型,支持多种主流文档格式。

立即体验