• 文献检索
  • 文档翻译
  • 深度研究
  • 学术资讯
  • Suppr Zotero 插件Zotero 插件
  • 邀请有礼
  • 套餐&价格
  • 历史记录
应用&插件
Suppr Zotero 插件Zotero 插件浏览器插件Mac 客户端Windows 客户端微信小程序
定价
高级版会员购买积分包购买API积分包
服务
文献检索文档翻译深度研究API 文档MCP 服务
关于我们
关于 Suppr公司介绍联系我们用户协议隐私条款
关注我们

Suppr 超能文献

核心技术专利:CN118964589B侵权必究
粤ICP备2023148730 号-1Suppr @ 2026

文献检索

告别复杂PubMed语法,用中文像聊天一样搜索,搜遍4000万医学文献。AI智能推荐,让科研检索更轻松。

立即免费搜索

文件翻译

保留排版,准确专业,支持PDF/Word/PPT等文件格式,支持 12+语言互译。

免费翻译文档

深度研究

AI帮你快速写综述,25分钟生成高质量综述,智能提取关键信息,辅助科研写作。

立即免费体验

肉鸡胸肌病中性别、肤色与生产性能参数之间的关系

Relationship among Sex, Skin Color, and Production Parameters of Broiler in Pectoral Myopathies.

作者信息

Novoa Martín, Francisco Iván, Lage Almudena, Benedito José Luis, García Lucio, Vázquez Luis, Cobas Noemi

机构信息

COREN, Sociedad Cooperativa Galega, 32003 Orense, Spain.

Departamento de Patología Animal, Facultad de Veterinaria, Universidad de Santiago de Compostela (USC), 27002 Lugo, Spain.

出版信息

Animals (Basel). 2022 Jun 23;12(13):1617. doi: 10.3390/ani12131617.

DOI:10.3390/ani12131617
PMID:35804516
原文链接:https://pmc.ncbi.nlm.nih.gov/articles/PMC9264991/
Abstract

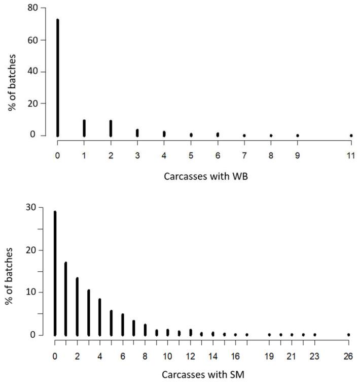
Breast anomalies in broilers, especially wooden breast (WB) and spaghetti meat (SM), cause high economic losses to the poultry meat sector. In order to identify the parameters that have a causal effect and to reduce the incidence of these myopathies, 141,792 broilers were analyzed in a total of 1477 batches using a visual grading system. The relationship among productive parameters such as the feed conversion ratio, live weight, growth rate, and mortality, was evaluated. Effects due to skin color (white vs. yellow), broiler sex (male, female, and mixed groups), feed presentation (grain vs. mash), and veterinary treatments (treated vs. untreated) were also included in the statistical study. Live weight was observed to have a significant effect (p < 0.001) on WB incidence, which increased by 1.11 for each 100 g of weight. Weight did not significantly affect the incidence of SM. Males had a higher incidence of WB and a lower incidence of SM than females. The incidence of both myopathies varied between samples that turned out to be significantly affected by some of the variables considered in the model, such as grain feeding and the feed conversion ratio. Controlling these factors in the broiler production could help to reduce the incidence of WB and SM.

摘要

肉鸡的胸部异常,尤其是木胸(WB)和 spaghetti 肉(SM),给禽肉行业造成了巨大的经济损失。为了确定具有因果关系的参数并降低这些肌病的发病率,使用视觉分级系统对总共 1477 批的 141,792 只肉鸡进行了分析。评估了诸如饲料转化率、活重、生长速率和死亡率等生产参数之间的关系。统计研究还包括了肤色(白色与黄色)、肉鸡性别(雄性、雌性和混合组)、饲料形式(颗粒料与粉料)以及兽医治疗(治疗与未治疗)的影响。观察到活重对 WB 的发病率有显著影响(p < 0.001),每增加 100 克体重,发病率增加 1.11。体重对 SM 的发病率没有显著影响。雄性的 WB 发病率高于雌性,而 SM 的发病率低于雌性。在模型中考虑的一些变量,如颗粒料喂养和饲料转化率,对样本中这两种肌病的发病率有显著影响。在肉鸡生产中控制这些因素有助于降低 WB 和 SM 的发病率。

https://cdn.ncbi.nlm.nih.gov/pmc/blobs/e89e/9264991/1023321fe4fd/animals-12-01617-g001.jpg
https://cdn.ncbi.nlm.nih.gov/pmc/blobs/e89e/9264991/1023321fe4fd/animals-12-01617-g001.jpg
https://cdn.ncbi.nlm.nih.gov/pmc/blobs/e89e/9264991/1023321fe4fd/animals-12-01617-g001.jpg

相似文献

1
Relationship among Sex, Skin Color, and Production Parameters of Broiler in Pectoral Myopathies.肉鸡胸肌病中性别、肤色与生产性能参数之间的关系
Animals (Basel). 2022 Jun 23;12(13):1617. doi: 10.3390/ani12131617.
2
Effects of feeding different histidine to lysine ratios on performance, meat quality, and the occurrence of breast myopathies in broiler chickens.不同组氨酸与赖氨酸比例的饲粮对肉鸡生产性能、肉品质和胸肌病发生的影响。
Poult Sci. 2022 Feb;101(2):101568. doi: 10.1016/j.psj.2021.101568. Epub 2021 Oct 24.
3
Prevalence of breast muscle myopathies (spaghetti meat, woody breast, white striping) and associated risk factors in broiler chickens from Ontario Canada.加拿大安大略省肉鸡中乳房肌肉肌病(意大利面条肉、木质鸡胸、白条)的流行情况及其相关风险因素。
PLoS One. 2022 Apr 15;17(4):e0267019. doi: 10.1371/journal.pone.0267019. eCollection 2022.
4
Factors Affecting Breast Myopathies in Broiler Chickens and Quality of Defective Meat: A Meta-Analysis.影响肉鸡乳房肌病及劣质肉品质的因素:一项荟萃分析
Front Physiol. 2022 Jul 1;13:933235. doi: 10.3389/fphys.2022.933235. eCollection 2022.
5
Effect of different arginine-to-lysine ratios in broiler chicken diets on the occurrence of breast myopathies and meat quality attributes.肉鸡日粮中不同精氨酸与赖氨酸比例对胸肌病发生和肉质属性的影响。
Poult Sci. 2019 Jun 1;98(6):2691-2697. doi: 10.3382/ps/pey608.
6
Effect of genotype, gender and feed restriction on growth, meat quality and the occurrence of white striping and wooden breast in broiler chickens.基因型、性别和限饲对肉鸡生长性能、肉质以及白条纹肉和木质胸肉发生率的影响。
Poult Sci. 2015 Dec;94(12):2996-3004. doi: 10.3382/ps/pev296. Epub 2015 Oct 15.
7
Performance, meat quality, and pectoral myopathies of broilers fed either corn or sorghum based diets supplemented with guanidinoacetic acid.以玉米或高粱为基础日粮并添加胍基乙酸饲养肉鸡的性能、肉质和胸肌病。
Poult Sci. 2018 Jul 1;97(7):2479-2493. doi: 10.3382/ps/pey096.
8
White striping and wooden breast myopathies of broiler breast muscle is affected by time-limited feeding, genetic background, and egg storage.肉鸡胸肌的白条纹和木质胸肌肌病受限时喂养、遗传背景和种蛋贮存的影响。
Poult Sci. 2019 Jan 1;98(1):217-226. doi: 10.3382/ps/pey333.
9
Textural and physical properties of breast fillets with myopathies (wooden breast, white striping, spaghetti meat) in Canadian fast-growing broiler chickens.加拿大快速生长肉鸡中具有肌肉病(木质鸡胸、白条、意大利面条肉)的鸡胸肉的质地和物理特性。
Poult Sci. 2023 Feb;102(2):102309. doi: 10.1016/j.psj.2022.102309. Epub 2022 Nov 5.
10
Characteristics of broiler chicken breast myopathies (spaghetti meat, woody breast, white striping) in Ontario, Canada.加拿大安大略省肉鸡胸肌病(面条肉、木质胸、白条)的特征。
Poult Sci. 2022 Apr;101(4):101747. doi: 10.1016/j.psj.2022.101747. Epub 2022 Jan 26.

本文引用的文献

1
Review: Production factors affecting poultry carcass and meat quality attributes.综述:影响家禽胴体和肉质属性的生产因素。
Animal. 2022 Feb;16 Suppl 1:100331. doi: 10.1016/j.animal.2021.100331. Epub 2021 Aug 19.
2
Review: Physiological growth trend of current meat broilers and dietary protein and energy management approaches for sustainable broiler production.综述:当前肉鸡的生理生长趋势及可持续肉鸡生产的日粮蛋白质和能量管理方法。
Animal. 2021 Dec;15 Suppl 1:100284. doi: 10.1016/j.animal.2021.100284. Epub 2021 Jul 8.
3
Spaghetti Meat Abnormality in Broilers: Current Understanding and Future Research Directions.
肉鸡的意大利面状肉质异常:当前认识与未来研究方向
Front Physiol. 2021 May 31;12:684497. doi: 10.3389/fphys.2021.684497. eCollection 2021.
4
Effect of Limestone Particle Size and Potassium Supplementation on Growth Performance, Blood Physiology, and Breast Muscle Myopathy of Male Broiler Chickens.石灰石颗粒大小和补钾对雄性肉鸡生长性能、血液生理学及胸肌肌病的影响
Front Vet Sci. 2020 Dec 15;7:603284. doi: 10.3389/fvets.2020.603284. eCollection 2020.
5
Wooden-Breast, White Striping, and Spaghetti Meat: Causes, Consequences and Consumer Perception of Emerging Broiler Meat Abnormalities.木胸、白纹和肉条:新兴肉鸡胴体异常的成因、后果及消费者认知
Compr Rev Food Sci Food Saf. 2019 Mar;18(2):565-583. doi: 10.1111/1541-4337.12431. Epub 2019 Feb 4.
6
Associations between carcass weight uniformity and production measures on farm and at slaughter in commercial broiler flocks.商品肉鸡群在农场和屠宰场的胴体重量均匀度与生产措施之间的关系。
Poult Sci. 2019 Oct 1;98(10):4261-4268. doi: 10.3382/ps/pez252.
7
Gene expression profiling of the early pathogenesis of wooden breast disease in commercial broiler chickens using RNA-sequencing.使用 RNA 测序技术对商业肉鸡木胸病早期发病机制的基因表达谱分析。
PLoS One. 2018 Dec 5;13(12):e0207346. doi: 10.1371/journal.pone.0207346. eCollection 2018.
8
The Incidence of Muscle Abnormalities in Broiler Breast Meat - A Review.肉鸡鸡胸肉肌肉异常的发生率——综述
Korean J Food Sci Anim Resour. 2018 Oct;38(5):835-850. doi: 10.5851/kosfa.2018.e2. Epub 2018 Oct 31.
9
Spotlight on avian pathology: current growth-related breast meat abnormalities in broilers.聚焦禽类病理学:肉鸡当前与生长相关的胸肉异常情况。
Avian Pathol. 2019 Feb;48(1):1-3. doi: 10.1080/03079457.2018.1508821. Epub 2018 Sep 24.
10
Evaluation of the Use of Phosphatidic Acid in the Diet on Growth Performance and Breast Meat Yield in Broilers.日粮中使用磷脂酸对肉鸡生长性能和胸肉产量的影响评估。
Animals (Basel). 2018 Jun 5;8(6):87. doi: 10.3390/ani8060087.