• 文献检索
  • 文档翻译
  • 深度研究
  • 学术资讯
  • Suppr Zotero 插件Zotero 插件
  • 邀请有礼
  • 套餐&价格
  • 历史记录
应用&插件
Suppr Zotero 插件Zotero 插件浏览器插件Mac 客户端Windows 客户端微信小程序
定价
高级版会员购买积分包购买API积分包
服务
文献检索文档翻译深度研究API 文档MCP 服务
关于我们
关于 Suppr公司介绍联系我们用户协议隐私条款
关注我们

Suppr 超能文献

核心技术专利:CN118964589B侵权必究
粤ICP备2023148730 号-1Suppr @ 2026

文献检索

告别复杂PubMed语法,用中文像聊天一样搜索,搜遍4000万医学文献。AI智能推荐,让科研检索更轻松。

立即免费搜索

文件翻译

保留排版,准确专业,支持PDF/Word/PPT等文件格式,支持 12+语言互译。

免费翻译文档

深度研究

AI帮你快速写综述,25分钟生成高质量综述,智能提取关键信息,辅助科研写作。

立即免费体验

前列腺癌的同步雄激素剥夺疗法可提高同步或异时性非小细胞肺癌的生存率:一项监测、流行病学和最终结果(SEER)-医疗保险数据库分析

Concurrent Androgen Deprivation Therapy for Prostate Cancer Improves Survival for Synchronous or Metachronous Non-Small Cell Lung Cancer: A SEER-Medicare Database Analysis.

作者信息

Nazha Bassel, Zhang Chao, Chen Zhengjia, Ragin Camille, Owonikoko Taofeek K

机构信息

Department of Hematology and Medical Oncology, Winship Cancer Institute of Emory University, Atlanta, GA 30322, USA.

Department of Biostatistics, Rollins School of Public Health, Winship Cancer Institute of Emory University, Atlanta, GA 30322, USA.

出版信息

Cancers (Basel). 2022 Jun 30;14(13):3206. doi: 10.3390/cancers14133206.

DOI:10.3390/cancers14133206
PMID:35804979
原文链接:https://pmc.ncbi.nlm.nih.gov/articles/PMC9265064/
Abstract

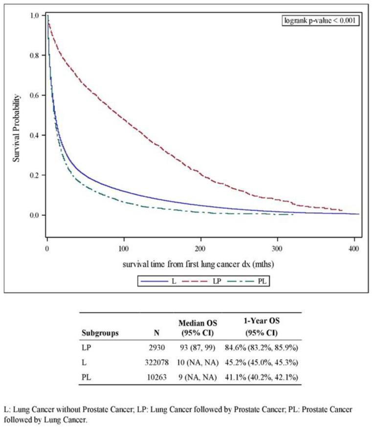
Introduction: The crosstalk between receptor kinase signaling, such as EGFR and androgen receptor signaling, suggests a potential interaction between androgen deprivation therapy (ADT) and lung cancer outcome. Methods: We employed the SEER−Medicare data of lung cancer patients diagnosed between 1988 and 2005 to test for an association between ADT for prostate cancer and lung cancer outcome. We employed the Kaplan−Meier method and Cox proportional hazard with log-rank test model to assess any significant impact of ADT on survival. Results: We included data from 367,750 lung cancer patients; 17.4%, 2.9%, 33.6% and 46.1% with stages I, II, III and IV, respectively; 84.5% were >65 years; 57.2% males; 84.2% Caucasians and 9.3% Blacks. There were 11,061 patients (3%) with an initial prostate cancer diagnosis followed by lung cancer (P-L group); 3017 (0.8%) with an initial diagnosis of lung cancer and subsequent prostate cancer diagnosis (L-P group); the remainder had only lung cancer (L group). Stage I lung cancer was most common in the L-P group compared to the L and P-L groups—54% vs. 17.13% vs. 17.92%, p < 0.0001 for L-P, L and P-L, respectively. The median OS for lung cancer diagnosis was 93 months versus 10 and 9 months, respectively, for the L-P, L and P-L subgroups. ADT was associated with improved survival on multivariate analysis, especially in Caucasian patients (HR of death: 0.86; 95% CI: 0.76−0.97; p = 0.012). Conclusion: ADT was associated with improved outcome for NSCLC, in line with the hypothesis of a role for the androgen receptor in lung cancer. Our findings support a systematic evaluation of the potential benefit of ADT as a therapy for lung cancer.

摘要

引言

受体激酶信号传导之间的相互作用,如表皮生长因子受体(EGFR)和雄激素受体信号传导,提示雄激素剥夺治疗(ADT)与肺癌预后之间可能存在相互作用。方法:我们利用1988年至2005年间诊断的肺癌患者的监测、流行病学和最终结果(SEER)-医疗保险数据,来检测前列腺癌的ADT与肺癌预后之间的关联。我们采用Kaplan-Meier方法和带有对数秩检验模型的Cox比例风险模型来评估ADT对生存的任何显著影响。结果:我们纳入了367,750例肺癌患者的数据;分别有17.4%、2.9%、33.6%和46.1%的患者处于I、II、III和IV期;84.5%的患者年龄>65岁;57.2%为男性;84.2%为白种人,9.3%为黑人。有11,061例患者(3%)最初诊断为前列腺癌,随后诊断为肺癌(P-L组);3017例(0.8%)最初诊断为肺癌,随后诊断为前列腺癌(L-P组);其余患者仅患有肺癌(L组)。与L组和P-L组相比,I期肺癌在L-P组中最为常见——分别为54%、17.13%和17.92%,L-P组、L组和P-L组之间的p值<0.0001。肺癌诊断后的中位总生存期分别为93个月、10个月和9个月,分别对应L-P组、L组和P-L亚组。多变量分析显示ADT与生存率提高相关,尤其是在白种人患者中(死亡风险比:0.86;95%置信区间:0.76−0.97;p = 0.012)。结论:ADT与非小细胞肺癌(NSCLC)预后改善相关,这与雄激素受体在肺癌中发挥作用的假设一致。我们的研究结果支持对ADT作为肺癌治疗方法的潜在益处进行系统评估。

https://cdn.ncbi.nlm.nih.gov/pmc/blobs/adda/9265064/87892b58db3f/cancers-14-03206-g002.jpg
https://cdn.ncbi.nlm.nih.gov/pmc/blobs/adda/9265064/56951eeff7bd/cancers-14-03206-g001.jpg
https://cdn.ncbi.nlm.nih.gov/pmc/blobs/adda/9265064/87892b58db3f/cancers-14-03206-g002.jpg
https://cdn.ncbi.nlm.nih.gov/pmc/blobs/adda/9265064/56951eeff7bd/cancers-14-03206-g001.jpg
https://cdn.ncbi.nlm.nih.gov/pmc/blobs/adda/9265064/87892b58db3f/cancers-14-03206-g002.jpg

相似文献

1
Concurrent Androgen Deprivation Therapy for Prostate Cancer Improves Survival for Synchronous or Metachronous Non-Small Cell Lung Cancer: A SEER-Medicare Database Analysis.前列腺癌的同步雄激素剥夺疗法可提高同步或异时性非小细胞肺癌的生存率:一项监测、流行病学和最终结果(SEER)-医疗保险数据库分析
Cancers (Basel). 2022 Jun 30;14(13):3206. doi: 10.3390/cancers14133206.
2
Androgen deprivation therapy plus docetaxel and estramustine versus androgen deprivation therapy alone for high-risk localised prostate cancer (GETUG 12): a phase 3 randomised controlled trial.雄激素剥夺疗法联合多西他赛和雌莫司汀与单独雄激素剥夺疗法治疗高危局限性前列腺癌(GETUG 12):一项 3 期随机对照临床试验。
Lancet Oncol. 2015 Jul;16(7):787-94. doi: 10.1016/S1470-2045(15)00011-X. Epub 2015 May 28.
3
Androgen Receptor Signaling Inhibitors in Addition to Docetaxel with Androgen Deprivation Therapy for Metastatic Hormone-sensitive Prostate Cancer: A Systematic Review and Meta-analysis.雄激素受体信号抑制剂联合多西他赛与雄激素剥夺疗法治疗转移性激素敏感前列腺癌:系统评价和荟萃分析。
Eur Urol. 2022 Dec;82(6):584-598. doi: 10.1016/j.eururo.2022.08.002. Epub 2022 Aug 19.
4
The need for androgen deprivation therapy in patients with intermediate-risk prostate cancer treated with dose-escalated external beam radiation therapy.接受剂量递增外照射放疗的中危前列腺癌患者雄激素剥夺治疗的必要性。
Can J Urol. 2017 Feb;24(1):8656-8662.
5
Improved Survival With Prostate Radiation in Addition to Androgen Deprivation Therapy for Men With Newly Diagnosed Metastatic Prostate Cancer.新诊断转移性前列腺癌患者接受雄激素剥夺治疗联合前列腺放射治疗可提高生存率。
J Clin Oncol. 2016 Aug 20;34(24):2835-42. doi: 10.1200/JCO.2016.67.4788. Epub 2016 Jun 20.
6
Fifteen-year survival outcomes following primary androgen-deprivation therapy for localized prostate cancer.局限性前列腺癌行初始雄激素剥夺治疗后 15 年的生存结果。
JAMA Intern Med. 2014 Sep;174(9):1460-7. doi: 10.1001/jamainternmed.2014.3028.
7
Risks of Major Long-Term Side Effects Associated with Androgen-Deprivation Therapy in Men with Prostate Cancer.前列腺癌男性雄激素剥夺治疗相关的主要长期副作用风险。
Pharmacotherapy. 2018 Oct;38(10):999-1009. doi: 10.1002/phar.2168. Epub 2018 Sep 4.
8
Final Report of the Intergroup Randomized Study of Combined Androgen-Deprivation Therapy Plus Radiotherapy Versus Androgen-Deprivation Therapy Alone in Locally Advanced Prostate Cancer.联合雄激素剥夺疗法加放疗与单纯雄激素剥夺疗法治疗局部晚期前列腺癌的多组随机研究最终报告
J Clin Oncol. 2015 Jul 1;33(19):2143-50. doi: 10.1200/JCO.2014.57.7510. Epub 2015 Feb 17.
9
Association Between Androgen Deprivation Therapy and Risk of Dementia.雄激素剥夺疗法与痴呆风险的关联。
JAMA Oncol. 2017 Jan 1;3(1):49-55. doi: 10.1001/jamaoncol.2016.3662.
10
Medical androgen deprivation therapy and increased non-cancer mortality in non-metastatic prostate cancer patients aged ≥66 years.医学去势治疗与≥66岁非转移性前列腺癌患者非癌症死亡率增加
Eur J Surg Oncol. 2015 Nov;41(11):1529-39. doi: 10.1016/j.ejso.2015.06.011. Epub 2015 Jul 15.

引用本文的文献

1
Unveiling the Potential of S4 on Non-small Cell Lung Cancer Cells: Impact on Proliferation, Apoptosis, Senescence, and Metabolome Profile.揭示S4对非小细胞肺癌细胞的潜在作用:对增殖、凋亡、衰老和代谢组谱的影响
Anticancer Agents Med Chem. 2025;25(11):785-799. doi: 10.2174/0118715206350735241224073200.
2
Role of sex and sex hormones in PD-L1 expression in NSCLC: clinical and therapeutic implications.性别和性激素在非小细胞肺癌中程序性死亡受体配体1(PD-L1)表达中的作用:临床及治疗意义
Front Oncol. 2023 Oct 24;13:1210297. doi: 10.3389/fonc.2023.1210297. eCollection 2023.
3
New Perspectives on Sex Steroid Hormones Signaling in Cancer-Associated Fibroblasts of Non-Small Cell Lung Cancer.

本文引用的文献

1
Design, synthesis, and characterization of PROTACs targeting the androgen receptor in prostate and lung cancer models.设计、合成和鉴定针对前列腺癌和肺癌模型中雄激素受体的 PROTACs。
Arch Pharm (Weinheim). 2022 May;355(5):e2100467. doi: 10.1002/ardp.202100467. Epub 2022 Feb 7.
2
Role of sex hormones in lung cancer.性激素在肺癌中的作用。
Exp Biol Med (Maywood). 2021 Oct;246(19):2098-2110. doi: 10.1177/15353702211019697. Epub 2021 Jun 3.
3
miR-221-3p Regulates VEGFR2 Expression in High-Risk Prostate Cancer and Represents an Escape Mechanism from Sunitinib In Vitro.
非小细胞肺癌相关成纤维细胞中甾体性激素信号传导的新视角
Cancers (Basel). 2023 Jul 14;15(14):3620. doi: 10.3390/cancers15143620.
4
Stranger Things: New Roles and Opportunities for Androgen Receptor in Oncology Beyond Prostate Cancer.《怪奇物语》:雄激素受体在肿瘤学中除前列腺癌以外的新角色和新机遇
Endocrinology. 2023 Apr 17;164(6). doi: 10.1210/endocr/bqad071.
miR-221-3p在高危前列腺癌中调节血管内皮生长因子受体2(VEGFR2)的表达,并在体外代表一种对舒尼替尼的逃逸机制。
J Clin Med. 2020 Mar 2;9(3):670. doi: 10.3390/jcm9030670.
4
Sex steroid metabolism and actions in non-small cell lung carcinoma.非小细胞肺癌中的性激素代谢和作用。
J Steroid Biochem Mol Biol. 2019 Oct;193:105440. doi: 10.1016/j.jsbmb.2019.105440. Epub 2019 Aug 3.
5
Cancer treatment and survivorship statistics, 2019.2019 年癌症治疗与生存统计
CA Cancer J Clin. 2019 Sep;69(5):363-385. doi: 10.3322/caac.21565. Epub 2019 Jun 11.
6
Apalutamide for Metastatic, Castration-Sensitive Prostate Cancer.阿帕鲁胺治疗转移性去势敏感性前列腺癌。
N Engl J Med. 2019 Jul 4;381(1):13-24. doi: 10.1056/NEJMoa1903307. Epub 2019 May 31.
7
Differential use of medical versus surgical androgen deprivation therapy for patients with metastatic prostate cancer.转移性前列腺癌患者雄激素剥夺疗法中药物治疗与手术治疗的差异。
Cancer. 2019 Feb 1;125(3):453-462. doi: 10.1002/cncr.31826. Epub 2018 Nov 16.
8
Randomized phase II study of fulvestrant and erlotinib compared with erlotinib alone in patients with advanced or metastatic non-small cell lung cancer.富马酸伏美替尼和厄洛替尼对比厄洛替尼单药治疗晚期或转移性非小细胞肺癌的随机 II 期研究。
Lung Cancer. 2018 Sep;123:91-98. doi: 10.1016/j.lungcan.2018.06.013. Epub 2018 Jun 22.
9
Androgen Receptor and Ki67 Expression and Survival Outcomes in Non-small Cell Lung Cancer.雄激素受体和 Ki67 表达与非小细胞肺癌的生存结局。
Horm Cancer. 2018 Aug;9(4):288-294. doi: 10.1007/s12672-018-0336-7. Epub 2018 Jun 18.
10
Higher Lung Cancer Incidence in Young Women Than Young Men in the United States.美国年轻女性的肺癌发病率高于年轻男性。
N Engl J Med. 2018 May 24;378(21):1999-2009. doi: 10.1056/NEJMoa1715907.