Schmeckenbecher Jim, Rattner Katrin, Cramer Robert J, Plener Paul L, Baran Anna, Kapusta Nestor D
Department of Psychoanalysis and Psychotherapy, Medical University Vienna, Austria.
Clinic for Psychiatry and Psychotherapy, kbo-Inn-Salzach-Klinikum, Freilassing, Germany.
BJPsych Open. 2022 Jul 21;8(4):e140. doi: 10.1192/bjo.2022.526.
The use of distance-based interventions (DBIs) to reduce suicidal ideation and behaviours are an increasingly relevant form of intervention. DBIs are more affordable, scalable and available than traditional face-to-face interventions, helping to narrow the gap between needed and provided care.
To evaluate the overall effectiveness of DBIs against suicidal ideation and behaviours.
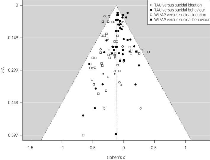
We systematically searched Web of Science, Scopus and PubMed for all DBIs primarily aimed at reducing suicidal ideation and behaviours. Data were analysed with a robust variance estimation corrected, multi-level meta-analysis.
We found 38 studies, reporting 110 outcomes. Effectiveness in reducing suicidal ideation was low (standardised mean difference -0.174, 95% CI -0.238 to -0.110). DBIs were significantly less effective against suicidal behaviours than against suicidal ideation, although still effective (standardised mean difference -0.059, 95% CI -0.087 to -0.032). Human involvement had no significant effect on effectiveness.
Despite low effectiveness, DBIs might play a role in large-scale prevention efforts against suicidal ideation within a stepped care approach. Further, DBIs may be helpful in expanding mental health services in low- and middle-income countries with otherwise limited access to mental healthcare. Although the evidence for DBIs efficacy is well grounded, the technical and scientific evaluation of DBIs regarding their set up, functionality and components needs to be addressed in future studies.
使用基于远程的干预措施(DBIs)来减少自杀意念和行为是一种越来越重要的干预形式。与传统的面对面干预相比,DBIs更经济实惠、可扩展且易于获得,有助于缩小所需护理和提供的护理之间的差距。
评估DBIs对自杀意念和行为的总体有效性。
我们系统地检索了科学网、Scopus和PubMed,以查找所有主要旨在减少自杀意念和行为的DBIs。使用稳健方差估计校正的多层次荟萃分析对数据进行分析。
我们找到了38项研究,报告了110个结果。减少自杀意念的有效性较低(标准化平均差-0.174,95%置信区间-0.238至-0.110)。DBIs对自杀行为的有效性明显低于对自杀意念的有效性,尽管仍然有效(标准化平均差-0.059,95%置信区间-0.087至-0.032)。人员参与对有效性没有显著影响。
尽管有效性较低,但DBIs可能在分级护理方法中对大规模预防自杀意念的努力中发挥作用。此外,DBIs可能有助于在获得精神卫生保健机会有限的低收入和中等收入国家扩大精神卫生服务。尽管DBIs疗效的证据有充分依据,但未来的研究需要解决关于DBIs的设置、功能和组成部分的技术和科学评估问题。