• 文献检索
  • 文档翻译
  • 深度研究
  • 学术资讯
  • Suppr Zotero 插件Zotero 插件
  • 邀请有礼
  • 套餐&价格
  • 历史记录
应用&插件
Suppr Zotero 插件Zotero 插件浏览器插件Mac 客户端Windows 客户端微信小程序
定价
高级版会员购买积分包购买API积分包
服务
文献检索文档翻译深度研究API 文档MCP 服务
关于我们
关于 Suppr公司介绍联系我们用户协议隐私条款
关注我们

Suppr 超能文献

核心技术专利:CN118964589B侵权必究
粤ICP备2023148730 号-1Suppr @ 2026

文献检索

告别复杂PubMed语法,用中文像聊天一样搜索,搜遍4000万医学文献。AI智能推荐,让科研检索更轻松。

立即免费搜索

文件翻译

保留排版,准确专业,支持PDF/Word/PPT等文件格式,支持 12+语言互译。

免费翻译文档

深度研究

AI帮你快速写综述,25分钟生成高质量综述,智能提取关键信息,辅助科研写作。

立即免费体验

作为新型药物的杂化化合物的设计与合成。

Design and synthesis of hybrid compounds as novel drugs and medicines.

作者信息

Alkhzem Abdulaziz H, Woodman Timothy J, Blagbrough Ian S

机构信息

Department of Pharmacy and Pharmacology, University of Bath Bath BA2 7AY UK

出版信息

RSC Adv. 2022 Jul 6;12(30):19470-19484. doi: 10.1039/d2ra03281c. eCollection 2022 Jun 29.

DOI:10.1039/d2ra03281c
PMID:35865575
原文链接:https://pmc.ncbi.nlm.nih.gov/articles/PMC9257310/
Abstract

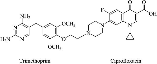
The development of highly effective conjugate chemistry approaches is a way to improve the quality of drugs and of medicines. The aim of this paper is to highlight and review such hybrid compounds and the strategies underpinning their design. A variety of unique hybrid compounds provide an excellent toolkit for novel biological activity, anticancer and non-viral gene therapy (NVGT), and as templates for killing bacteria and preventing antibiotic drug resistance. First we discuss the anticancer potential of hybrid compounds, containing daunorubicin, benzyl- or tetrahydroisoquinoline-coumarin, and cytotoxic NSAID-pyrrolizidine/indolizine hybrids, then NVGT cationic lipid-based delivery agents, where steroids or long chain fatty acids as the lipid moiety are bound to polyamines as the cationic moiety. These polyamines can be linear as in spermidine or spermine, or on a polycyclic sugar template, aminoglycosides kanamycin and neomycin B, the latter substituted with six amino groups. They are highly efficient for the delivery of both fluorescent DNA and siRNA. Molecular precedents can be found for the design of hybrid compounds in the natural world, , squalamine, the first representative of a previously unknown class of natural antibiotics of animal origin. These polyamine-bile acid ( cholic acid type) conjugates display many exciting biological activities with the bile acids acting as a lipidic region and spermidine as the polycationic region. Analogues of squalamine can act as vectors in NVGT. Their natural role is as antibiotics. Novel antibacterial materials are urgently needed as recalcitrant bacterial infection is a worldwide problem for human health. Ribosome inhibitors founded upon dimers of tobramycin or neomycin, bound as ethers by a 1,6-hexyl linker or a more complex diether-disulfide linker, improved upon the antibiotic activity of aminoglycoside monomers by 20- to 1200-fold. Other hybrids, linked by click chemistry, conjugated ciprofloxacin to neomycin, trimethoprim, or tedizolid, which is now in clinical trials.

摘要

开发高效的共轭化学方法是提高药物和药品质量的一种途径。本文的目的是突出并综述这类杂合化合物及其设计所依据的策略。多种独特的杂合化合物为新型生物活性、抗癌和非病毒基因治疗(NVGT)提供了出色的工具包,并且可作为杀灭细菌和预防抗生素耐药性的模板。首先,我们讨论含柔红霉素、苄基或四氢异喹啉 - 香豆素的杂合化合物以及细胞毒性非甾体抗炎药 - 吡咯里西啶/中氮茚杂合物的抗癌潜力,然后讨论基于NVGT阳离子脂质的递送剂,其中作为脂质部分的类固醇或长链脂肪酸与作为阳离子部分的多胺结合。这些多胺可以是亚精胺或精胺那样的线性结构,或者基于多环糖模板,如氨基糖苷类的卡那霉素和新霉素B,后者带有六个氨基。它们对于荧光DNA和小干扰RNA(siRNA)的递送都非常高效。在自然界中可以找到杂合化合物设计的分子先例,如鲨胺,它是动物源一类此前未知的天然抗生素的首个代表。这些多胺 - 胆汁酸(胆酸类型)共轭物展现出许多令人兴奋的生物活性,其中胆汁酸作为脂质区域,亚精胺作为聚阳离子区域。鲨胺类似物可在NVGT中充当载体。它们的天然作用是作为抗生素。由于顽固的细菌感染是全球人类健康面临的问题,因此迫切需要新型抗菌材料。基于妥布霉素或新霉素二聚体的核糖体抑制剂,通过1,6 - 己基连接基或更复杂的二醚 - 二硫连接基作为醚键连接,其抗生素活性比氨基糖苷单体提高了20至1200倍。其他通过点击化学连接的杂合物,将环丙沙星与新霉素、甲氧苄啶或替地唑胺共轭,替地唑胺目前正在进行临床试验。

https://cdn.ncbi.nlm.nih.gov/pmc/blobs/7605/9257310/0f1a6c5b3190/d2ra03281c-p3.jpg
https://cdn.ncbi.nlm.nih.gov/pmc/blobs/7605/9257310/2eea83b9831e/d2ra03281c-f1.jpg
https://cdn.ncbi.nlm.nih.gov/pmc/blobs/7605/9257310/eb4573a2d333/d2ra03281c-f2.jpg
https://cdn.ncbi.nlm.nih.gov/pmc/blobs/7605/9257310/ff899b738d0e/d2ra03281c-f3.jpg
https://cdn.ncbi.nlm.nih.gov/pmc/blobs/7605/9257310/2067edb9478d/d2ra03281c-f4.jpg
https://cdn.ncbi.nlm.nih.gov/pmc/blobs/7605/9257310/5360a30bd2c1/d2ra03281c-f5.jpg
https://cdn.ncbi.nlm.nih.gov/pmc/blobs/7605/9257310/20143cf97617/d2ra03281c-f6.jpg
https://cdn.ncbi.nlm.nih.gov/pmc/blobs/7605/9257310/9238ab60bae4/d2ra03281c-f7.jpg
https://cdn.ncbi.nlm.nih.gov/pmc/blobs/7605/9257310/b728af361d55/d2ra03281c-f8.jpg
https://cdn.ncbi.nlm.nih.gov/pmc/blobs/7605/9257310/eacb60e7818a/d2ra03281c-f9.jpg
https://cdn.ncbi.nlm.nih.gov/pmc/blobs/7605/9257310/29dd679b9a2c/d2ra03281c-f10.jpg
https://cdn.ncbi.nlm.nih.gov/pmc/blobs/7605/9257310/2391700b7dc5/d2ra03281c-f11.jpg
https://cdn.ncbi.nlm.nih.gov/pmc/blobs/7605/9257310/0b707c450bcb/d2ra03281c-f12.jpg
https://cdn.ncbi.nlm.nih.gov/pmc/blobs/7605/9257310/362c4736c0eb/d2ra03281c-f13.jpg
https://cdn.ncbi.nlm.nih.gov/pmc/blobs/7605/9257310/823020986980/d2ra03281c-f14.jpg
https://cdn.ncbi.nlm.nih.gov/pmc/blobs/7605/9257310/edbd55116830/d2ra03281c-f15.jpg
https://cdn.ncbi.nlm.nih.gov/pmc/blobs/7605/9257310/f97003dbdba7/d2ra03281c-f16.jpg
https://cdn.ncbi.nlm.nih.gov/pmc/blobs/7605/9257310/87a5c0c6c027/d2ra03281c-f17.jpg
https://cdn.ncbi.nlm.nih.gov/pmc/blobs/7605/9257310/f141b081a683/d2ra03281c-f18.jpg
https://cdn.ncbi.nlm.nih.gov/pmc/blobs/7605/9257310/9be00b5f2603/d2ra03281c-f19.jpg
https://cdn.ncbi.nlm.nih.gov/pmc/blobs/7605/9257310/decddcd38f4b/d2ra03281c-f20.jpg
https://cdn.ncbi.nlm.nih.gov/pmc/blobs/7605/9257310/082e2fa31b97/d2ra03281c-p1.jpg
https://cdn.ncbi.nlm.nih.gov/pmc/blobs/7605/9257310/75d1b43f867e/d2ra03281c-p2.jpg
https://cdn.ncbi.nlm.nih.gov/pmc/blobs/7605/9257310/0f1a6c5b3190/d2ra03281c-p3.jpg
https://cdn.ncbi.nlm.nih.gov/pmc/blobs/7605/9257310/2eea83b9831e/d2ra03281c-f1.jpg
https://cdn.ncbi.nlm.nih.gov/pmc/blobs/7605/9257310/eb4573a2d333/d2ra03281c-f2.jpg
https://cdn.ncbi.nlm.nih.gov/pmc/blobs/7605/9257310/ff899b738d0e/d2ra03281c-f3.jpg
https://cdn.ncbi.nlm.nih.gov/pmc/blobs/7605/9257310/2067edb9478d/d2ra03281c-f4.jpg
https://cdn.ncbi.nlm.nih.gov/pmc/blobs/7605/9257310/5360a30bd2c1/d2ra03281c-f5.jpg
https://cdn.ncbi.nlm.nih.gov/pmc/blobs/7605/9257310/20143cf97617/d2ra03281c-f6.jpg
https://cdn.ncbi.nlm.nih.gov/pmc/blobs/7605/9257310/9238ab60bae4/d2ra03281c-f7.jpg
https://cdn.ncbi.nlm.nih.gov/pmc/blobs/7605/9257310/b728af361d55/d2ra03281c-f8.jpg
https://cdn.ncbi.nlm.nih.gov/pmc/blobs/7605/9257310/eacb60e7818a/d2ra03281c-f9.jpg
https://cdn.ncbi.nlm.nih.gov/pmc/blobs/7605/9257310/29dd679b9a2c/d2ra03281c-f10.jpg
https://cdn.ncbi.nlm.nih.gov/pmc/blobs/7605/9257310/2391700b7dc5/d2ra03281c-f11.jpg
https://cdn.ncbi.nlm.nih.gov/pmc/blobs/7605/9257310/0b707c450bcb/d2ra03281c-f12.jpg
https://cdn.ncbi.nlm.nih.gov/pmc/blobs/7605/9257310/362c4736c0eb/d2ra03281c-f13.jpg
https://cdn.ncbi.nlm.nih.gov/pmc/blobs/7605/9257310/823020986980/d2ra03281c-f14.jpg
https://cdn.ncbi.nlm.nih.gov/pmc/blobs/7605/9257310/edbd55116830/d2ra03281c-f15.jpg
https://cdn.ncbi.nlm.nih.gov/pmc/blobs/7605/9257310/f97003dbdba7/d2ra03281c-f16.jpg
https://cdn.ncbi.nlm.nih.gov/pmc/blobs/7605/9257310/87a5c0c6c027/d2ra03281c-f17.jpg
https://cdn.ncbi.nlm.nih.gov/pmc/blobs/7605/9257310/f141b081a683/d2ra03281c-f18.jpg
https://cdn.ncbi.nlm.nih.gov/pmc/blobs/7605/9257310/9be00b5f2603/d2ra03281c-f19.jpg
https://cdn.ncbi.nlm.nih.gov/pmc/blobs/7605/9257310/decddcd38f4b/d2ra03281c-f20.jpg
https://cdn.ncbi.nlm.nih.gov/pmc/blobs/7605/9257310/082e2fa31b97/d2ra03281c-p1.jpg
https://cdn.ncbi.nlm.nih.gov/pmc/blobs/7605/9257310/75d1b43f867e/d2ra03281c-p2.jpg
https://cdn.ncbi.nlm.nih.gov/pmc/blobs/7605/9257310/0f1a6c5b3190/d2ra03281c-p3.jpg

相似文献

1
Design and synthesis of hybrid compounds as novel drugs and medicines.作为新型药物的杂化化合物的设计与合成。
RSC Adv. 2022 Jul 6;12(30):19470-19484. doi: 10.1039/d2ra03281c. eCollection 2022 Jun 29.
2
Polyamines and novel polyamine conjugates interact with DNA in ways that can be exploited in non-viral gene therapy.多胺和新型多胺共轭物与DNA相互作用的方式可用于非病毒基因治疗。
Biochem Soc Trans. 2003 Apr;31(2):397-406. doi: 10.1042/bst0310397.
3
RNA-ligand interactions: affinity and specificity of aminoglycoside dimers and acridine conjugates to the HIV-1 Rev response element.RNA-配体相互作用:氨基糖苷二聚体和吖啶缀合物与HIV-1 Rev反应元件的亲和力和特异性
Biochemistry. 2003 Oct 7;42(39):11391-403. doi: 10.1021/bi034766y.
4
Conjugates of Aminoglycosides with Stapled Peptides as a Way to Target Antibiotic-Resistant Bacteria.氨基糖苷类与订书肽的缀合物作为靶向抗生素耐药细菌的一种方法。
ACS Omega. 2023 May 16;8(21):19047-19056. doi: 10.1021/acsomega.3c02071. eCollection 2023 May 30.
5
Design, synthesis, and evaluation of novel fluoroquinolone-aminoglycoside hybrid antibiotics.新型氟喹诺酮-氨基糖苷类杂合抗生素的设计、合成与评价
J Med Chem. 2009 Apr 23;52(8):2243-54. doi: 10.1021/jm900028n.
6
Covalently linked kanamycin - Ciprofloxacin hybrid antibiotics as a tool to fight bacterial resistance.共价连接的卡那霉素-环丙沙星杂合抗生素作为对抗细菌耐药性的工具。
Bioorg Med Chem. 2017 Jun 1;25(11):2917-2925. doi: 10.1016/j.bmc.2017.02.068. Epub 2017 Mar 16.
7
Selectivity of polyamines on the stability of RNA-DNA hybrids containing phosphodiester and phosphorothioate oligodeoxyribonucleotides.多胺对含有磷酸二酯和硫代磷酸寡脱氧核糖核苷酸的RNA-DNA杂交体稳定性的选择性
Biochemistry. 1999 Aug 17;38(33):10775-84. doi: 10.1021/bi990180t.
8
Polyamines induce resistance to cationic peptide, aminoglycoside, and quinolone antibiotics in Pseudomonas aeruginosa PAO1.多胺可诱导铜绿假单胞菌PAO1对阳离子肽、氨基糖苷类抗生素和喹诺酮类抗生素产生耐药性。
Antimicrob Agents Chemother. 2006 May;50(5):1615-22. doi: 10.1128/AAC.50.5.1615-1622.2006.
9
Design, synthesis, and antibacterial activities of neomycin-lipid conjugates: polycationic lipids with potent gram-positive activity.新霉素-脂质缀合物的设计、合成及抗菌活性:具有强效革兰氏阳性菌活性的聚阳离子脂质
J Med Chem. 2008 Oct 9;51(19):6160-4. doi: 10.1021/jm800345u. Epub 2008 Sep 9.
10
Conjugation of a Ru(II) arene complex to neomycin or to guanidinoneomycin leads to compounds with differential cytotoxicities and accumulation between cancer and normal cells.将钌(II)芳基配合物与新霉素或胍基新霉素缀合,得到具有不同细胞毒性和在癌细胞与正常细胞之间的积累差异的化合物。
Mol Pharm. 2013 May 6;10(5):1964-76. doi: 10.1021/mp300723b. Epub 2013 Apr 5.

引用本文的文献

1
Novel Hybrid Heterocycles Based on 1,4-Diphenylpiperazine Moiety: Synthesis via Hantzsch and Biginelli Reactions, Molecular Docking Simulation, and Antimicrobial Activities.基于1,4-二苯基哌嗪部分的新型杂化杂环:通过汉茨希和比吉内利反应合成、分子对接模拟及抗菌活性
ACS Omega. 2025 Aug 14;10(33):38014-38033. doi: 10.1021/acsomega.5c05245. eCollection 2025 Aug 26.
2
Current Status of the Application of Antimicrobial Peptides and Their Conjugated Derivatives.抗菌肽及其共轭衍生物的应用现状
Molecules. 2025 Jul 22;30(15):3070. doi: 10.3390/molecules30153070.
3
Design, Synthesis, and Testing of 1,2,3-Triazolo-Quinobenzothiazine Hybrids for Cytotoxic and Immunomodulatory Activity.

本文引用的文献

1
From Marine Metabolites to the Drugs of the Future: Squalamine, Trodusquemine, Their Steroid and Triterpene Analogues.从海洋代谢产物到未来的药物:鲨肝醇、曲古抑菌素、它们的甾体和三萜类似物。
Int J Mol Sci. 2022 Jan 19;23(3):1075. doi: 10.3390/ijms23031075.
2
Pyrrolizine/Indolizine-NSAID Hybrids: Design, Synthesis, Biological Evaluation, and Molecular Docking Studies.吡咯并[1,2-a]吡啶/吲哚并[2,3-b]吡啶-非甾体抗炎药杂合体的设计、合成、生物评价及分子对接研究。
Molecules. 2021 Oct 30;26(21):6582. doi: 10.3390/molecules26216582.
3
Multinuclear Nuclear Magnetic Resonance Spectroscopy Is Used to Determine Rapidly and Accurately the Individual p Values of 2-Deoxystreptamine, Neamine, Neomycin, Paromomycin, and Streptomycin.
用于细胞毒性和免疫调节活性的1,2,3-三唑并喹苯并噻嗪杂化物的设计、合成与测试
Int J Mol Sci. 2025 Jul 18;26(14):6920. doi: 10.3390/ijms26146920.
4
Pegylation approach applied to erlotinib-carbonic anhydrase inhibitors hybrids towards anticancer agents.聚乙二醇化方法应用于厄洛替尼-碳酸酐酶抑制剂杂合物以制备抗癌剂。
RSC Med Chem. 2025 Apr 28. doi: 10.1039/d5md00109a.
5
Hybrid Molecules with Purine and Pyrimidine Derivatives for Antitumor Therapy: News, Perspectives, and Future Directions.用于抗肿瘤治疗的含嘌呤和嘧啶衍生物的杂合分子:新进展、前景与未来方向
Molecules. 2025 Jun 23;30(13):2707. doi: 10.3390/molecules30132707.
6
Ferrocene-Based Hybrid Drugs as Potential Anticancer and Antibacterial Therapeutic Agents for Incorporation into Nanocarriers: In Silico, In Vitro, Molecular Docking Evaluations.基于二茂铁的杂化药物作为潜在的抗癌和抗菌治疗剂用于纳米载体的研究:计算机模拟、体外和分子对接评估
Pharmaceutics. 2025 May 30;17(6):722. doi: 10.3390/pharmaceutics17060722.
7
Flavonoid carbamate hybrids: design, synthesis, and evaluation as multi-target enzyme inhibitors for Alzheimer's disease.黄酮类氨基甲酸酯杂化物:作为阿尔茨海默病多靶点酶抑制剂的设计、合成与评估
RSC Adv. 2025 May 20;15(21):16855-16868. doi: 10.1039/d5ra02267c. eCollection 2025 May 15.
8
Pharmacochemical Studies of Synthesized Coumarin-Isoxazole-Pyridine Hybrids.合成香豆素-异恶唑-吡啶杂化物的药物化学研究
Molecules. 2025 Apr 2;30(7):1592. doi: 10.3390/molecules30071592.
9
A review on pyrimidine-based pharmacophore as a template for the development of hybrid drugs with anticancer potential.基于嘧啶的药效团作为开发具有抗癌潜力的杂合药物模板的综述。
Mol Divers. 2025 Feb 12. doi: 10.1007/s11030-025-11112-x.
10
Targeting Neurodegeneration: The Emerging Role of Hybrid Drugs.靶向神经退行性变:混合型药物的新作用
Curr Drug Targets. 2025;26(6):410-434. doi: 10.2174/0113894501365588250131073304.
多核核磁共振光谱法用于快速准确地测定2-脱氧链霉胺、新霉素胺、新霉素、巴龙霉素和链霉素的个体p值。
ACS Omega. 2021 Jan 20;6(4):2824-2835. doi: 10.1021/acsomega.0c05138. eCollection 2021 Feb 2.
4
Individual p Values of Tobramycin, Kanamycin B, Amikacin, Sisomicin, and Netilmicin Determined by Multinuclear NMR Spectroscopy.通过多核核磁共振光谱法测定的妥布霉素、卡那霉素B、阿米卡星、西索米星和奈替米星的个体p值。
ACS Omega. 2020 Aug 11;5(33):21094-21103. doi: 10.1021/acsomega.0c02744. eCollection 2020 Aug 25.
5
A Dimer, but Not Monomer, of Tobramycin Potentiates Ceftolozane against Multidrug-Resistant and Extensively Drug-Resistant Pseudomonas aeruginosa and Delays Resistance Development.妥布霉素二聚体而非单体增强头孢洛扎治疗多重耐药和广泛耐药铜绿假单胞菌的作用,并延缓耐药性的产生。
Antimicrob Agents Chemother. 2020 Feb 21;64(3). doi: 10.1128/AAC.02055-19.
6
Synthesis and biological evaluation of novel 3-benzylcoumarin-imidazolium salts.新型3-苄基香豆素-咪唑鎓盐的合成与生物学评价
Bioorg Med Chem Lett. 2020 Feb 15;30(4):126896. doi: 10.1016/j.bmcl.2019.126896. Epub 2019 Dec 17.
7
Arylpropionic acid-derived NSAIDs: New insights on derivatization, anticancer activity and potential mechanism of action.芳基丙酸类 NSAIDs:衍生化、抗癌活性及潜在作用机制的新见解。
Bioorg Chem. 2019 Nov;92:103224. doi: 10.1016/j.bioorg.2019.103224. Epub 2019 Aug 27.
8
Synthesis and antitumor activity of daunorubicin conjugates with of 3,4-methylendioxybenzaldehyde.柔红霉素与3,4-亚甲二氧基苯甲醛共轭物的合成及其抗肿瘤活性
Bioorg Med Chem Lett. 2019 Oct 1;29(19):126617. doi: 10.1016/j.bmcl.2019.08.021. Epub 2019 Aug 12.
9
1,2,3,4-Tetrahydroisoquinoline/2H-chromen-2-one conjugates as nanomolar P-glycoprotein inhibitors: Molecular determinants for affinity and selectivity over multidrug resistance associated protein 1.1,2,3,4-四氢异喹啉/2H-色烯-2-酮缀合物作为纳摩尔级 P 糖蛋白抑制剂:对多药耐药相关蛋白 1 的亲和力和选择性的分子决定因素。
Eur J Med Chem. 2019 Jan 1;161:433-444. doi: 10.1016/j.ejmech.2018.10.043. Epub 2018 Oct 18.
10
Antibiotic Hybrids: the Next Generation of Agents and Adjuvants against Gram-Negative Pathogens?抗生素杂合体:下一代针对革兰氏阴性病原体的药物和佐剂?
Clin Microbiol Rev. 2018 Mar 14;31(2). doi: 10.1128/CMR.00077-17. Print 2018 Apr.