Suppr超能文献

新型DNA小沟结合剂作为抗阿米巴药物的合成与评价

Synthesis and Evaluation of Novel DNA Minor Groove Binders as Antiamoebic Agents.

作者信息

Alniss Hasan Y, Khan Naveed A, Boghossian Anania, Akbar Noor, Al-Jubeh Hadeel M, Msallam Yousef A, Saeed Balsam Q, Siddiqui Ruqaiyyah

机构信息

College of Pharmacy, University of Sharjah, Sharjah P.O. Box 27272, United Arab Emirates.

Sharjah Institute for Medical Research, University of Sharjah, Sharjah P.O. Box 27272, United Arab Emirates.

出版信息

Antibiotics (Basel). 2022 Jul 13;11(7):935. doi: 10.3390/antibiotics11070935.

Abstract

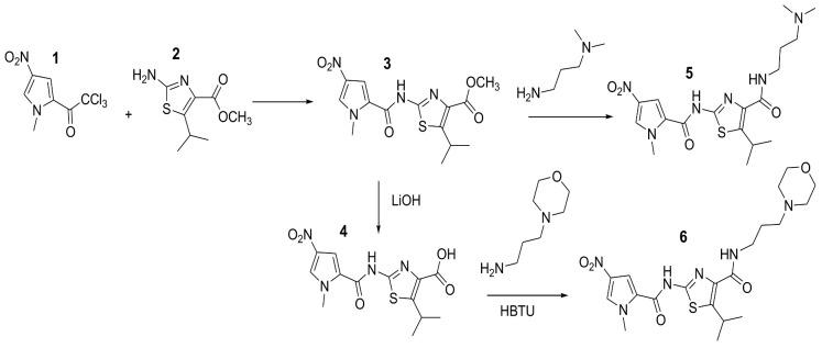
The free-living amoeba is responsible for the central nervous infection granulomatous amoebic encephalitis and sight-threatening infection . Moreover, no effective treatment is currently present, and a combination drug therapy is used. In this study, twelve DNA minor groove binders (MGBs) were synthesized and tested for their antiamoebic activity via amoebicidal, encystation, excystation, and cytopathogenicity assays. It was found that the compounds MGB3, MGB6, MGB22, MGB24, and MGB16 significantly reduce amoeba viability to 76.20%, 59.45%, 66.5%, 39.32%, and 43.21%, respectively, in amoebicidal assays. Moreover, the compounds MGB6, MGB20, MGB22, MGB28, MGB30, MGB32, and MGB16 significantly inhibit cysts, leading to the development of only 46.3%, 39%, 30.3%, 29.6%, 27.8%, 41.5%, and 45.6% cysts. Additionally, the compounds MGB3, MGB4, MGB6, MGB22, MGB24, MGB28, MGB32, and MGB16 significantly reduce the re-emergence of cysts to trophozoites, with viable trophozoites being only 64.3%, 47.3%, 41.4%, 52.9%, 55.4%, 40.6%, 62.1%, and 51.7%. Moreover, the compounds MGB3, MGB4, and MGB6 exhibited the greatest reduction in amoeba-mediated host-cell death, with cell death reduced to 41.5%, 49.4%, and 49.5%. With the following determined, future in vivo studies can be carried out to understand the effect of the compounds on animal models such as mice.

摘要

自由生活的变形虫可引发中枢神经系统感染——肉芽肿性阿米巴脑炎以及威胁视力的感染。此外,目前尚无有效的治疗方法,因此采用联合药物疗法。在本研究中,合成了12种DNA小沟结合剂(MGBs),并通过杀阿米巴、包囊化、脱囊化和细胞致病性试验检测了它们的抗阿米巴活性。发现在杀阿米巴试验中,化合物MGB3、MGB6、MGB22、MGB24和MGB16分别将阿米巴活力显著降低至76.20%、59.45%、66.5%、39.32%和43.21%。此外,化合物MGB6、MGB20、MGB22、MGB28、MGB30、MGB32和MGB16显著抑制包囊形成,导致仅形成46.3%、39%、30.3%、29.6%、27.8%、41.5%和45.6%的包囊。此外,化合物MGB3、MGB4、MGB6、MGB22、MGB24、MGB28、MGB32和MGB16显著减少包囊再转化为滋养体的情况,存活的滋养体仅为64.3%、47.3%、41.4%、52.9%、55.4%、40.6%、62.1%和51.7%。此外,化合物MGB3、MGB4和MGB6对阿米巴介导的宿主细胞死亡的抑制作用最大,细胞死亡减少至41.5%、49.4%和49.5%。在确定了上述结果后,未来可以开展体内研究,以了解这些化合物对小鼠等动物模型的影响。

https://cdn.ncbi.nlm.nih.gov/pmc/blobs/412b/9312114/55e4345df24f/antibiotics-11-00935-sch001.jpg

文献AI研究员

20分钟写一篇综述,助力文献阅读效率提升50倍。

立即体验

用中文搜PubMed

大模型驱动的PubMed中文搜索引擎

马上搜索

文档翻译

学术文献翻译模型,支持多种主流文档格式。

立即体验