Suppr超能文献

基于分层基元的学习方法中的轨迹跟踪

Trajectory Tracking within a Hierarchical Primitive-Based Learning Approach.

作者信息

Radac Mircea-Bogdan

机构信息

Department of Automation and Applied Informatics, Politehnica University of Timisoara, 300223 Timisoara, Romania.

出版信息

Entropy (Basel). 2022 Jun 28;24(7):889. doi: 10.3390/e24070889.

Abstract

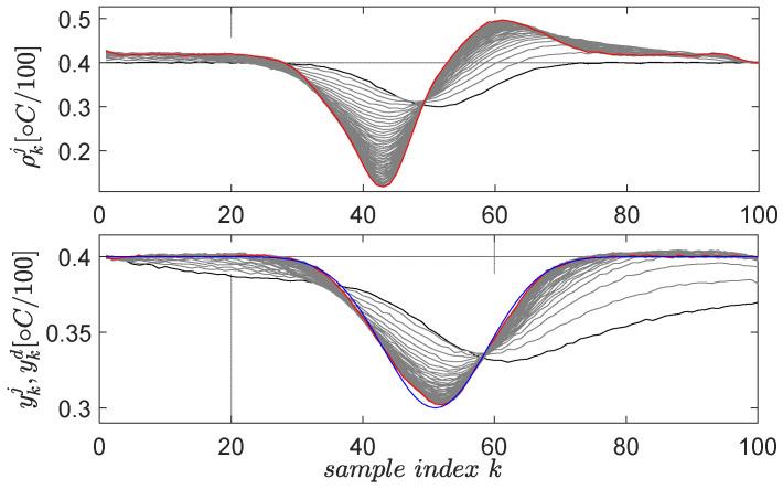
A hierarchical learning control framework (HLF) has been validated on two affordable control laboratories: an active temperature control system (ATCS) and an electrical rheostatic braking system (EBS). The proposed HLF is data-driven and model-free, while being applicable on general control tracking tasks which are omnipresent. At the lowermost level, L1, virtual state-feedback control is learned from input-output data, using a recently proposed virtual state-feedback reference tuning (VSFRT) principle. L1 ensures a linear reference model tracking (or matching) and thus, indirect closed-loop control system (CLCS) linearization. On top of L1, an experiment-driven model-free iterative learning control (EDMFILC) is then applied for learning reference input-controlled outputs pairs, coined as primitives. The primitives' signals at the L2 level encode the CLCS dynamics, which are not explicitly used in the learning phase. Data reusability is applied to derive monotonic and safely guaranteed learning convergence. The learning primitives in the L2 level are finally used in the uppermost and final L3 level, where a decomposition/recomposition operation enables prediction of the optimal reference input assuring optimal tracking of a previously unseen trajectory, without relearning by repetitions, as it was in level L2. Hence, the HLF enables control systems to generalize their tracking behavior to new scenarios by extrapolating their current knowledge base. The proposed HLF framework endows the CLCSs with learning, memorization and generalization features which are specific to intelligent organisms. This may be considered as an advancement towards intelligent, generalizable and adaptive control systems.

摘要

一种分层学习控制框架(HLF)已在两个经济实惠的控制实验室中得到验证:一个是主动温度控制系统(ATCS),另一个是电动变阻制动系统(EBS)。所提出的HLF是数据驱动且无模型的,同时适用于普遍存在的一般控制跟踪任务。在最底层L1,使用最近提出的虚拟状态反馈参考调整(VSFRT)原理从输入输出数据中学习虚拟状态反馈控制。L1确保线性参考模型跟踪(或匹配),从而实现间接闭环控制系统(CLCS)的线性化。在L1之上,然后应用实验驱动的无模型迭代学习控制(EDMFILC)来学习参考输入控制输出对,称为原语。L2级别的原语信号编码CLCS动态特性,这些特性在学习阶段并未明确使用。应用数据可重用性来推导单调且安全保证的学习收敛。L2级别的学习原语最终用于最顶层也是最后一层L3,在该层中,分解/重组操作能够预测最优参考输入,确保对先前未见过的轨迹进行最优跟踪,而无需像在L2级别那样通过重复重新学习。因此,HLF使控制系统能够通过推断其当前知识库将其跟踪行为推广到新场景。所提出的HLF框架赋予CLCS学习、记忆和泛化特性,这些特性是智能生物所特有的。这可被视为朝着智能、可泛化和自适应控制系统迈出的一步。

https://cdn.ncbi.nlm.nih.gov/pmc/blobs/1ee5/9321877/2809ea79d31a/entropy-24-00889-g001.jpg

文献AI研究员

20分钟写一篇综述,助力文献阅读效率提升50倍。

立即体验

用中文搜PubMed

大模型驱动的PubMed中文搜索引擎

马上搜索

文档翻译

学术文献翻译模型,支持多种主流文档格式。

立即体验