Suppr超能文献

转录组分析中国西南城市中寄生四种典型宿主的常见槲寄生。

Transcriptome Profiling of a Common Mistletoe Species Parasitizing Four Typical Host Species in Urban Southwest China.

机构信息

Key Laboratory of Bio-Resource and Eco-Environment of Ministry of Education, College of Life Sciences, Sichuan University, Chengdu 610064, China.

Institute of Molecular Plant Sciences, The University of Edinburgh, Edinburgh EH9 3JH, UK.

出版信息

Genes (Basel). 2022 Jun 29;13(7):1173. doi: 10.3390/genes13071173.

Abstract

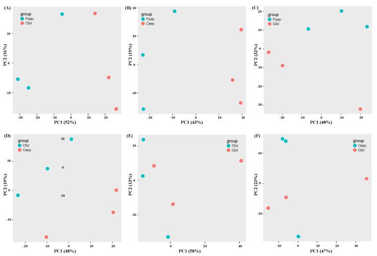
Comparing gene expressions among parasitic plants infecting different host species can have significant implications for understanding host-parasite interactions. is a common hemiparasitic species in Southwest China that parasitizes a variety of host species. However, a lack of nucleotide sequence data to date has hindered transcriptome-level research on . In this study, the transcriptomes of individuals parasitizing four typical host species ( (Bpap), a broad-leaved tree species; (Cfor), a coniferous tree species; (Csep), an evergreen tree species; and (Gbil), a deciduous-coniferous tree species) were sequenced, and the expression profiles and metabolic pathways were compared among hosts. A total of greater than 400 million reads were generated in nine cDNA libraries. These were de novo assembled into 293823 transcripts with an N50 value of 1790 bp. A large number of differentially expressed genes (DEGs) were identified when comparing individuals on different host species: Bpap vs. Cfor (1253 DEGs), Bpap vs. Csep (864), Bpap vs. Gbil (517), Cfor vs. Csep (259), Cfor vs. Gbil (95), and Csep vs. Gbil (40). Four hundred and fifteen unigenes were common to all six pairwise comparisons; these were primarily associated with Cytochrome P450 and environmental adaptation, as determined in a KEGG enrichment analysis. Unique unigenes were also identified, specific to Bpap vs. Cfor (808 unigenes), Bpap vs. Csep (329 unigenes), Bpap vs. Gbil (87 unigenes), Cfor vs. Csep (108 unigenes), Cfor vs. Gbil (32 unigenes), and Csep vs. Gbil comparisons (23 unigenes); partial unigenes were associated with the metabolism of terpenoids and polyketides regarding plant hormone signal transduction. Weighted gene co-expression network analysis (WGCNA) revealed four modules that were associated with the hosts. These results provide a foundation for further exploration of the detailed molecular mechanisms involved in plant parasitism.

摘要

比较感染不同宿主物种的寄生植物之间的基因表达可以深入了解宿主-寄生虫相互作用。是中国西南地区一种常见的半寄生物种,寄生在多种宿主物种上。然而,由于缺乏核苷酸序列数据,目前还无法进行关于的转录组水平研究。在这项研究中,对寄生在四个典型宿主物种((Bpap),一种阔叶树种;(Cfor),一种针叶树种;(Csep),一种常绿树种;和(Gbil),一种落叶-针叶树种)上的个体的转录组进行了测序,并比较了宿主之间的表达谱和代谢途径。在九个 cDNA 文库中产生了超过 4 亿条reads。这些reads 被从头组装成 293823 个转录本,N50 值为 1790 bp。当比较不同宿主物种上的个体时,鉴定出大量差异表达基因(DEGs):Bpap 与 Cfor(1253 个 DEGs)、Bpap 与 Csep(864 个)、Bpap 与 Gbil(517 个)、Cfor 与 Csep(259 个)、Cfor 与 Gbil(95 个)和 Csep 与 Gbil(40 个)。415 个 unigenes 在所有六个两两比较中是共同的;这些基因主要与细胞色素 P450 和环境适应有关,这在 KEGG 富集分析中得到了确定。还鉴定了独特的 unigenes,特定于 Bpap 与 Cfor(808 个 unigenes)、Bpap 与 Csep(329 个 unigenes)、Bpap 与 Gbil(87 个 unigenes)、Cfor 与 Csep(108 个 unigenes)、Cfor 与 Gbil(32 个 unigenes)和 Csep 与 Gbil 比较(23 个 unigenes);部分 unigenes与植物激素信号转导中的萜类和聚酮类代谢有关。加权基因共表达网络分析(WGCNA)显示了与宿主相关的四个模块。这些结果为进一步探索植物寄生的详细分子机制提供了基础。

https://cdn.ncbi.nlm.nih.gov/pmc/blobs/25a1/9323523/5a151eba499b/genes-13-01173-g001.jpg

文献AI研究员

20分钟写一篇综述,助力文献阅读效率提升50倍。

立即体验

用中文搜PubMed

大模型驱动的PubMed中文搜索引擎

马上搜索

文档翻译

学术文献翻译模型,支持多种主流文档格式。

立即体验