Suppr超能文献

纳米粘土的结构研究及其对X射线的辐射防护效果

Structural Study of Nano-Clay and Its Effectiveness in Radiation Protection against X-rays.

作者信息

Sakher Elfahem, Smili Billel, Bououdina Mohamed, Bellucci Stefano

机构信息

Laboratory of Saharan Natural Resources, Faculty of Science and Technology, University of Adrar, National Highway No. 06, Adrar 01000, Algeria.

Laboratory of Energy Environment and Information System (LEEIS), Department of Material Science, Faculty of Science and Technology, University of Adrar, National Highway No. 06. Adrar 01000, Algeria.

出版信息

Nanomaterials (Basel). 2022 Jul 7;12(14):2332. doi: 10.3390/nano12142332.

Abstract

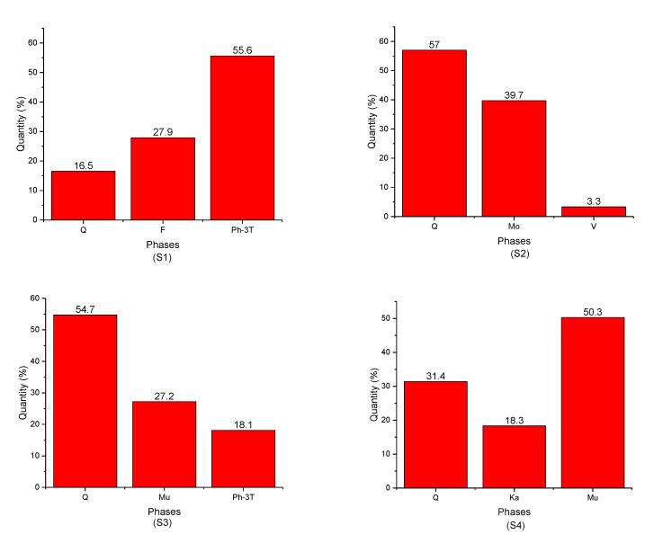
With the increasing applications of nuclear technology, radiation protection has become very important especially for the environment and the personnel close to radiation sources. Natural clays can be used potentially for shielding the X-ray radiations. In this study, the correlation between structural parameters and radiation shielding performance of natural clay extracted from Algerian Sahara (Adrar, Reggan, and Timimoune) was investigated. Phase composition and structural parameters (lattice parameters, average crystallite size, and microstrain) were determined by the Rietveld refinements of X-ray diffraction patterns in the frame of HighScore Plus software. The obtained results showed that the studied clays are nanocrystalline (nano-clay) since the calculated crystallite size was ≈3 nm for the feldspar phase. FTIR spectra confirmed the presence of all phases already detected by XRD analysis besides Biotite (around the band at 3558 cm). The remaining bands corresponded to absorbed and adsorbed water (3432 cm and 1629 cm, respectively) and atmospheric CO (2356 cm). The shielding properties (mass absorption coefficient-µ/ and radiative attenuation rate-RA) for (green-yellow, green, and red) clays of Adrar, (red, white, and white-red) clays of Reggan, and red clay of Timimoune at same energy level were examined. The results of clay samples were compared with each other. The obtained results indicated that the green clay of Adrar exhibited the superior radiation shielding, i.e., 99.8% and 243.4 cm/g for radiative attenuation rate and mass absorption coefficient, respectively.

摘要

随着核技术应用的不断增加,辐射防护变得非常重要,特别是对于环境和靠近辐射源的人员。天然粘土有可能用于屏蔽X射线辐射。在本研究中,研究了从阿尔及利亚撒哈拉地区(阿德拉尔、雷根和提米蒙)提取的天然粘土的结构参数与辐射屏蔽性能之间的相关性。通过在HighScore Plus软件框架内对X射线衍射图谱进行Rietveld精修,确定了相组成和结构参数(晶格参数、平均微晶尺寸和微观应变)。所得结果表明,所研究的粘土为纳米晶体(纳米粘土),因为长石相的计算微晶尺寸约为3nm。傅里叶变换红外光谱(FTIR)证实了除黑云母(在3558cm附近的波段)外,XRD分析已检测到的所有相的存在。其余波段分别对应于吸收水和吸附水(分别为3432cm和1629cm)以及大气中的一氧化碳(2356cm)。研究了阿德拉尔的(绿黄色、绿色和红色)粘土、雷根的(红色、白色和红白相间)粘土以及提米蒙的红色粘土在相同能级下的屏蔽性能(质量吸收系数-µ/和辐射衰减率-RA)。对粘土样品的结果进行了相互比较。所得结果表明,阿德拉尔的绿色粘土表现出优异的辐射屏蔽性能,即辐射衰减率和质量吸收系数分别为99.8%和243.4cm/g。

https://cdn.ncbi.nlm.nih.gov/pmc/blobs/c887/9322616/f1d00bdbd7c3/nanomaterials-12-02332-g001.jpg

文献检索

告别复杂PubMed语法,用中文像聊天一样搜索,搜遍4000万医学文献。AI智能推荐,让科研检索更轻松。

立即免费搜索

文件翻译

保留排版,准确专业,支持PDF/Word/PPT等文件格式,支持 12+语言互译。

免费翻译文档

深度研究

AI帮你快速写综述,25分钟生成高质量综述,智能提取关键信息,辅助科研写作。

立即免费体验