• 文献检索
  • 文档翻译
  • 深度研究
  • 学术资讯
  • Suppr Zotero 插件Zotero 插件
  • 邀请有礼
  • 套餐&价格
  • 历史记录
应用&插件
Suppr Zotero 插件Zotero 插件浏览器插件Mac 客户端Windows 客户端微信小程序
定价
高级版会员购买积分包购买API积分包
服务
文献检索文档翻译深度研究API 文档MCP 服务
关于我们
关于 Suppr公司介绍联系我们用户协议隐私条款
关注我们

Suppr 超能文献

核心技术专利:CN118964589B侵权必究
粤ICP备2023148730 号-1Suppr @ 2026

文献检索

告别复杂PubMed语法,用中文像聊天一样搜索,搜遍4000万医学文献。AI智能推荐,让科研检索更轻松。

立即免费搜索

文件翻译

保留排版,准确专业,支持PDF/Word/PPT等文件格式,支持 12+语言互译。

免费翻译文档

深度研究

AI帮你快速写综述,25分钟生成高质量综述,智能提取关键信息,辅助科研写作。

立即免费体验

奶酪摄入量显示糖脂谱的改变,并对巴林老年人的非酒精性脂肪肝产生影响。

Cheese Intake Exhibits an Alteration of Glycolipid Profile and Impacts on Non-Alcoholic Fatty Liver in Bahraini Older Adults.

作者信息

Perna Simone, Hammad Layla H, Mohamed Mohamed Wael, Alromaihi Dalal, Alhammadi Mariam, Al-Khater Noora, Alchuban Anas Rashed, Aledrisy Mawadh Ali, Ilyas Zahra, Alalwan Tariq A, Rondanelli Mariangela

机构信息

Department of Biology, College of Science, University of Bahrain, Sakhir P.O. Box 32038, Bahrain.

Ministry of Health, Manama P.O. Box 32038, Bahrain.

出版信息

Geriatrics (Basel). 2022 Jul 20;7(4):75. doi: 10.3390/geriatrics7040075.

DOI:10.3390/geriatrics7040075
PMID:35893322
原文链接:https://pmc.ncbi.nlm.nih.gov/articles/PMC9326538/
Abstract

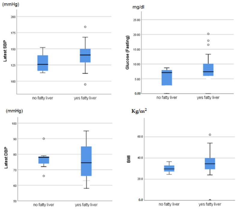
Background: Metabolic syndrome (MetS) is a multifactorial condition characterized by a complex interrelation between genetic and environmental factors that heighten the risk of cardiovascular diseases and all-cause mortality. It is hypothesized that diet may play an important role in the regulation of metabolic syndrome factors and influence the process. Therefore, the main objective of this study was to investigate the specific dietary patterns associated with metabolic syndrome markers and quantify the possible effects of dietary patterns among Bahrain older adults. Methods: This is a cross-sectional study that included 151 Bahraini patients diagnosed with MetS, 89 (58.7%) were females and 62 (41.3%) males. Results: The prevalence of Non-Alcoholic Fatty Liver was 89%. Statistically significant correlations were found between dairy products with low fat and SBP (r = 0.182, p < 0.001) body mass index (BMI) (r = −0.195; p < −0.01). Higher chicken consumption was associated with reduction of BMI (r = −0.273; p < −0.01). A higher consumption of ricotta and cheddar cheese (high in fat) was associated with higher levels of triglycerides (p < 0.01). Higher frequent consumption of rice (basmati) was associated with lower glucose levels (r = −0.200; p < −0.01). Fatty liver has been associated with high consumption of cream cheese (p < 0.01). Conclusion: In older Bahraini adults with metabolic syndrome, higher frequency of food consumption of full-fat cheese was linked with a derangement of lipid profile and Non-Alcoholic Fatty Liver. Positive effects on BMI have been recorded with higher-frequency consumption of basmati rice and chicken.

摘要

背景

代谢综合征(MetS)是一种多因素疾病,其特征是遗传和环境因素之间存在复杂的相互关系,会增加心血管疾病风险和全因死亡率。据推测,饮食可能在代谢综合征因素的调节中发挥重要作用并影响这一过程。因此,本研究的主要目的是调查与代谢综合征标志物相关的特定饮食模式,并量化巴林老年人中饮食模式的可能影响。方法:这是一项横断面研究,纳入了151名被诊断为代谢综合征的巴林患者,其中89名(58.7%)为女性,62名(41.3%)为男性。结果:非酒精性脂肪肝的患病率为89%。发现低脂乳制品与收缩压(r = 0.182,p < 0.001)、体重指数(BMI)(r = -0.195;p < -0.01)之间存在统计学显著相关性。鸡肉摄入量较高与BMI降低相关(r = -0.273;p < -0.01)。食用乳清干酪和切达干酪(高脂肪)较多与甘油三酯水平较高相关(p < 0.01)。频繁食用印度香米与较低的血糖水平相关(r = -0.200;p < -0.01)。脂肪肝与奶油芝士的高摄入量相关(p < 0.01)。结论:在患有代谢综合征的巴林老年人中,全脂奶酪的较高食用频率与脂质谱紊乱和非酒精性脂肪肝有关。食用印度香米和鸡肉的较高频率对BMI有积极影响。

https://cdn.ncbi.nlm.nih.gov/pmc/blobs/82a4/9326538/0383c390929a/geriatrics-07-00075-g001.jpg
https://cdn.ncbi.nlm.nih.gov/pmc/blobs/82a4/9326538/0383c390929a/geriatrics-07-00075-g001.jpg
https://cdn.ncbi.nlm.nih.gov/pmc/blobs/82a4/9326538/0383c390929a/geriatrics-07-00075-g001.jpg

相似文献

1
Cheese Intake Exhibits an Alteration of Glycolipid Profile and Impacts on Non-Alcoholic Fatty Liver in Bahraini Older Adults.奶酪摄入量显示糖脂谱的改变,并对巴林老年人的非酒精性脂肪肝产生影响。
Geriatrics (Basel). 2022 Jul 20;7(4):75. doi: 10.3390/geriatrics7040075.
2
Fermented dairy products, diet quality, and cardio-metabolic profile of a Mediterranean cohort at high cardiovascular risk.发酵乳制品、饮食质量与心血管疾病高风险的地中海人群的心血管代谢特征
Nutr Metab Cardiovasc Dis. 2018 Oct;28(10):1002-1011. doi: 10.1016/j.numecd.2018.05.006. Epub 2018 May 21.
3
Patterns of dairy food intake, body composition and markers of metabolic health in Ireland: results from the National Adult Nutrition Survey.爱尔兰乳制品摄入量、身体组成与代谢健康标志物模式:来自全国成人营养调查的结果
Nutr Diabetes. 2017 Feb 20;7(2):e243. doi: 10.1038/nutd.2016.54.
4
Influence of Habitual Dairy Food Intake on LDL Cholesterol in a Population-Based Cohort.基于人群的队列研究中习惯性乳制品摄入对 LDL 胆固醇的影响。
Nutrients. 2021 Feb 11;13(2):593. doi: 10.3390/nu13020593.
5
Dairy products and the metabolic syndrome in a prospective study, DESIR.乳制品与代谢综合征的前瞻性研究:DESIR。
J Am Coll Nutr. 2011 Oct;30(5 Suppl 1):454S-63S. doi: 10.1080/07315724.2011.10719990.
6
Intake of milk, but not total dairy, yogurt, or cheese, is negatively associated with the clustering of cardiometabolic risk factors in adolescents.青少年摄入牛奶(而非全部乳制品、酸奶或奶酪)与心血管代谢危险因素聚集呈负相关。
Nutr Res. 2014 Jan;34(1):48-57. doi: 10.1016/j.nutres.2013.10.008. Epub 2013 Oct 24.
7
Nutrition: a key environmental dietary factor in clinical severity and cardio-metabolic risk in psoriatic male patients evaluated by 7-day food-frequency questionnaire.营养:通过7天食物频率问卷评估的银屑病男性患者临床严重程度和心血管代谢风险中的关键环境饮食因素。
J Transl Med. 2015 Sep 16;13:303. doi: 10.1186/s12967-015-0658-y.
8
Consumption of Yogurt, Low-Fat Milk, and Other Low-Fat Dairy Products Is Associated with Lower Risk of Metabolic Syndrome Incidence in an Elderly Mediterranean Population.在地中海老年人群中,食用酸奶、低脂牛奶及其他低脂乳制品与代谢综合征发病率较低相关。
J Nutr. 2015 Oct;145(10):2308-16. doi: 10.3945/jn.115.214593. Epub 2015 Aug 19.
9
Total and Full-Fat, but Not Low-Fat, Dairy Product Intakes are Inversely Associated with Metabolic Syndrome in Adults.成人摄入全脂乳制品总量与代谢综合征呈负相关,而低脂乳制品则不然。
J Nutr. 2016 Jan;146(1):81-9. doi: 10.3945/jn.115.220699. Epub 2015 Oct 28.
10
Dairy product consumption and risk of type 2 diabetes in an elderly Spanish Mediterranean population at high cardiovascular risk.乳制品消费与高心血管风险的老年西班牙地中海人群 2 型糖尿病风险的关系。
Eur J Nutr. 2016 Feb;55(1):349-60. doi: 10.1007/s00394-015-0855-8. Epub 2015 Feb 7.

本文引用的文献

1
Intake of dietary fats and fatty acids and the incidence of type 2 diabetes: A systematic review and dose-response meta-analysis of prospective observational studies.膳食脂肪和脂肪酸的摄入与 2 型糖尿病的发生:前瞻性观察研究的系统评价和剂量反应荟萃分析。
PLoS Med. 2020 Dec 2;17(12):e1003347. doi: 10.1371/journal.pmed.1003347. eCollection 2020 Dec.
2
Association between unhealthy plant-based diets and the metabolic syndrome in adult men and women: a population-based study in South Korea.不健康的植物性饮食与成年男女代谢综合征的关联:一项基于人群的韩国研究。
Br J Nutr. 2021 Mar 14;125(5):577-590. doi: 10.1017/S0007114520002895. Epub 2020 Jul 27.
3
Effects of Daily Low-Dose Date Consumption on Glycemic Control, Lipid Profile, and Quality of Life in Adults with Pre- and Type 2 Diabetes: A Randomized Controlled Trial.
每日低剂量枣摄入对糖尿病前期和 2 型糖尿病成人血糖控制、血脂谱和生活质量的影响:一项随机对照试验。
Nutrients. 2020 Jan 15;12(1):217. doi: 10.3390/nu12010217.
4
Red and Processed Meat Consumption and Risk for All-Cause Mortality and Cardiometabolic Outcomes: A Systematic Review and Meta-analysis of Cohort Studies.食用红色和加工肉类与全因死亡率和心血管代谢结局的关系:队列研究的系统评价和荟萃分析。
Ann Intern Med. 2019 Nov 19;171(10):703-710. doi: 10.7326/M19-0655. Epub 2019 Oct 1.
5
Dietary carbohydrate intake and mortality: a prospective cohort study and meta-analysis.饮食碳水化合物摄入量与死亡率:前瞻性队列研究和荟萃分析。
Lancet Public Health. 2018 Sep;3(9):e419-e428. doi: 10.1016/S2468-2667(18)30135-X. Epub 2018 Aug 17.
6
The risk of metabolic syndrome as a result of lifestyle among Ellisras rural young adults.埃利斯拉斯农村青年生活方式导致代谢综合征的风险。
J Hum Hypertens. 2018 Sep;32(8-9):572-584. doi: 10.1038/s41371-018-0076-8. Epub 2018 Jun 5.
7
Osteosarcopenic Visceral Obesity and Osteosarcopenic Subcutaneous Obesity, Two New Phenotypes of Sarcopenia: Prevalence, Metabolic Profile, and Risk Factors.骨少肌性内脏肥胖和骨少肌性皮下肥胖,肌少症的两种新表型:患病率、代谢特征及危险因素
J Aging Res. 2018 May 16;2018:6147426. doi: 10.1155/2018/6147426. eCollection 2018.
8
Dietary patterns and the risk of metabolic syndrome in Chinese adults: a population-based cross-sectional study.饮食模式与中国成年人代谢综合征风险的关系:一项基于人群的横断面研究。
Public Health Nutr. 2018 Sep;21(13):2409-2416. doi: 10.1017/S1368980018001088. Epub 2018 May 2.
9
Changes in dietary habits, physical activity and status of metabolic syndrome among expatriates in Saudi Arabia.在沙特阿拉伯的外籍人士中,饮食习惯、身体活动和代谢综合征状况的变化。
East Mediterr Health J. 2018 Mar 5;23(12):836-844. doi: 10.26719/2017.23.12.836.
10
Assessing dietary and lifestyle risk factors and their associations with disease comorbidities among patients with schizophrenia: A case-control study from Bahrain.评估巴林精神分裂症患者的饮食和生活方式风险因素及其与疾病共病的关联:一项病例对照研究。
Asian J Psychiatr. 2017 Aug;28:115-123. doi: 10.1016/j.ajp.2017.03.036. Epub 2017 Apr 1.