• 文献检索
  • 文档翻译
  • 深度研究
  • 学术资讯
  • Suppr Zotero 插件Zotero 插件
  • 邀请有礼
  • 套餐&价格
  • 历史记录
应用&插件
Suppr Zotero 插件Zotero 插件浏览器插件Mac 客户端Windows 客户端微信小程序
定价
高级版会员购买积分包购买API积分包
服务
文献检索文档翻译深度研究API 文档MCP 服务
关于我们
关于 Suppr公司介绍联系我们用户协议隐私条款
关注我们

Suppr 超能文献

核心技术专利:CN118964589B侵权必究
粤ICP备2023148730 号-1Suppr @ 2026

文献检索

告别复杂PubMed语法,用中文像聊天一样搜索,搜遍4000万医学文献。AI智能推荐,让科研检索更轻松。

立即免费搜索

文件翻译

保留排版,准确专业,支持PDF/Word/PPT等文件格式,支持 12+语言互译。

免费翻译文档

深度研究

AI帮你快速写综述,25分钟生成高质量综述,智能提取关键信息,辅助科研写作。

立即免费体验

带纳米增强相变材料的翅片热管蓄热系统内熔化速率增强的数值研究

A Numerical Investigation of a Melting Rate Enhancement inside a Thermal Energy Storage System of Finned Heat Pipe with Nano-Enhanced Phase Change Material.

作者信息

Jirawattanapanit Anuwat, Abderrahmane Aissa, Mourad Abe, Guedri Kamel, Younis Obai, Bouallegue Belgacem, Subkrajang Khanyaluck, Rajchakit Grienggrai, Shah Nehad Ali

机构信息

Department of Mathematics, Faculty of Science, Phuket Rajabhat University (PKRU), Phuket 83000, Thailand.

LPQ3M, Université Mustapha Stambouli de Mascara, Mascara 29000, Algeria.

出版信息

Nanomaterials (Basel). 2022 Jul 22;12(15):2519. doi: 10.3390/nano12152519.

DOI:10.3390/nano12152519
PMID:35893487
原文链接:https://pmc.ncbi.nlm.nih.gov/articles/PMC9331441/
Abstract

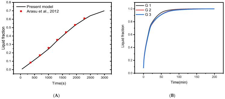
Thermal energy storage via the use of latent heat and phase transition materials is a popular technology in energy storage systems. It is vital to research different thermal enhancement techniques to further improve phase transition materials' weak thermal conductivity in these systems. This work addresses the creation of a basic shell and a tube thermal storage device with wavy outer walls. Then, two key methods for thermal augmentation are discussed: fins and the use of a nano-enhanced phase change material (NePCM). Using the enthalpy-porosity methodology, a numerical model is developed to highlight the viability of designing such a model utilizing reduced assumptions, both for engineering considerations and real-time predictive control methods. Different concentrations of copper nanoparticles (0, 2, and 4 vol%) and wavenumbers (4,6 and 8) are investigated in order to obtain the best heat transmission and acceleration of the melting process. The time required to reach total melting in the studied TES system is reduced by 14% and 31% in the examined TES system, respectively, when NePCM (4 vol% nanoparticles) and N = 8 are used instead of pure PCM and N = 4. The finding from this investigation could be used to design a shell-and-tube base thermal energy storage unit.

摘要

通过利用潜热和相变材料进行热能存储是储能系统中的一项热门技术。研究不同的热增强技术对于进一步改善这些系统中相变材料较弱的热导率至关重要。这项工作致力于创建一种具有波浪形外壁的基本壳管式蓄热装置。然后,讨论了两种关键的热增强方法:翅片和使用纳米增强相变材料(NePCM)。利用焓-孔隙率方法,开发了一个数值模型,以突出在工程考量和实时预测控制方法方面利用简化假设设计此类模型的可行性。研究了不同浓度的铜纳米颗粒(0、2和4体积%)和波数(4、6和8),以获得最佳的热传递和熔化过程加速效果。在所研究的蓄热系统中,当使用NePCM(4体积%纳米颗粒)和N = 8代替纯相变材料和N = 4时,达到完全熔化所需的时间分别减少了14%和31%。该研究结果可用于设计一个壳管式基础热能存储单元。

https://cdn.ncbi.nlm.nih.gov/pmc/blobs/d58c/9331441/1abc614e91cc/nanomaterials-12-02519-g009.jpg
https://cdn.ncbi.nlm.nih.gov/pmc/blobs/d58c/9331441/9108c04ccfbc/nanomaterials-12-02519-g001.jpg
https://cdn.ncbi.nlm.nih.gov/pmc/blobs/d58c/9331441/277c9731da52/nanomaterials-12-02519-g002.jpg
https://cdn.ncbi.nlm.nih.gov/pmc/blobs/d58c/9331441/d02297c35513/nanomaterials-12-02519-g003.jpg
https://cdn.ncbi.nlm.nih.gov/pmc/blobs/d58c/9331441/c1e8dc306abc/nanomaterials-12-02519-g004.jpg
https://cdn.ncbi.nlm.nih.gov/pmc/blobs/d58c/9331441/2de5bba032a9/nanomaterials-12-02519-g005.jpg
https://cdn.ncbi.nlm.nih.gov/pmc/blobs/d58c/9331441/75d2826f5238/nanomaterials-12-02519-g006.jpg
https://cdn.ncbi.nlm.nih.gov/pmc/blobs/d58c/9331441/663ff78b9393/nanomaterials-12-02519-g007.jpg
https://cdn.ncbi.nlm.nih.gov/pmc/blobs/d58c/9331441/4e281a6bc433/nanomaterials-12-02519-g008.jpg
https://cdn.ncbi.nlm.nih.gov/pmc/blobs/d58c/9331441/1abc614e91cc/nanomaterials-12-02519-g009.jpg
https://cdn.ncbi.nlm.nih.gov/pmc/blobs/d58c/9331441/9108c04ccfbc/nanomaterials-12-02519-g001.jpg
https://cdn.ncbi.nlm.nih.gov/pmc/blobs/d58c/9331441/277c9731da52/nanomaterials-12-02519-g002.jpg
https://cdn.ncbi.nlm.nih.gov/pmc/blobs/d58c/9331441/d02297c35513/nanomaterials-12-02519-g003.jpg
https://cdn.ncbi.nlm.nih.gov/pmc/blobs/d58c/9331441/c1e8dc306abc/nanomaterials-12-02519-g004.jpg
https://cdn.ncbi.nlm.nih.gov/pmc/blobs/d58c/9331441/2de5bba032a9/nanomaterials-12-02519-g005.jpg
https://cdn.ncbi.nlm.nih.gov/pmc/blobs/d58c/9331441/75d2826f5238/nanomaterials-12-02519-g006.jpg
https://cdn.ncbi.nlm.nih.gov/pmc/blobs/d58c/9331441/663ff78b9393/nanomaterials-12-02519-g007.jpg
https://cdn.ncbi.nlm.nih.gov/pmc/blobs/d58c/9331441/4e281a6bc433/nanomaterials-12-02519-g008.jpg
https://cdn.ncbi.nlm.nih.gov/pmc/blobs/d58c/9331441/1abc614e91cc/nanomaterials-12-02519-g009.jpg

相似文献

1
A Numerical Investigation of a Melting Rate Enhancement inside a Thermal Energy Storage System of Finned Heat Pipe with Nano-Enhanced Phase Change Material.带纳米增强相变材料的翅片热管蓄热系统内熔化速率增强的数值研究
Nanomaterials (Basel). 2022 Jul 22;12(15):2519. doi: 10.3390/nano12152519.
2
Thermal Energy Storage and Heat Transfer of Nano-Enhanced Phase Change Material (NePCM) in a Shell and Tube Thermal Energy Storage (TES) Unit with a Partial Layer of Eccentric Copper Foam.带有偏心铜泡沫部分层的壳管式热能存储单元中纳米增强相变材料(NePCM)的热能存储和传热。
Molecules. 2021 Mar 9;26(5):1491. doi: 10.3390/molecules26051491.
3
Enhancing the Melting Process of Shell-and-Tube PCM Thermal Energy Storage Unit Using Modified Tube Design.采用改进型管设计增强壳管式相变材料热能存储单元的熔化过程
Nanomaterials (Basel). 2022 Sep 5;12(17):3078. doi: 10.3390/nano12173078.
4
Melting enhancement of PCM in a finned tube latent heat thermal energy storage.翅片管潜热蓄热中相变材料的熔化强化
Sci Rep. 2022 Jul 7;12(1):11521. doi: 10.1038/s41598-022-15797-0.
5
Thermal Charging Optimization of a Wavy-Shaped Nano-Enhanced Thermal Storage Unit.波浪形纳米增强热储能单元的热充电优化。
Molecules. 2021 Mar 9;26(5):1496. doi: 10.3390/molecules26051496.
6
Recent Patents on Nano-Enhanced Materials for Use in Thermal Energy Storage (TES).用于热能存储(TES)的纳米增强材料的最新专利
Recent Pat Nanotechnol. 2017 Jul 10;11(2):101-108. doi: 10.2174/187221051102170711151312.
7
Enhanced Heat Transfer for NePCM-Melting-Based Thermal Energy of Finned Heat Pipe.基于纳米增强相变材料熔化的翅片式热管热能强化传热
Nanomaterials (Basel). 2021 Dec 31;12(1):129. doi: 10.3390/nano12010129.
8
The Thermal Charging Performance of Finned Conical Thermal Storage System Filled with Nano-Enhanced Phase Change Material.带有纳米增强相变材料的翅片锥形热储能系统的热充电性能。
Molecules. 2021 Mar 14;26(6):1605. doi: 10.3390/molecules26061605.
9
Enhancement of solar evacuated tube unit filled with nanofluid implementing three lobed storage unit equipped with fins.装有纳米流体的太阳能真空管装置的增强,该装置采用了配备翅片的三叶形存储单元。
Sci Rep. 2024 Apr 4;14(1):7939. doi: 10.1038/s41598-024-58276-4.
10
Own-Synthetize Nanoparticles to Develop Nano-Enhanced Phase Change Materials (NEPCM) to Improve the Energy Efficiency in Buildings.自主合成纳米粒子,开发纳米增强型相变材料 (NEPCM),以提高建筑物的能源效率。
Molecules. 2019 Mar 29;24(7):1232. doi: 10.3390/molecules24071232.

本文引用的文献

1
Numerical Study of Heat Transfer Enhancement within Confined Shell and Tube Latent Heat Thermal Storage Microsystem Using Hexagonal PCMs.使用六角形相变材料的受限壳管式潜热蓄热微系统内传热强化的数值研究。
Micromachines (Basel). 2022 Jun 30;13(7):1062. doi: 10.3390/mi13071062.
2
Melting enhancement of PCM in a finned tube latent heat thermal energy storage.翅片管潜热蓄热中相变材料的熔化强化
Sci Rep. 2022 Jul 7;12(1):11521. doi: 10.1038/s41598-022-15797-0.
3
Enhanced Heat Transfer for NePCM-Melting-Based Thermal Energy of Finned Heat Pipe.
基于纳米增强相变材料熔化的翅片式热管热能强化传热
Nanomaterials (Basel). 2021 Dec 31;12(1):129. doi: 10.3390/nano12010129.
4
Partial velocity slip effect on working magneto non-Newtonian nanofluids flow in solar collectors subject to change viscosity and thermal conductivity with temperature.部分速度滑移效应对太阳能集热器中非牛顿纳米流体的工作影响,考虑到黏度和导热系数随温度的变化。
PLoS One. 2021 Nov 29;16(11):e0259881. doi: 10.1371/journal.pone.0259881. eCollection 2021.
5
MHD darcy-forchheimer nanofluid flow and entropy optimization in an odd-shaped enclosure filled with a (MWCNT-FeO/water) using galerkin finite element analysis.基于伽辽金有限元分析的填充(多壁碳纳米管-氧化亚铁/水)的异形封闭腔内磁流体动力学达西-福希海默纳米流体流动与熵优化
Sci Rep. 2021 Nov 22;11(1):22635. doi: 10.1038/s41598-021-02047-y.
6
A Review of Thermal Property Enhancements of Low-Temperature Nano-Enhanced Phase Change Materials.低温纳米增强相变材料热性能增强研究综述
Nanomaterials (Basel). 2021 Sep 30;11(10):2578. doi: 10.3390/nano11102578.
7
Numerical Simulation of the Impact of the Heat Source Position on Melting of a Nano-Enhanced Phase Change Material.热源位置对纳米增强相变材料熔化影响的数值模拟
Nanomaterials (Basel). 2021 May 28;11(6):1425. doi: 10.3390/nano11061425.
8
Global economic crisis, energy use, CO emissions, and policy roadmap amid COVID-19.新冠疫情背景下的全球经济危机、能源使用、碳排放及政策路线图
Sustain Prod Consum. 2021 Apr;26:770-781. doi: 10.1016/j.spc.2020.12.029. Epub 2020 Dec 30.
9
Phase Change Process in a Zigzag Plate Latent Heat Storage System during Melting and Solidification.锯齿板相变储能系统在熔化和凝固过程中的相变过程。
Molecules. 2020 Oct 12;25(20):4643. doi: 10.3390/molecules25204643.
10
Impacts of gold nanoparticles on MHD mixed convection Poiseuille flow of nanofluid passing through a porous medium in the presence of thermal radiation, thermal diffusion and chemical reaction.金纳米颗粒对存在热辐射、热扩散和化学反应时通过多孔介质的纳米流体的磁流体动力学混合对流泊肃叶流动的影响。
Neural Comput Appl. 2018;30(3):789-797. doi: 10.1007/s00521-016-2688-7. Epub 2016 Nov 22.