Suppr超能文献

用于检测人血清中抗原特异性IgG的四重检测法的开发与表征

Development and Characterisation of a Four-Plex Assay to Measure Antigen-Specific IgG in Human Sera.

作者信息

Keeley Alexander J, Carducci Martina, Massai Luisa, Pizza Mariagrazia, de Silva Thushan I, G Moriel Danilo, Rossi Omar

机构信息

Department of Clinical Research, London School of Hygiene and Tropical Medicine, London WC1E 7HT, UK.

Department of Infection, Immunity and Cardiovascular Disease, University of Sheffield, Sheffield S10 2TN, UK.

出版信息

Methods Protoc. 2022 Jun 27;5(4):55. doi: 10.3390/mps5040055.

Abstract

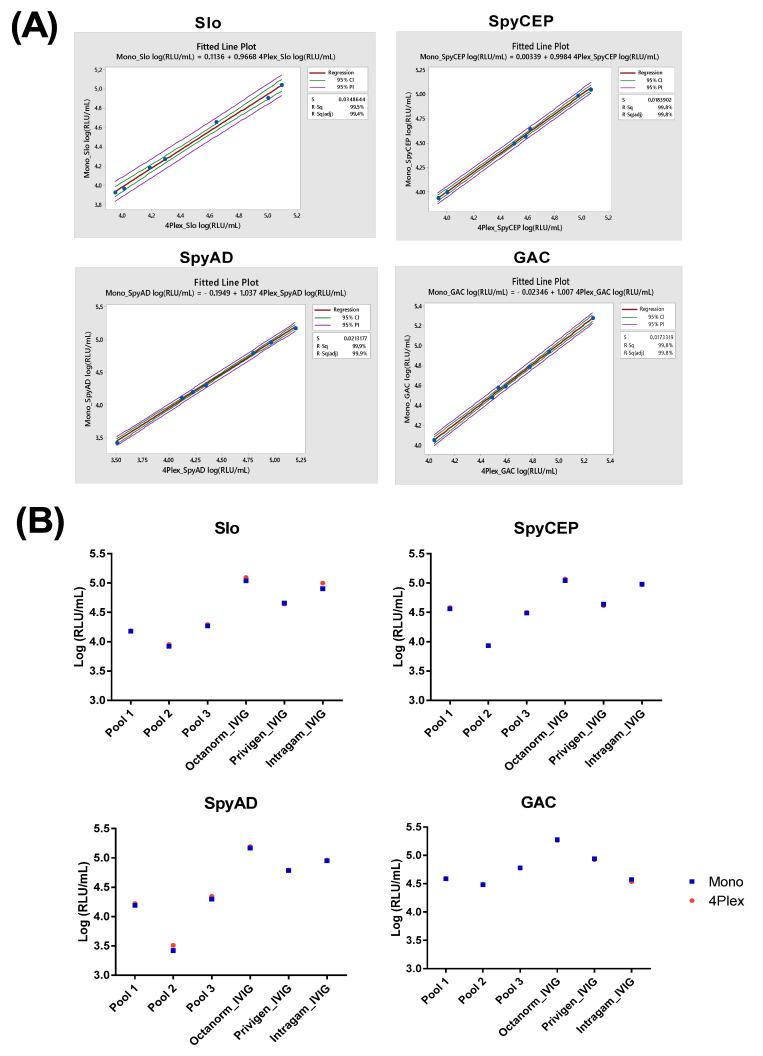
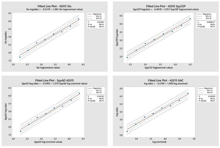
The measurement of antibodies to vaccine antigens is crucial for research towards a safe and effective vaccine for (Strep A). We describe the establishment and detailed characterisation of a four-plex assay to measure IgG to the Strep A vaccine antigens SpyCEP, Slo, SpyAD and GAC using the Luminex multiplex platform. A standard curve was established and characterized to allow the quantification of antigen-specific IgG. Assay specificity, precision, linearity, reproducibility and repeatability were determined via the measurement of antigen-specific IgG from pooled human serum. The assay is highly specific, reproducible and performs well across a large range of antibody concentrations against all four antigens. It is, therefore, suitable for future clinical trials in humans with a four-component vaccine, as well as for seroepidemiological studies to gain insights into naturally occurring immunity.

摘要

测量针对疫苗抗原的抗体对于研发针对A群链球菌(Strep A)的安全有效疫苗至关重要。我们描述了一种使用Luminex多重平台测量针对A群链球菌疫苗抗原SpyCEP、Slo、SpyAD和GAC的IgG的四重检测方法的建立和详细表征。建立并表征了标准曲线以实现抗原特异性IgG的定量。通过测量来自混合人血清的抗原特异性IgG来确定检测的特异性、精密度、线性、重现性和重复性。该检测具有高度特异性、可重复性,并且在针对所有四种抗原的大范围抗体浓度下表现良好。因此,它适用于未来使用四组分疫苗对人类进行的临床试验,以及用于血清流行病学研究以深入了解自然发生的免疫力。

https://cdn.ncbi.nlm.nih.gov/pmc/blobs/df58/9326740/84031af58beb/mps-05-00055-g0A1.jpg

文献检索

告别复杂PubMed语法,用中文像聊天一样搜索,搜遍4000万医学文献。AI智能推荐,让科研检索更轻松。

立即免费搜索

文件翻译

保留排版,准确专业,支持PDF/Word/PPT等文件格式,支持 12+语言互译。

免费翻译文档

深度研究

AI帮你快速写综述,25分钟生成高质量综述,智能提取关键信息,辅助科研写作。

立即免费体验