• 文献检索
  • 文档翻译
  • 深度研究
  • 学术资讯
  • Suppr Zotero 插件Zotero 插件
  • 邀请有礼
  • 套餐&价格
  • 历史记录
应用&插件
Suppr Zotero 插件Zotero 插件浏览器插件Mac 客户端Windows 客户端微信小程序
定价
高级版会员购买积分包购买API积分包
服务
文献检索文档翻译深度研究API 文档MCP 服务
关于我们
关于 Suppr公司介绍联系我们用户协议隐私条款
关注我们

Suppr 超能文献

核心技术专利:CN118964589B侵权必究
粤ICP备2023148730 号-1Suppr @ 2026

文献检索

告别复杂PubMed语法,用中文像聊天一样搜索,搜遍4000万医学文献。AI智能推荐,让科研检索更轻松。

立即免费搜索

文件翻译

保留排版,准确专业,支持PDF/Word/PPT等文件格式,支持 12+语言互译。

免费翻译文档

深度研究

AI帮你快速写综述,25分钟生成高质量综述,智能提取关键信息,辅助科研写作。

立即免费体验

急性心肌梗死中胆固醇悖论的谜团:一项 8 年全因死亡率随访的年龄匹配和性别匹配病例对照研究的启示,对照来自患者招募地区。

Enigma of the cholesterol paradox in acute myocardial infarction: lessons from an 8-year follow-up of all-cause mortality in an age-matched and sex-matched case-control study with controls from the patients' recruitment area.

机构信息

Center for Clinical Research, Vasteras, Faculty of Medicine, Uppsala University, Uppsala, Sweden.

Center for Clinical Research, Vasteras, Faculty of Medicine, Uppsala University, Uppsala, Sweden

出版信息

BMJ Open. 2022 Jul 27;12(7):e057562. doi: 10.1136/bmjopen-2021-057562.

DOI:10.1136/bmjopen-2021-057562
PMID:35896296
原文链接:https://pmc.ncbi.nlm.nih.gov/articles/PMC9335044/
Abstract

OBJECTIVE

To assess the impact of total cholesterol (TC) and low-density lipoprotein cholesterol (LDL-C) on long-term all-cause mortality (ACM) in patients with acute myocardial infarction (AMI) and controls.

DESIGN

Matched case-control study with 8-year follow-up.

SETTING

Vastmanland County Hospital, Vasteras, Sweden.

PARTICIPANTS

Consecutive patients with AMI admitted to the coronary care unit from March 2005 to May 2010 and age-matched and sex-matched controls from the general population.

OUTCOME MEASURES

ACM.

RESULTS

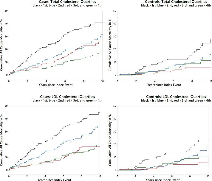
Person-year at risk among patients with AMI and controls was 11 667 (cases: 5780 and controls: 5887). During follow-up, 199 patients and 84 controls died, implying 3.4 deaths among patients and 1.4 among controls per 100 person-years at risk. Unadjusted Cox analyses showed significantly increasing mortality by decreasing TC and LDL-C levels in both patients (HR=0.70, 95% CI 0.62 to 0.79, p<0.001, and HR=0.64, 95% CI 0.56 to 0.74, p<0.001) and controls (HR=0.73, 95% CI 0.60 to 0.89, p=0.002, and HR=0.74, 95% CI 0.59 to 0.93, p=0.010). After adjusting for clinical variables, the results for the patients remained significant. Cox analyses of the relations between mortality and TC and LDL-C below and above their respective medians revealed the following pattern.

PATIENTS

below medians were TC and LDL-C levels significantly inversely related to mortality; above medians there were no relations with mortality.

CONTROLS

below medians were TC and LDL-C levels significantly inversely related to mortality; above medians were LDL-C levels significantly positively related to mortality. Mean LDL-C level in patients with blood sampled >12 hours after symptom onset was 0.41 mmol/L lower than that in patients with blood sampled ≤12 hours (p=0.030). This LDL-C decrease was reasonably caused by ongoing AMI and reflects the difference in LDL-C levels between patients and controls.

CONCLUSIONS

In patients with AMI, lower TC and LDL-C levels independently predict higher ACM. In their controls, LDL-C levels above the median independently predict higher ACM. This study adds to the body of evidence supporting the existence of a cholesterol paradox.

摘要

目的

评估总胆固醇(TC)和低密度脂蛋白胆固醇(LDL-C)对急性心肌梗死(AMI)患者和对照者的长期全因死亡率(ACM)的影响。

设计

具有 8 年随访的配对病例对照研究。

地点

瑞典韦斯特罗斯县医院。

参与者

2005 年 3 月至 2010 年 5 月连续收治的 AMI 患者,以及来自普通人群的年龄和性别匹配的对照者。

结局测量

ACM。

结果

AMI 患者和对照者的风险人年为 11667 人年(病例组:5780 人年,对照组:5887 人年)。在随访期间,199 例患者和 84 例对照者死亡,意味着每 100 人年风险中有 3.4 例患者和 1.4 例对照者死亡。未校正的 Cox 分析显示,在患者(HR=0.70,95%CI 0.62 至 0.79,p<0.001 和 HR=0.64,95%CI 0.56 至 0.74,p<0.001)和对照者(HR=0.73,95%CI 0.60 至 0.89,p=0.002 和 HR=0.74,95%CI 0.59 至 0.93,p=0.010)中,TC 和 LDL-C 水平降低与死亡率呈显著正相关。在调整临床变量后,患者的结果仍有统计学意义。对死亡率与 TC 和 LDL-C 低于和高于各自中位数之间的关系进行 Cox 分析,结果显示如下。

患者

TC 和 LDL-C 水平低于中位数与死亡率呈显著负相关;高于中位数时,与死亡率无相关性。

对照者

TC 和 LDL-C 水平低于中位数与死亡率呈显著负相关;高于中位数时,LDL-C 水平与死亡率呈显著正相关。发病后 12 小时以上采血的患者的平均 LDL-C 水平比发病后 12 小时内采血的患者低 0.41mmol/L(p=0.030)。这种 LDL-C 降低可能是由正在进行的 AMI 引起的,反映了患者和对照者之间 LDL-C 水平的差异。

结论

在 AMI 患者中,TC 和 LDL-C 水平降低独立预测 ACM 较高。在其对照者中,LDL-C 水平高于中位数独立预测 ACM 较高。这项研究增加了支持胆固醇悖论存在的证据。

https://cdn.ncbi.nlm.nih.gov/pmc/blobs/facc/9335044/6a45ed99a339/bmjopen-2021-057562f03.jpg
https://cdn.ncbi.nlm.nih.gov/pmc/blobs/facc/9335044/356815380b6d/bmjopen-2021-057562f01.jpg
https://cdn.ncbi.nlm.nih.gov/pmc/blobs/facc/9335044/a353d4da7c00/bmjopen-2021-057562f02.jpg
https://cdn.ncbi.nlm.nih.gov/pmc/blobs/facc/9335044/6a45ed99a339/bmjopen-2021-057562f03.jpg
https://cdn.ncbi.nlm.nih.gov/pmc/blobs/facc/9335044/356815380b6d/bmjopen-2021-057562f01.jpg
https://cdn.ncbi.nlm.nih.gov/pmc/blobs/facc/9335044/a353d4da7c00/bmjopen-2021-057562f02.jpg
https://cdn.ncbi.nlm.nih.gov/pmc/blobs/facc/9335044/6a45ed99a339/bmjopen-2021-057562f03.jpg

相似文献

1
Enigma of the cholesterol paradox in acute myocardial infarction: lessons from an 8-year follow-up of all-cause mortality in an age-matched and sex-matched case-control study with controls from the patients' recruitment area.急性心肌梗死中胆固醇悖论的谜团:一项 8 年全因死亡率随访的年龄匹配和性别匹配病例对照研究的启示,对照来自患者招募地区。
BMJ Open. 2022 Jul 27;12(7):e057562. doi: 10.1136/bmjopen-2021-057562.
2
Predictive value of lipoprotein indices for residual risk of acute myocardial infarction and sudden death in men with low-density lipoprotein cholesterol levels <120 mg/dl.脂蛋白指数对低密度脂蛋白胆固醇水平<120mg/dl 的男性急性心肌梗死和猝死残余风险的预测价值。
Am J Cardiol. 2013 Oct 15;112(8):1063-8. doi: 10.1016/j.amjcard.2013.05.049. Epub 2013 Jul 4.
3
A long-term follow-up study of serum lipid levels and coronary heart disease in the elderly.老年人血脂水平与冠心病的长期随访研究
Chin Med J (Engl). 2004 Feb;117(2):163-7.
4
Primary prevention of acute coronary events with lovastatin in men and women with average cholesterol levels: results of AFCAPS/TexCAPS. Air Force/Texas Coronary Atherosclerosis Prevention Study.洛伐他汀对胆固醇水平正常的男性和女性急性冠脉事件的一级预防:空军/德州冠状动脉粥样硬化预防研究(AFCAPS/TexCAPS)的结果
JAMA. 1998 May 27;279(20):1615-22. doi: 10.1001/jama.279.20.1615.
5
6
Serum low-density lipoprotein to high-density lipoprotein ratio as a predictor of future acute myocardial infarction among men in a 2.7-year cohort study of a Japanese northern rural population.血清低密度脂蛋白与高密度脂蛋白比值对日本北部农村人群 2.7 年队列研究中男性未来发生急性心肌梗死的预测作用。
J Atheroscler Thromb. 2011;18(2):89-98. doi: 10.5551/jat.5215. Epub 2010 Oct 20.
7
Low-density lipoprotein cholesterol level in patients with acute myocardial infarction having percutaneous coronary intervention (the cholesterol paradox).急性心肌梗死经皮冠状动脉介入治疗患者的低密度脂蛋白胆固醇水平(胆固醇悖论)。
Am J Cardiol. 2010 Oct 15;106(8):1061-8. doi: 10.1016/j.amjcard.2010.06.009.
8
Lipoprotein(a) and cholesterol levels act synergistically and apolipoprotein A-I is protective for the incidence of primary acute myocardial infarction in middle-aged males. An incident case-control study from Sweden.脂蛋白(a)和胆固醇水平具有协同作用,载脂蛋白A-I对中年男性原发性急性心肌梗死的发生具有保护作用。一项来自瑞典的病例对照研究。
J Intern Med. 1998 Nov;244(5):425-30. doi: 10.1046/j.1365-2796.1998.00422.x.
9
Apolipoprotein B and Non-HDL Cholesterol Better Reflect Residual Risk Than LDL Cholesterol in Statin-Treated Patients.在接受他汀类药物治疗的患者中,载脂蛋白B和非高密度脂蛋白胆固醇比低密度脂蛋白胆固醇更能反映残余风险。
J Am Coll Cardiol. 2021 Mar 23;77(11):1439-1450. doi: 10.1016/j.jacc.2021.01.027.
10
Is non-HDL-cholesterol a better predictor of long-term outcome in patients after acute myocardial infarction compared to LDL-cholesterol? : a retrospective study.与低密度脂蛋白胆固醇相比,非高密度脂蛋白胆固醇是否是急性心肌梗死后患者长期预后的更好预测指标?一项回顾性研究。
BMC Cardiovasc Disord. 2017 Jan 5;17(1):10. doi: 10.1186/s12872-016-0450-9.

引用本文的文献

1
The Cholesterol Paradox in Long-Livers from a Sardinia Longevity Hot Spot (Blue Zone).来自撒丁岛长寿热点地区(蓝色区域)的长寿者中的胆固醇悖论。
Nutrients. 2025 Feb 21;17(5):765. doi: 10.3390/nu17050765.
2
The site-specific distribution of atheromatous plaques in the coronary arteries.冠状动脉中动脉粥样硬化斑块的部位特异性分布。
Postepy Kardiol Interwencyjnej. 2023 Sep;19(3):195-201. doi: 10.5114/aic.2023.131471. Epub 2023 Sep 27.
3
Paradoxical Effects of Prolonged Insufficient Sleep on Lipid Profile: A Pooled Analysis of 2 Randomized Trials.

本文引用的文献

1
The "cholesterol paradox" among inpatients - retrospective analysis of medical documentation.住院患者中的“胆固醇悖论”——医疗文档回顾性分析
Arch Med Sci Atheroscler Dis. 2018 Mar 27;3:e46-e57. doi: 10.5114/amsad.2018.74736. eCollection 2018.
2
Lack of an association or an inverse association between low-density-lipoprotein cholesterol and mortality in the elderly: a systematic review.老年人中低密度脂蛋白胆固醇与死亡率之间缺乏关联或呈负相关:一项系统综述。
BMJ Open. 2016 Jun 12;6(6):e010401. doi: 10.1136/bmjopen-2015-010401.
3
Fasting is not routinely required for determination of a lipid profile: clinical and laboratory implications including flagging at desirable concentration cut-points-a joint consensus statement from the European Atherosclerosis Society and European Federation of Clinical Chemistry and Laboratory Medicine.
延长睡眠不足对血脂谱的矛盾影响:2 项随机试验的汇总分析。
J Am Heart Assoc. 2023 Oct 17;12(20):e032078. doi: 10.1161/JAHA.123.032078. Epub 2023 Oct 10.
4
Lipid Profiles and Atrial Fibrillation in Ischemic Stroke Patients Treated with Thrombectomy: Experience from a Tertiary Italian Stroke Hospital.经取栓治疗的缺血性脑卒中患者的血脂谱与心房颤动:一家意大利三级卒中医院的经验。
Cardiovasc Hematol Agents Med Chem. 2024;22(2):168-180. doi: 10.2174/1871525721666230522124351.
测定血脂谱通常不需要禁食:临床和实验室意义,包括在理想浓度切点处标记——欧洲动脉粥样硬化学会和欧洲临床化学与检验医学联合会联合共识声明
Eur Heart J. 2016 Jul 1;37(25):1944-58. doi: 10.1093/eurheartj/ehw152. Epub 2016 Apr 26.
4
Greater decreases in cholesterol levels among individuals with high cardiovascular risk than among the general population: the northern Sweden MONICA study 1994 to 2014.心血管高风险个体的胆固醇水平下降幅度大于普通人群:瑞典北部1994年至2014年莫尼卡研究
Eur Heart J. 2016 Jul 1;37(25):1985-92. doi: 10.1093/eurheartj/ehw052. Epub 2016 Mar 2.
5
Cholesterol Levels Decrease soon after Acute Myocardial Infarction.急性心肌梗死后不久胆固醇水平会下降。
Isr Med Assoc J. 2015 Jun;17(6):370-3.
6
LDL cholesterol still a problem in old age? A Mendelian randomization study.LDL 胆固醇在老年仍是问题吗?一项孟德尔随机化研究。
Int J Epidemiol. 2015 Apr;44(2):604-12. doi: 10.1093/ije/dyv031. Epub 2015 Apr 7.
7
Relationship between serum low-density lipoprotein cholesterol and in-hospital mortality following acute myocardial infarction (the lipid paradox).急性心肌梗死后血清低密度脂蛋白胆固醇与院内死亡率的关系(脂质悖论)
Am J Cardiol. 2015 Mar 1;115(5):557-62. doi: 10.1016/j.amjcard.2014.12.006. Epub 2014 Dec 24.
8
Lipid paradox in rheumatoid arthritis: the impact of serum lipid measures and systemic inflammation on the risk of cardiovascular disease.类风湿关节炎中的脂质悖论:血清脂质指标和全身炎症对心血管疾病风险的影响。
Ann Rheum Dis. 2011 Mar;70(3):482-7. doi: 10.1136/ard.2010.135871. Epub 2011 Jan 7.
9
Low-density lipoprotein cholesterol level in patients with acute myocardial infarction having percutaneous coronary intervention (the cholesterol paradox).急性心肌梗死经皮冠状动脉介入治疗患者的低密度脂蛋白胆固醇水平(胆固醇悖论)。
Am J Cardiol. 2010 Oct 15;106(8):1061-8. doi: 10.1016/j.amjcard.2010.06.009.
10
The joint effects of apolipoprotein B, apolipoprotein A1, LDL cholesterol, and HDL cholesterol on risk: 3510 cases of acute myocardial infarction and 9805 controls.载脂蛋白 B、载脂蛋白 A1、低密度脂蛋白胆固醇和高密度脂蛋白胆固醇对风险的联合作用:3510 例急性心肌梗死和 9805 例对照。
Eur Heart J. 2009 Sep;30(17):2137-46. doi: 10.1093/eurheartj/ehp221. Epub 2009 Jun 11.