Suppr超能文献

使用 F-PI-2620 PET 评估 MCI 和早期 AD 患者中的 tau 沉积——一项 MissionAD tau 子研究。

Evaluation of tau deposition using F-PI-2620 PET in MCI and early AD subjects-a MissionAD tau sub-study.

机构信息

Life Molecular Imaging GmbH, Berlin, Germany.

Eisai Inc, Nutley, NJ, USA.

出版信息

Alzheimers Res Ther. 2022 Jul 27;14(1):105. doi: 10.1186/s13195-022-01048-x.

Abstract

BACKGROUND

The ability of F-PI-2620 PET to measure the spatial distribution of tau pathology in Alzheimer's disease (AD) has been demonstrated in previous studies. The objective of this work was to evaluate tau deposition using F-PI-2620 PET in beta-amyloid positive subjects with a diagnosis of mild cognitive impairment (MCI) or mild AD dementia and characterize it with respect to amyloid deposition, cerebrospinal fluid (CSF) assessment, hippocampal volume, and cognition.

METHODS

Subjects with a diagnosis of MCI due to AD or mild AD dementia and a visually amyloid-positive F-florbetaben PET scan (n=74, 76 ± 7 years, 38 females) underwent a baseline F-PI-2620 PET, T1-weighted magnetic resonance imaging (MRI), CSF assessment (Aβ42/Aβ40 ratio, p-tau, t-tau) (n=22) and several cognitive tests. A 1-year follow-up F-PI-2620 PET scans and cognitive assessments were done in 15 subjects.

RESULTS

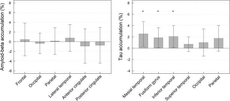
Percentage of visually tau-positive scans increased with amyloid-beta deposition measured in F-florbetaben Centiloids (CL) (7.7% (<36 CL), 80% (>83 CL)). F-PI-2620 standardized uptake value ratio (SUVR) was correlated with increased F-florbetaben CL in several regions of interest. Elevated F-PI-2620 SUVR (fusiform gyrus) was associated to high CSF p-tau and t-tau (p=0.0006 and p=0.01, respectively). Low hippocampal volume was associated with increased tau load at baseline (p=0.006 (mesial temporal); p=0.01 (fusiform gyrus)). Significant increases in tau SUVR were observed after 12 months, particularly in the mesial temporal cortex, fusiform gyrus, and inferior temporal cortex (p=0.04, p=0.047, p=0.02, respectively). However, no statistically significant increase in amyloid-beta load was measured over the observation time. The MMSE (Recall score), ADAS-Cog14 (Word recognition score), and CBB (One-card learning score) showed the strongest association with tau deposition at baseline.

CONCLUSIONS

The findings support the hypothesis that F-PI-2620 PET imaging of neuropathologic tau deposits may reflect underlying neurodegeneration in AD with significant correlations with hippocampal volume, CSF biomarkers, and amyloid-beta load. Furthermore, quantifiable increases in F-PI-2620 SUVR over a 12-month period in regions with early tau deposition are consistent with the hypothesis that cortical tau is associated with cognitive impairment. This study supports the utility of F-PI-2620 PET to assess tau deposits in an early AD population. Quantifiable tau load and its corresponding increase in early AD cases could be a relevant target engagement marker in clinical trials of anti-amyloid and anti-tau agents.

TRIAL REGISTRATION

Data used in this manuscript belong to a tau PET imaging sub-study of the elenbecestat MissionAD Phase 3 program registered in ClinicalTrials.gov ( NCT02956486 ;  NCT03036280 ).

摘要

背景

F-PI-2620 PET 测量阿尔茨海默病(AD)中 tau 病理学空间分布的能力在先前的研究中得到了证明。本研究的目的是使用 F-PI-2620 PET 评估β-淀粉样蛋白阳性的轻度认知障碍(MCI)或轻度 AD 痴呆患者的 tau 沉积,并根据淀粉样蛋白沉积、脑脊液(CSF)评估、海马体积和认知进行特征描述。

方法

由于 AD 或轻度 AD 痴呆而被诊断为 MCI 的患者(n=74,76±7 岁,38 名女性)进行了基线 F-PI-2620 PET、T1 加权磁共振成像(MRI)、CSF 评估(Aβ42/Aβ40 比值、p-tau、t-tau)(n=22)和多项认知测试。15 名患者进行了为期 1 年的 F-PI-2620 PET 随访和认知评估。

结果

在 F-氟比他滨 Centiloids(CL)(7.7%(<36 CL),80%(>83 CL))中,视觉 tau 阳性扫描的百分比随着β-淀粉样蛋白沉积的增加而增加。F-PI-2620 标准化摄取值比值(SUVR)与多个感兴趣区域中 F-氟比他滨 CL 的增加相关。高 F-PI-2620 SUVR(梭状回)与高 CSF p-tau 和 t-tau 相关(p=0.0006 和 p=0.01)。基线时海马体积较低与 tau 负荷增加有关(p=0.006(内侧颞叶);p=0.01(梭状回))。在 12 个月后,tau SUVR 显著增加,特别是在内侧颞叶皮质、梭状回和颞下回(p=0.04,p=0.047,p=0.02)。然而,在观察期间未测量到淀粉样蛋白-β负荷的统计学显著增加。MMSE(回忆评分)、ADAS-Cog14(单词识别评分)和 CBB(一单卡片学习评分)在基线时与 tau 沉积的相关性最强。

结论

研究结果支持以下假设:F-PI-2620 PET 成像神经病理学 tau 沉积物可能反映 AD 中的潜在神经退行性变,与海马体积、CSF 生物标志物和淀粉样蛋白-β负荷有显著相关性。此外,在具有早期 tau 沉积的区域,F-PI-2620 SUVR 在 12 个月内的可量化增加与皮质 tau 与认知障碍相关的假设一致。这项研究支持使用 F-PI-2620 PET 评估早期 AD 人群中的 tau 沉积。早期 AD 病例中可量化的 tau 负荷及其相应增加可能是抗淀粉样蛋白和抗 tau 药物临床试验中的一个相关靶标。

临床试验信息

本文中使用的数据属于 elenbecestat MissionAD 三期临床试验的 tau PET 成像子研究,该研究已在 ClinicalTrials.gov 注册(NCT02956486;NCT03036280)。

https://cdn.ncbi.nlm.nih.gov/pmc/blobs/cd88/9327167/b7b240a4a464/13195_2022_1048_Fig1_HTML.jpg

文献检索

告别复杂PubMed语法,用中文像聊天一样搜索,搜遍4000万医学文献。AI智能推荐,让科研检索更轻松。

立即免费搜索

文件翻译

保留排版,准确专业,支持PDF/Word/PPT等文件格式,支持 12+语言互译。

免费翻译文档

深度研究

AI帮你快速写综述,25分钟生成高质量综述,智能提取关键信息,辅助科研写作。

立即免费体验