Suppr超能文献

吗替麦考酚酯与霉酚酸酯治疗肾移植的疗效和安全性的系统评价和荟萃分析。

The Efficacy and Safety of Mizoribine versus Mycophenolate Mofetil for the Treatment of Renal Transplantation: A Systematic Review and Meta-Analysis.

机构信息

Urinary Surgery, The First Affiliated Hospital of Jinan University, Guangzhou, China.

UrinarySurgery, Southern Hospital of Southern Medical University, Guangzhou, China.

出版信息

Comput Intell Neurosci. 2022 Jul 22;2022:5717068. doi: 10.1155/2022/5717068. eCollection 2022.

Abstract

BACKGROUND

Mizoribine (MZR) is widely used in Asia due to its high safety and low cost, and comparative studies of its safety and efficacy with the first-line drug mycophenolate mofetil (MMF) have been carried out. This paper aimed to compare the efficacy and safety of MZR and MMF in immunosuppressive therapy of renal transplantation by meta-analysis.

METHODS

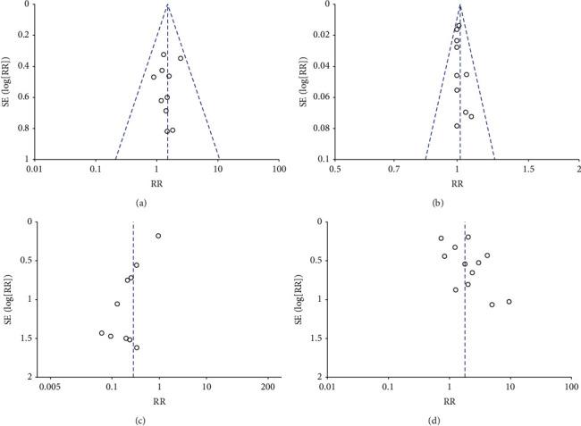
We searched randomized controlled trials (RCTs) comparing MZR versus MMF for renal transplantation in PubMed, Excerpta Medica Database (EMBASE), Cochrane Library, Web of Science, WanFang Database, China National Knowledge Infrastructure (CNKI), and Chinese Biomedical Database (CBM). Articles were assessed for their risk of bias using the Cochrane Collaboration. Forest plots and funnel plots were also performed on the included articles.

RESULTS

A total of twelve studies with 1103 patients were selected in the analysis. No significant difference were observed between the MZR group and the MMF group for the rate of acute rejection (RR = 1.50, 95% CI 1.11 to 2.01,  = 0.008), patient survival (RR = 1.01, 95% CI 0.99 to 1.03,  = 0.56), graft survival (RR = 1.02, 95% CI 1.00 to 1.04,  = 0.12), leucopenia (RR = 0.69, 95% CI 0.44 to 1.10,  = 0.12), and liver damage (RR = 0.72, 95% CI 0.46 to 1.13,  = 0.15). The MZR group was associated with a lower risk of gastrointestinal disorder (RR = 0.28, 95% CI 0.13 to 0.62,  = 0.002) and cytomegalovirus infection (RR = 0.59, 95% CI 0.42 to 0.84,  = 0.003) but had a higher risk of hyperuricemia (RR 1.79, 95% CI 1.17 to 2.75,  = 0.007). No significant publication bias was observed among included studies. . MZR is similar to MMF in efficacy, and in terms of safety, MZR has a lower risk of gastrointestinal disorder and cytomegalovirus infection but a higher risk of hyperuricemia.

摘要

背景

米佐布津(MZR)由于安全性高、成本低,在亚洲被广泛应用,并且已经进行了将其与一线药物霉酚酸酯(MMF)的安全性和疗效进行比较的研究。本文旨在通过荟萃分析比较 MZR 与 MMF 在肾移植免疫抑制治疗中的疗效和安全性。

方法

我们在 PubMed、Excerpta Medica Database(EMBASE)、Cochrane Library、Web of Science、万方数据库、中国知网(CNKI)和中国生物医学文献数据库(CBM)中检索了比较 MZR 与 MMF 用于肾移植的随机对照试验(RCT)。使用 Cochrane 协作网评估纳入文章的偏倚风险。还对纳入的文章进行了森林图和漏斗图分析。

结果

共纳入 12 项研究,包含 1103 例患者。MZR 组与 MMF 组的急性排斥反应发生率(RR=1.50,95%CI 1.11-2.01, =0.008)、患者生存率(RR=1.01,95%CI 0.99-1.03, =0.56)、移植物生存率(RR=1.02,95%CI 1.00-1.04, =0.12)、白细胞减少症(RR=0.69,95%CI 0.44-1.10, =0.12)和肝损伤(RR=0.72,95%CI 0.46-1.13, =0.15)无显著差异。MZR 组胃肠道疾病(RR=0.28,95%CI 0.13-0.62, =0.002)和巨细胞病毒感染(RR=0.59,95%CI 0.42-0.84, =0.003)的风险较低,但高尿酸血症(RR=1.79,95%CI 1.17-2.75, =0.007)的风险较高。纳入的研究没有明显的发表偏倚。MZR 在疗效方面与 MMF 相似,在安全性方面,MZR 胃肠道疾病和巨细胞病毒感染的风险较低,但高尿酸血症的风险较高。

https://cdn.ncbi.nlm.nih.gov/pmc/blobs/7b85/9337967/a394cc29bc87/CIN2022-5717068.001.jpg

文献检索

告别复杂PubMed语法,用中文像聊天一样搜索,搜遍4000万医学文献。AI智能推荐,让科研检索更轻松。

立即免费搜索

文件翻译

保留排版,准确专业,支持PDF/Word/PPT等文件格式,支持 12+语言互译。

免费翻译文档

深度研究

AI帮你快速写综述,25分钟生成高质量综述,智能提取关键信息,辅助科研写作。

立即免费体验