• 文献检索
  • 文档翻译
  • 深度研究
  • 学术资讯
  • Suppr Zotero 插件Zotero 插件
  • 邀请有礼
  • 套餐&价格
  • 历史记录
应用&插件
Suppr Zotero 插件Zotero 插件浏览器插件Mac 客户端Windows 客户端微信小程序
定价
高级版会员购买积分包购买API积分包
服务
文献检索文档翻译深度研究API 文档MCP 服务
关于我们
关于 Suppr公司介绍联系我们用户协议隐私条款
关注我们

Suppr 超能文献

核心技术专利:CN118964589B侵权必究
粤ICP备2023148730 号-1Suppr @ 2026

文献检索

告别复杂PubMed语法,用中文像聊天一样搜索,搜遍4000万医学文献。AI智能推荐,让科研检索更轻松。

立即免费搜索

文件翻译

保留排版,准确专业,支持PDF/Word/PPT等文件格式,支持 12+语言互译。

免费翻译文档

深度研究

AI帮你快速写综述,25分钟生成高质量综述,智能提取关键信息,辅助科研写作。

立即免费体验

用于测量土壤传播性蠕虫治疗反应的卵排泄指标。

Egg excretion indicators for the measurement of soil-transmitted helminth response to treatment.

机构信息

International Severe Acute Respiratory and Emerging Infection Consortium, Pandemic Sciences Institute, University of Oxford, Oxford, United Kingdom.

Centre of Competence for Methodology and Statistics, Luxembourg Institute of Health, Strassen, Luxembourg.

出版信息

PLoS Negl Trop Dis. 2022 Aug 2;16(8):e0010593. doi: 10.1371/journal.pntd.0010593. eCollection 2022 Aug.

DOI:10.1371/journal.pntd.0010593
PMID:35917364
原文链接:https://pmc.ncbi.nlm.nih.gov/articles/PMC9374261/
Abstract

BACKGROUND

Periodic administration of anthelmintic drugs is a cost-effective intervention for morbidity control of soil-transmitted helminth (STH) infections. However, with programs expanding, drug pressure potentially selecting for drug-resistant parasites increases. While monitoring anthelmintic drug efficacy is crucial to inform country control program strategies, different factors must be taken into consideration that influence drug efficacy and make it difficult to standardize treatment outcome measures. We aimed to identify suitable approaches to assess and compare the efficacy of different anthelmintic treatments.

METHODOLOGY

We built an individual participant-level database from 11 randomized controlled trials and two observational studies in which subjects received single-agent or combination therapy, or placebo. Eggs per gram of stool were calculated from egg counts at baseline and post-treatment. Egg reduction rates (ERR; based on mean group egg counts) and individual-patient ERR (iERR) were utilized to express drug efficacy and analyzed after log-transformation with a linear mixed effect model. The analyses were separated by follow-up duration (14-21 and 22-45 days) after drug administration.

PRINCIPAL FINDINGS

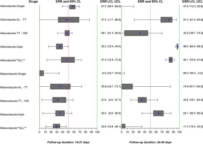
The 13 studies enrolled 5,759 STH stool-positive individuals; 5,688 received active medication or placebo contributing a total of 11,103 STH infections (65% had two or three concurrent infections), of whom 3,904 (8,503 infections) and 1,784 (2,550 infections) had efficacy assessed at 14-21 days and 22-45 days post-treatment, respectively. Neither the number of helminth co-infections nor duration of follow-up affected ERR for any helminth species. The number of participants treated with single-dose albendazole was 689 (18%), with single-dose mebendazole 658 (17%), and with albendazole-based co-administrations 775 (23%). The overall mean ERR assessed by day 14-21 for albendazole and mebendazole was 94.5% and 87.4%, respectively on Ascaris lumbricoides, 86.8% and 40.8% on hookworm, and 44.9% and 23.8% on Trichuris trichiura. The World Health Organization (WHO) recommended criteria for efficacy were met in 50%, 62%, and 33% studies of albendazole for A. lumbricoides, T. trichiura, and hookworm, respectively and 25% of mebendazole studies. iERR analyses showed similar results, with cure achieved in 92% of A. lumbricoides-infected subjects treated with albendazole and 93% with mebendazole; corresponding figures for hookworm were 70% and 17%, and for T. trichiura 22% and 20%.

CONCLUSIONS/SIGNIFICANCE: Combining the traditional efficacy assessment using group averages with individual responses provides a more complete picture of how anthelmintic treatments perform. Most treatments analyzed fail to meet the WHO minimal criteria for efficacy based on group means. Drug combinations (i.e., albendazole-ivermectin and albendazole-oxantel pamoate) are promising treatments for STH infections.

摘要

背景

定期给予驱虫药是控制土壤传播性蠕虫(STH)感染发病率的一种具有成本效益的干预措施。然而,随着项目的扩展,药物压力可能会选择具有耐药性的寄生虫。虽然监测驱虫药的疗效对于为国家控制规划战略提供信息至关重要,但必须考虑到不同的因素,这些因素会影响药物疗效,并使治疗结果的衡量标准难以标准化。我们旨在确定评估和比较不同驱虫治疗效果的合适方法。

方法

我们从 11 项随机对照试验和 2 项观察性研究中建立了一个个体参与者水平的数据库,这些研究中受试者接受了单一药物或联合治疗或安慰剂治疗。根据基线和治疗后粪便中的虫卵计数计算每克粪便中的虫卵数。采用基于平均组虫卵计数的虫卵减少率(ERR)和个体患者虫卵减少率(iERR)来表示药物疗效,并在对数转换后使用线性混合效应模型进行分析。分析分为药物治疗后 14-21 天和 22-45 天两个时间段。

主要发现

这 13 项研究共纳入了 5759 例 STH 粪便阳性个体;5688 人接受了活性药物或安慰剂治疗,共涉及 11103 例 STH 感染(65%的人有两种或三种同时感染),其中 3904 人(8503 例感染)和 1784 人(2550 例感染)在治疗后 14-21 天和 22-45 天分别进行了疗效评估。任何蠕虫物种的 ERR 均不受合并寄生虫感染数量或随访时间的影响。接受单次剂量阿苯达唑治疗的参与者有 689 人(18%),单次剂量甲苯达唑治疗的参与者有 658 人(17%),接受阿苯达唑联合治疗的参与者有 775 人(23%)。阿苯达唑和甲苯达唑在治疗后 14-21 天的总体平均 ERR 分别为蛔虫的 94.5%和 87.4%,钩虫的 86.8%和 40.8%,以及鞭虫的 44.9%和 23.8%。世界卫生组织(WHO)推荐的疗效标准在阿苯达唑治疗蛔虫、鞭虫和钩虫的 50%、62%和 33%的研究中得到满足,甲苯达唑研究中有 25%符合标准。iERR 分析显示了类似的结果,接受阿苯达唑治疗的蛔虫感染患者中 92%得到治愈,接受甲苯达唑治疗的患者中 93%得到治愈;钩虫的相应数字为 70%和 17%,鞭虫为 22%和 20%。

结论/意义:将使用群体平均值的传统疗效评估与个体反应相结合,更全面地了解驱虫治疗的效果。基于群体平均值,大多数分析的治疗方法都未能达到世界卫生组织的最低疗效标准。药物联合治疗(即阿苯达唑-伊维菌素和阿苯达唑-奥沙苯达唑)是治疗 STH 感染的有前途的治疗方法。

https://cdn.ncbi.nlm.nih.gov/pmc/blobs/c929/9374261/3e366b233273/pntd.0010593.g015.jpg
https://cdn.ncbi.nlm.nih.gov/pmc/blobs/c929/9374261/bb8423cb69c2/pntd.0010593.g001.jpg
https://cdn.ncbi.nlm.nih.gov/pmc/blobs/c929/9374261/1fc273d16754/pntd.0010593.g002.jpg
https://cdn.ncbi.nlm.nih.gov/pmc/blobs/c929/9374261/dc44fdf690c2/pntd.0010593.g003.jpg
https://cdn.ncbi.nlm.nih.gov/pmc/blobs/c929/9374261/c84d77f8cff3/pntd.0010593.g004.jpg
https://cdn.ncbi.nlm.nih.gov/pmc/blobs/c929/9374261/bf135b564e3e/pntd.0010593.g005.jpg
https://cdn.ncbi.nlm.nih.gov/pmc/blobs/c929/9374261/4bda998c18d6/pntd.0010593.g006.jpg
https://cdn.ncbi.nlm.nih.gov/pmc/blobs/c929/9374261/77a7bab57d60/pntd.0010593.g007.jpg
https://cdn.ncbi.nlm.nih.gov/pmc/blobs/c929/9374261/e3c28fd0afd1/pntd.0010593.g008.jpg
https://cdn.ncbi.nlm.nih.gov/pmc/blobs/c929/9374261/7010e49a1418/pntd.0010593.g009.jpg
https://cdn.ncbi.nlm.nih.gov/pmc/blobs/c929/9374261/56f5424c89c0/pntd.0010593.g010.jpg
https://cdn.ncbi.nlm.nih.gov/pmc/blobs/c929/9374261/d21ae3178299/pntd.0010593.g011.jpg
https://cdn.ncbi.nlm.nih.gov/pmc/blobs/c929/9374261/ba87e3babde6/pntd.0010593.g012.jpg
https://cdn.ncbi.nlm.nih.gov/pmc/blobs/c929/9374261/3f18b8dc184c/pntd.0010593.g013.jpg
https://cdn.ncbi.nlm.nih.gov/pmc/blobs/c929/9374261/39f8e8998ff7/pntd.0010593.g014.jpg
https://cdn.ncbi.nlm.nih.gov/pmc/blobs/c929/9374261/3e366b233273/pntd.0010593.g015.jpg
https://cdn.ncbi.nlm.nih.gov/pmc/blobs/c929/9374261/bb8423cb69c2/pntd.0010593.g001.jpg
https://cdn.ncbi.nlm.nih.gov/pmc/blobs/c929/9374261/1fc273d16754/pntd.0010593.g002.jpg
https://cdn.ncbi.nlm.nih.gov/pmc/blobs/c929/9374261/dc44fdf690c2/pntd.0010593.g003.jpg
https://cdn.ncbi.nlm.nih.gov/pmc/blobs/c929/9374261/c84d77f8cff3/pntd.0010593.g004.jpg
https://cdn.ncbi.nlm.nih.gov/pmc/blobs/c929/9374261/bf135b564e3e/pntd.0010593.g005.jpg
https://cdn.ncbi.nlm.nih.gov/pmc/blobs/c929/9374261/4bda998c18d6/pntd.0010593.g006.jpg
https://cdn.ncbi.nlm.nih.gov/pmc/blobs/c929/9374261/77a7bab57d60/pntd.0010593.g007.jpg
https://cdn.ncbi.nlm.nih.gov/pmc/blobs/c929/9374261/e3c28fd0afd1/pntd.0010593.g008.jpg
https://cdn.ncbi.nlm.nih.gov/pmc/blobs/c929/9374261/7010e49a1418/pntd.0010593.g009.jpg
https://cdn.ncbi.nlm.nih.gov/pmc/blobs/c929/9374261/56f5424c89c0/pntd.0010593.g010.jpg
https://cdn.ncbi.nlm.nih.gov/pmc/blobs/c929/9374261/d21ae3178299/pntd.0010593.g011.jpg
https://cdn.ncbi.nlm.nih.gov/pmc/blobs/c929/9374261/ba87e3babde6/pntd.0010593.g012.jpg
https://cdn.ncbi.nlm.nih.gov/pmc/blobs/c929/9374261/3f18b8dc184c/pntd.0010593.g013.jpg
https://cdn.ncbi.nlm.nih.gov/pmc/blobs/c929/9374261/39f8e8998ff7/pntd.0010593.g014.jpg
https://cdn.ncbi.nlm.nih.gov/pmc/blobs/c929/9374261/3e366b233273/pntd.0010593.g015.jpg

相似文献

1
Egg excretion indicators for the measurement of soil-transmitted helminth response to treatment.用于测量土壤传播性蠕虫治疗反应的卵排泄指标。
PLoS Negl Trop Dis. 2022 Aug 2;16(8):e0010593. doi: 10.1371/journal.pntd.0010593. eCollection 2022 Aug.
2
Efficacy of current drugs against soil-transmitted helminth infections: systematic review and meta-analysis.现有药物治疗土源性蠕虫感染的疗效:系统评价与荟萃分析。
JAMA. 2008 Apr 23;299(16):1937-48. doi: 10.1001/jama.299.16.1937.
3
Efficacy and safety of albendazole plus ivermectin, albendazole plus mebendazole, albendazole plus oxantel pamoate, and mebendazole alone against Trichuris trichiura and concomitant soil-transmitted helminth infections: a four-arm, randomised controlled trial.阿苯达唑联合伊维菌素、阿苯达唑联合甲苯达唑、阿苯达唑联合奥苯达唑、甲苯达唑单独治疗鞭虫和同时感染的土壤传播性蠕虫感染的疗效和安全性:一项四臂随机对照试验。
Lancet Infect Dis. 2015 Mar;15(3):277-84. doi: 10.1016/S1473-3099(14)71050-3. Epub 2015 Jan 12.
4
Efficacy and reinfection with soil-transmitted helminths 18-weeks post-treatment with albendazole-ivermectin, albendazole-mebendazole, albendazole-oxantel pamoate and mebendazole.阿苯达唑-伊维菌素、阿苯达唑-甲苯达唑、阿苯达唑-奥克太尔及甲苯达唑治疗土壤传播蠕虫18周后的疗效及再感染情况
Parasit Vectors. 2016 Mar 2;9:123. doi: 10.1186/s13071-016-1406-8.
5
Serious limitations of the current strategy to control Soil-Transmitted Helminths and added value of Ivermectin/Albendazole mass administration: A population-based observational study in Cameroon.控制土壤传播蠕虫现行策略的严重局限性和伊维菌素/阿苯达唑大规模给药的附加值:喀麦隆的一项基于人群的观察性研究。
PLoS Negl Trop Dis. 2020 Nov 3;14(11):e0008794. doi: 10.1371/journal.pntd.0008794. eCollection 2020 Nov.
6
Efficacy of single-dose and triple-dose albendazole and mebendazole against soil-transmitted helminths and Taenia spp.: a randomized controlled trial.单次和三倍剂量阿苯达唑和甲苯达唑治疗土壤传播性蠕虫和带绦虫的疗效:一项随机对照试验。
PLoS One. 2011;6(9):e25003. doi: 10.1371/journal.pone.0025003. Epub 2011 Sep 27.
7
Oxantel pamoate-albendazole for Trichuris trichiura infection.奥硝唑-阿苯达唑复方制剂治疗鞭虫感染。
N Engl J Med. 2014 Feb 13;370(7):610-20. doi: 10.1056/NEJMoa1301956.
8
Egg excretion patterns of soil-transmitted helminth infections in humans following albendazole-ivermectin and albendazole treatment.阿苯达唑-伊维菌素和阿苯达唑治疗后人体土壤传播性蠕虫感染的虫卵排出模式。
PLoS Negl Trop Dis. 2024 Mar 22;18(3):e0012073. doi: 10.1371/journal.pntd.0012073. eCollection 2024 Mar.
9
Efficacy and tolerability of triple drug therapy with albendazole, pyrantel pamoate, and oxantel pamoate compared with albendazole plus oxantel pamoate, pyrantel pamoate plus oxantel pamoate, and mebendazole plus pyrantel pamoate and oxantel pamoate against hookworm infections in school-aged children in Laos: a randomised, single-blind trial.与阿苯达唑加奥硝唑、噻嘧啶加奥硝唑以及甲苯达唑加噻嘧啶加奥硝唑相比,阿苯达唑、噻嘧啶和奥硝唑三联疗法治疗老挝学龄儿童钩虫感染的疗效和耐受性:一项随机、单盲试验。
Lancet Infect Dis. 2018 Jul;18(7):729-737. doi: 10.1016/S1473-3099(18)30220-2. Epub 2018 Apr 16.
10
Efficacy of Albendazole and Mebendazole Against Soil Transmitted Infections among Pre-School and School Age Children: A Systematic Review and Meta-Analysis.阿苯达唑和甲苯达唑治疗学龄前和学龄儿童土源性线虫感染的疗效:系统评价和荟萃分析。
J Epidemiol Glob Health. 2024 Sep;14(3):884-904. doi: 10.1007/s44197-024-00231-7. Epub 2024 May 2.

引用本文的文献

1
Efficacy of Single-Dose Albendazole and Albendazole Plus Ivermectin for Soil-Transmitted Helminth Infection in Children in the Peruvian Amazon.单次阿苯达唑和阿苯达唑联合伊维菌素治疗秘鲁亚马逊地区儿童土壤传播性蠕虫感染的疗效。
Am J Trop Med Hyg. 2024 May 28;111(1):80-88. doi: 10.4269/ajtmh.23-0497. Print 2024 Jul 3.
2
Getting around the roundworms: Identifying knowledge gaps and research priorities for the ascarids.绕过蛔虫:确定蛔虫的知识空白和研究重点。
Adv Parasitol. 2024;123:51-123. doi: 10.1016/bs.apar.2023.12.002. Epub 2024 Feb 20.
3
Anthelmintic resistance in soil-transmitted helminths: One-Health considerations.

本文引用的文献

1
Efficacy and safety of co-administered ivermectin and albendazole in school-aged children and adults infected with Trichuris trichiura in Côte d'Ivoire, Laos, and Pemba Island, Tanzania: a double-blind, parallel-group, phase 3, randomised controlled trial.在科特迪瓦、老挝和坦桑尼亚奔巴岛感染鞭虫的学龄儿童和成年人体内联合使用伊维菌素和阿苯达唑的疗效和安全性:一项双盲、平行组、3 期、随机对照试验。
Lancet Infect Dis. 2022 Jan;22(1):123-135. doi: 10.1016/S1473-3099(21)00421-7. Epub 2021 Nov 29.
2
One mean to rule them all? The arithmetic mean based egg reduction rate can be misleading when estimating anthelminthic drug efficacy in clinical trials.一统江湖?在临床试验中评估驱虫药物疗效时,基于算数平均值的减卵率可能具有误导性。
PLoS Negl Trop Dis. 2020 Apr 8;14(4):e0008185. doi: 10.1371/journal.pntd.0008185. eCollection 2020 Apr.
3
土壤传播性蠕虫驱虫剂耐药性:One-Health 考虑因素。
Parasitol Res. 2023 Dec 20;123(1):62. doi: 10.1007/s00436-023-08088-8.
Drug Combinations Against Soil-Transmitted Helminth Infections.抗土壤传播性蠕虫感染的药物组合。
Adv Parasitol. 2019;103:91-115. doi: 10.1016/bs.apar.2018.08.002. Epub 2018 Sep 7.
4
Efficacy and safety of co-administered ivermectin plus albendazole for treating soil-transmitted helminths: A systematic review, meta-analysis and individual patient data analysis.伊维菌素联合阿苯达唑治疗土壤传播性蠕虫的疗效和安全性:系统评价、荟萃分析和个体患者数据分析。
PLoS Negl Trop Dis. 2018 Apr 27;12(4):e0006458. doi: 10.1371/journal.pntd.0006458. eCollection 2018 Apr.
5
The optimal timing of post-treatment sampling for the assessment of anthelminthic drug efficacy against Ascaris infections in humans.评估抗蠕虫药物治疗人类蛔虫感染疗效时的最佳治疗后采样时机。
Int J Parasitol Drugs Drug Resist. 2018 Apr;8(1):67-69. doi: 10.1016/j.ijpddr.2017.12.004. Epub 2018 Jan 13.
6
Efficacy of recommended drugs against soil transmitted helminths: systematic review and network meta-analysis.推荐药物治疗土壤传播蠕虫的疗效:系统评价与网状Meta分析
BMJ. 2017 Sep 25;358:j4307. doi: 10.1136/bmj.j4307.
7
Comparison of individual and pooled stool samples for the assessment of intensity of Schistosoma mansoni and soil-transmitted helminth infections using the Kato-Katz technique.使用改良加藤厚涂片法比较个体粪便样本和混合粪便样本以评估曼氏血吸虫及土源性蠕虫感染强度
Parasit Vectors. 2015 Sep 24;8:489. doi: 10.1186/s13071-015-1101-1.
8
Individual patient data network meta-analysis of mortality effects of implantable cardiac devices.植入式心脏设备死亡率影响的个体患者数据网络荟萃分析。
Heart. 2015 Nov;101(22):1800-6. doi: 10.1136/heartjnl-2015-307634. Epub 2015 Aug 12.
9
Toward Measuring Schistosoma Response to Praziquantel Treatment with Appropriate Descriptors of Egg Excretion.采用合适的虫卵排泄指标来衡量血吸虫对吡喹酮治疗的反应。
PLoS Negl Trop Dis. 2015 Jun 18;9(6):e0003821. doi: 10.1371/journal.pntd.0003821. eCollection 2015.
10
Efficacy and safety of albendazole plus ivermectin, albendazole plus mebendazole, albendazole plus oxantel pamoate, and mebendazole alone against Trichuris trichiura and concomitant soil-transmitted helminth infections: a four-arm, randomised controlled trial.阿苯达唑联合伊维菌素、阿苯达唑联合甲苯达唑、阿苯达唑联合奥苯达唑、甲苯达唑单独治疗鞭虫和同时感染的土壤传播性蠕虫感染的疗效和安全性:一项四臂随机对照试验。
Lancet Infect Dis. 2015 Mar;15(3):277-84. doi: 10.1016/S1473-3099(14)71050-3. Epub 2015 Jan 12.