• 文献检索
  • 文档翻译
  • 深度研究
  • 学术资讯
  • Suppr Zotero 插件Zotero 插件
  • 邀请有礼
  • 套餐&价格
  • 历史记录
应用&插件
Suppr Zotero 插件Zotero 插件浏览器插件Mac 客户端Windows 客户端微信小程序
定价
高级版会员购买积分包购买API积分包
服务
文献检索文档翻译深度研究API 文档MCP 服务
关于我们
关于 Suppr公司介绍联系我们用户协议隐私条款
关注我们

Suppr 超能文献

核心技术专利:CN118964589B侵权必究
粤ICP备2023148730 号-1Suppr @ 2026

文献检索

告别复杂PubMed语法,用中文像聊天一样搜索,搜遍4000万医学文献。AI智能推荐,让科研检索更轻松。

立即免费搜索

文件翻译

保留排版,准确专业,支持PDF/Word/PPT等文件格式,支持 12+语言互译。

免费翻译文档

深度研究

AI帮你快速写综述,25分钟生成高质量综述,智能提取关键信息,辅助科研写作。

立即免费体验

肺动脉分叉角减小:慢性肺血栓栓塞症的一种新的影像学诊断标准。

Decreased Pulmonary Artery Bifurcation Angle: A Novel Imaging Criterion for the Diagnosis of Chronic Pulmonary Thromboembolism.

机构信息

Department of Radiology, School of Medicine, Mashhad University of Medical Sciences, Mashhad, Iran.

Department of Emergency Medicine, School of Medicine, Mashhad University of Medical Sciences, Mashhad, Iran.

出版信息

Iran J Med Sci. 2022 Jul;47(4):360-366. doi: 10.30476/IJMS.2021.88058.1926.

DOI:10.30476/IJMS.2021.88058.1926
PMID:35919084
原文链接:https://pmc.ncbi.nlm.nih.gov/articles/PMC9339105/
Abstract

BACKGROUND

Chronic pulmonary thromboembolism (CTEPH) is an unusual complication of acute pulmonary embolism (PE), which is now considered to be treatable. In modern multi-detector scanners, a detailed evaluation of pulmonary artery geometry is currently possible. This study aimed to evaluate the changes in pulmonary artery bifurcation angle (PABA) in the follow-up computed tomography angiography (CTA) of patients with acute PE.

METHODS

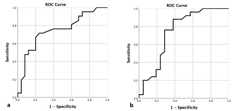
In this cross-sectional study, the records of two tertiary-level academic hospitals were gathered from 2012 to 2019. Pulmonary artery (PA) bifurcation angle and diameter were measured. Chi square test, independent samples test, Mann-Whitney, and Pearson's tests were employed to compare data. To evaluate the cut-off point, we utilized receiver operating characteristic (ROC) curve analysis. The accuracy, sensitivity, and specificity of pulmonary artery bifurcation angle changes were calculated. A P value <0.05 was considered to be significant.

RESULTS

Forty-six patients were included in the study. No significant differences were found between patients with and without CTEPH, and PABA in the dimeters of PA trunk, right PA, and left PA in the first CTA images (P values of 0.151, 0.142, 0.891, and 0.483, respectively), while in the secondary CTA, the mean PABA was significantly smaller in patients with CTEPH (P=0.011). In the receiver operating characteristic (ROC) analysis, delta angle revealed an area under the curve of 0.745 and an optimal cutoff of 0, leading to a sensitivity of 64%, specificity of 87%, and accuracy of 76% for diagnosing CTEPH.

CONCLUSION

We showed a significant decrease in PABA in patients developing CTEPH. This parameter can be easily measured in lung CTA.

摘要

背景

慢性血栓栓塞性肺动脉高压(CTEPH)是急性肺栓塞(PE)的一种罕见并发症,目前认为该病是可治疗的。在现代多排螺旋 CT 扫描仪中,目前可以对肺动脉几何形状进行详细评估。本研究旨在评估急性 PE 患者随访 CT 肺动脉造影(CTA)中肺动脉分叉角(PABA)的变化。

方法

在这项横断面研究中,我们收集了 2012 年至 2019 年 2 家三级学术医院的记录。测量肺动脉(PA)分叉角和直径。采用卡方检验、独立样本 t 检验、Mann-Whitney 检验和 Pearson 检验比较数据。为了评估截断点,我们利用了受试者工作特征(ROC)曲线分析。计算了肺动脉分叉角变化的准确性、敏感性和特异性。P 值<0.05 为差异有统计学意义。

结果

共纳入 46 例患者。在第一次 CTA 图像中,有 CTEPH 与无 CTEPH 的患者之间,以及 PA 主干、右肺动脉和左肺动脉的直径之间的 PABA 无显著差异(P 值分别为 0.151、0.142、0.891 和 0.483),而在二次 CTA 中,有 CTEPH 的患者的平均 PABA 显著较小(P=0.011)。在 ROC 分析中,delta angle 显示曲线下面积为 0.745,最佳截断值为 0,诊断 CTEPH 的敏感性为 64%,特异性为 87%,准确性为 76%。

结论

我们发现发生 CTEPH 的患者的 PABA 显著降低。该参数可在肺部 CTA 中轻松测量。

https://cdn.ncbi.nlm.nih.gov/pmc/blobs/05b3/9339105/1d19102818a3/IJMS-47-360-g003.jpg
https://cdn.ncbi.nlm.nih.gov/pmc/blobs/05b3/9339105/eeecb40224cf/IJMS-47-360-g001.jpg
https://cdn.ncbi.nlm.nih.gov/pmc/blobs/05b3/9339105/9415b90d1d2a/IJMS-47-360-g002.jpg
https://cdn.ncbi.nlm.nih.gov/pmc/blobs/05b3/9339105/1d19102818a3/IJMS-47-360-g003.jpg
https://cdn.ncbi.nlm.nih.gov/pmc/blobs/05b3/9339105/eeecb40224cf/IJMS-47-360-g001.jpg
https://cdn.ncbi.nlm.nih.gov/pmc/blobs/05b3/9339105/9415b90d1d2a/IJMS-47-360-g002.jpg
https://cdn.ncbi.nlm.nih.gov/pmc/blobs/05b3/9339105/1d19102818a3/IJMS-47-360-g003.jpg

相似文献

1
Decreased Pulmonary Artery Bifurcation Angle: A Novel Imaging Criterion for the Diagnosis of Chronic Pulmonary Thromboembolism.肺动脉分叉角减小:慢性肺血栓栓塞症的一种新的影像学诊断标准。
Iran J Med Sci. 2022 Jul;47(4):360-366. doi: 10.30476/IJMS.2021.88058.1926.
2
A septal angle measured on computed tomographic pulmonary angiography can noninvasively estimate pulmonary vascular resistance in patients with chronic thromboembolic pulmonary hypertension.CT 肺动脉造影测量的室间隔角可无创性估计慢性血栓栓塞性肺动脉高压患者的肺血管阻力。
J Thorac Imaging. 2012 Sep;27(5):325-30. doi: 10.1097/RTI.0b013e3182541142.
3
Are pulmonary artery pulsatility indexes able to differentiate chronic pulmonary thromboembolism from pulmonary arterial hypertension? An echocardiographic and catheterization study.肺动脉搏动指数能否区分慢性肺血栓栓塞症与肺动脉高压?一项超声心动图和心导管检查研究。
Heart Vessels. 2011 Mar;26(2):176-82. doi: 10.1007/s00380-010-0044-x. Epub 2010 Oct 16.
4
Cardiovascular parameters of computed tomographic pulmonary angiography to assess pulmonary vascular resistance in patients with chronic thromboembolic pulmonary hypertension.计算机断层扫描肺动脉造影的心血管参数评估慢性血栓栓塞性肺动脉高压患者的肺血管阻力。
Int J Cardiol. 2013 Apr 15;164(3):295-300. doi: 10.1016/j.ijcard.2011.07.019. Epub 2011 Aug 5.
5
Prediction of chronic thromboembolic pulmonary hypertension with standardised evaluation of initial computed tomography pulmonary angiography performed for suspected acute pulmonary embolism.采用标准化评估方法对疑似急性肺栓塞行初始 CT 肺动脉造影预测慢性血栓栓塞性肺动脉高压。
Eur Radiol. 2022 Apr;32(4):2178-2187. doi: 10.1007/s00330-021-08364-0. Epub 2021 Dec 2.
6
Unenhanced multidetector computed tomography findings in acute central pulmonary embolism.急性中央型肺栓塞的多排 CT 平扫表现。
BMC Med Imaging. 2019 Aug 14;19(1):65. doi: 10.1186/s12880-019-0364-y.
7
[A comparison of ventilation/perfusion single photon emission CT and CT pulmonary angiography for diagnosis of pulmonary embolism].通气/灌注单光子发射计算机断层扫描与CT肺动脉造影诊断肺栓塞的比较
Zhonghua Jie He He Hu Xi Za Zhi. 2013 Mar;36(3):177-81.
8
Usefulness of standard computed tomography pulmonary angiography performed for acute pulmonary embolism for identification of chronic thromboembolic pulmonary hypertension: results of the InShape III study.标准 CT 肺动脉造影在急性肺栓塞中对慢性血栓栓塞性肺动脉高压的诊断价值:InShape III 研究结果。
J Heart Lung Transplant. 2019 Jul;38(7):731-738. doi: 10.1016/j.healun.2019.03.003. Epub 2019 Mar 15.
9
Computed Tomographic Pulmonary Angiographic Findings Can Predict Short-Term Mortality of Saddle Pulmonary Embolism: A Retrospective Multicenter Study.计算机断层扫描肺动脉造影结果可预测马鞍形肺栓塞的短期死亡率:一项回顾性多中心研究
J Comput Assist Tomogr. 2016 May-Jun;40(3):327-34. doi: 10.1097/RCT.0000000000000373.
10
Estimation of right ventricular dysfunction by computed tomography pulmonary angiography: a valuable adjunct for evaluating the severity of acute pulmonary embolism.通过计算机断层扫描肺动脉造影评估右心室功能障碍:评估急性肺栓塞严重程度的一项有价值的辅助手段。
J Thromb Thrombolysis. 2017 Feb;43(2):271-278. doi: 10.1007/s11239-016-1438-0.

引用本文的文献

1
The Importance of Topographical Recognition of Pulmonary Arteries in Diagnostics and Treatment of CTEPH, Based on an Analysis of a Dissected Case Model-A Pilot Study.基于解剖病例模型分析的肺动脉解剖学识别在慢性血栓栓塞性肺动脉高压诊断和治疗中的重要性——一项初步研究
Diagnostics (Basel). 2024 Aug 3;14(15):1684. doi: 10.3390/diagnostics14151684.
2
[Fluid-solid coupling model and analysis on pulse wave propagation properties of iliac artery].[髂动脉脉搏波传播特性的流固耦合模型及分析]
Sheng Wu Yi Xue Gong Cheng Xue Za Zhi. 2024 Apr 25;41(2):351-359. doi: 10.7507/1001-5515.202306004.

本文引用的文献

1
Matrix metalloproteinase 7 in diagnosis and differentiation of pulmonary arterial hypertension.基质金属蛋白酶7在肺动脉高压诊断与鉴别诊断中的作用
Pulm Circ. 2019 Dec 27;9(4):2045894019895414. doi: 10.1177/2045894019895414. eCollection 2019 Oct-Dec.
2
Risk factors for chronic thromboembolic pulmonary hypertension - Importance of thyroid disease and function.慢性血栓栓塞性肺动脉高压的危险因素——甲状腺疾病及其功能的重要性。
Thromb Res. 2020 Jan;185:20-26. doi: 10.1016/j.thromres.2019.10.025. Epub 2019 Oct 31.
3
Chronic pulmonary embolism: diagnosis.
慢性肺栓塞:诊断
Cardiovasc Diagn Ther. 2018 Jun;8(3):253-271. doi: 10.21037/cdt.2018.01.09.
4
Pulmonary Artery Size in Interstitial Lung Disease and Pulmonary Hypertension: Association with Interstitial Lung Disease Severity and Diagnostic Utility.间质性肺疾病和肺动脉高压中的肺动脉大小:与间质性肺疾病严重程度及诊断效用的关联
Front Cardiovasc Med. 2018 Jun 8;5:53. doi: 10.3389/fcvm.2018.00053. eCollection 2018.
5
Recent Progress in Research on the Pathogenesis of Pulmonary Thromboembolism: An Old Story with New Perspectives.肺血栓栓塞症发病机制的研究新进展:一个有新视角的老话题
Biomed Res Int. 2017;2017:6516791. doi: 10.1155/2017/6516791. Epub 2017 Apr 6.
6
The role of mononuclear cell tissue factor and inflammatory cytokines in patients with chronic thromboembolic pulmonary hypertension.单核细胞组织因子和炎性细胞因子在慢性血栓栓塞性肺动脉高压患者中的作用
J Thromb Thrombolysis. 2016 Jul;42(1):38-45. doi: 10.1007/s11239-015-1323-2.
7
Association between micro particle-tissue factor activity, factor VIII activity and recurrent VTE in patients with acute pulmonary embolism.急性肺栓塞患者微粒组织因子活性、凝血因子 VIII 活性与复发性静脉血栓栓塞之间的关联
J Thromb Thrombolysis. 2015 Oct;40(3):323-30. doi: 10.1007/s11239-015-1180-z.
8
CT-base pulmonary artery measurement in the detection of pulmonary hypertension: a meta-analysis and systematic review.基于CT的肺动脉测量在肺动脉高压检测中的应用:一项荟萃分析与系统评价
Medicine (Baltimore). 2014 Dec;93(27):e256. doi: 10.1097/MD.0000000000000256.
9
Outcome of pulmonary endarterectomy in symptomatic chronic thromboembolic disease.症状性慢性血栓栓塞性疾病肺血管内膜切除术的结果。
Eur Respir J. 2014 Dec;44(6):1635-45. doi: 10.1183/09031936.00050114. Epub 2014 Sep 18.
10
Expression of tissue factor in rabbit pulmonary artery in an acute pulmonary embolism model.组织因子在急性肺栓塞模型兔肺动脉中的表达。
World J Emerg Med. 2014;5(2):144-7. doi: 10.5847/wjem.j.issn.1920-8642.2014.02.012.