Suppr超能文献

通过核磁共振光谱法检测在谷胱甘肽与α-乙基马来酰亚胺反应中的氢-氘加成和交换

Hydrogen-Deuterium Addition and Exchange in -Ethylmaleimide Reaction with Glutathione Detected by NMR Spectroscopy.

作者信息

Nagana Gowda G A, Pascua Vadim, Neto Fausto Carnevale, Raftery Daniel

机构信息

Northwest Metabolomics Research Center, University of Washington, Seattle, Washington 98109, United States.

Mitochondria Metabolism Center, Anesthesiology and Pain Medicine, University of Washington, Seattle, Washington 98109, United States.

出版信息

ACS Omega. 2022 Jul 18;7(30):26928-26935. doi: 10.1021/acsomega.2c03482. eCollection 2022 Aug 2.

Abstract

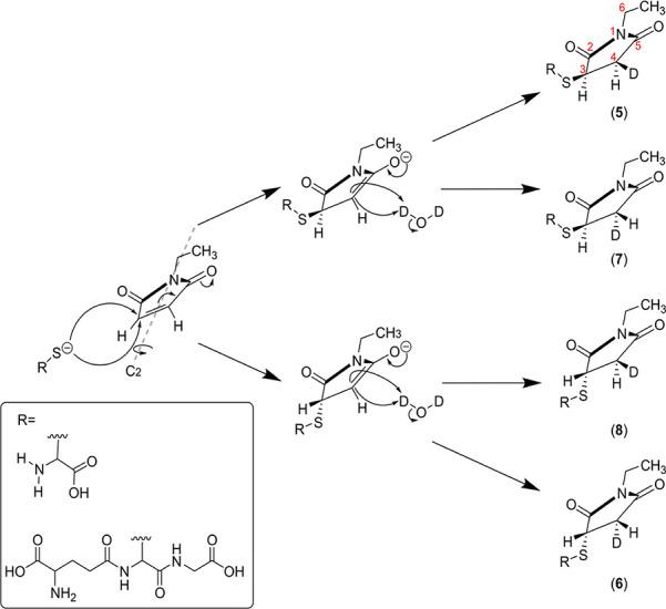
Glutathione (GSH) is an important and ubiquitous thiol compound abundantly present in virtually every living cell. It is a powerful antioxidant critically required to protect cells from oxidative damage and free radical injury. Its quantification in analysis remains a major challenge because it spontaneously oxidizes to form glutathione disulfide. -Ethylmaleimide (NEM) is a well-known Michael acceptor, which reacts rapidly and irreversibly with thiol and prevents disulfide bond formation. Based on thiol conjugation to NEM, recently, the concentration of GSH was determined in human blood using NMR spectroscopy [, 2021, 93(44): 14844-14850]. It was found that hydrogen-deuterium addition and exchange occur during the thiol-maleimide reaction as well as NMR analysis, generating a series of poorly explored diastereomers/isotopomers. Here, we establish a general NMR approach to identify the thiosuccinimide diastereomers/isotopomers derived from the thiol-maleimide reaction. The thiol-Michael addition reaction was conducted for GSH and another thiol compound, cysteine, separately, using DO and HO. The conjugates were characterized by H/C 1D/2D NMR under different solvent, buffer, and pH conditions. The Michael addition combined with the H/D exchange formed twelve unique diastereomers/isotopomers. NMR measurements allowed the distinct assignment of all structures in solutions and quantification of H/D addition and exchange. Interestingly, the deuterium exchange rate was dependent on structure, pH, and buffer. The elucidation of the thiol-maleimide reaction and H/D exchange mechanism can potentially impact areas including metabolomics, small molecule synthesis, and bioconjugation chemistry.

摘要

谷胱甘肽(GSH)是一种重要且普遍存在的硫醇化合物,几乎在每个活细胞中都大量存在。它是一种强大的抗氧化剂,对于保护细胞免受氧化损伤和自由基伤害至关重要。在分析中对其进行定量仍然是一项重大挑战,因为它会自发氧化形成谷胱甘肽二硫化物。N - 乙基马来酰亚胺(NEM)是一种著名的迈克尔受体,它能与硫醇迅速且不可逆地反应,并防止二硫键形成。基于硫醇与NEM的共轭作用,最近利用核磁共振光谱法测定了人体血液中GSH的浓度[,2021,93(44): 14844 - 14850]。研究发现,在硫醇 - 马来酰亚胺反应以及核磁共振分析过程中会发生氢 - 氘的加成和交换,产生一系列尚未充分研究的非对映异构体/同位素异构体。在此,我们建立了一种通用的核磁共振方法来鉴定源自硫醇 - 马来酰亚胺反应的硫代琥珀酰亚胺非对映异构体/同位素异构体。分别使用D₂O和H₂O对GSH和另一种硫醇化合物半胱氨酸进行硫醇 - 迈克尔加成反应。在不同的溶剂、缓冲液和pH条件下,通过¹H/¹³C 1D/2D核磁共振对共轭物进行表征。迈克尔加成反应与H/D交换相结合形成了十二种独特的非对映异构体/同位素异构体。核磁共振测量能够对溶液中的所有结构进行明确归属,并对H/D加成和交换进行定量。有趣的是,氘交换速率取决于结构、pH和缓冲液。对硫醇 - 马来酰亚胺反应以及H/D交换机制的阐明可能会对包括代谢组学、小分子合成和生物共轭化学等领域产生潜在影响。

https://cdn.ncbi.nlm.nih.gov/pmc/blobs/2214/9352320/e652802f224d/ao2c03482_0002.jpg

文献检索

告别复杂PubMed语法,用中文像聊天一样搜索,搜遍4000万医学文献。AI智能推荐,让科研检索更轻松。

立即免费搜索

文件翻译

保留排版,准确专业,支持PDF/Word/PPT等文件格式,支持 12+语言互译。

免费翻译文档

深度研究

AI帮你快速写综述,25分钟生成高质量综述,智能提取关键信息,辅助科研写作。

立即免费体验