Suppr超能文献

骨骼肌指数对氟尿嘧啶药代动力学和毒性的影响。

Influence of the skeletal muscle index on pharmacokinetics and toxicity of fluorouracil.

机构信息

Department of Clinical Pharmacy, Institute of Pharmacy, University of Bonn, Bonn, Germany.

Onkologie UnterEms, Leer, Germany.

出版信息

Cancer Med. 2023 Feb;12(3):2580-2589. doi: 10.1002/cam4.5118. Epub 2022 Aug 8.

Abstract

BACKGROUND

The body composition of patients has been associated with tolerability and effectiveness of anticancer therapy. This study aimed to assess the influence of the skeletal muscle index (SMI) on the pharmacokinetics and toxicity of fluorouracil.

METHODS

Patients treated in an oncological practice with fluorouracil-based chemotherapy and undergoing therapeutic drug monitoring were retrospectively investigated. Computed tomography images were analyzed to measure abdominal skeletal muscle areas in Hounsfield units for the psoas major muscle, back and total skeletal muscle to determine the SMI. For the latter, an automated segmentation method was used additionally. SMI measures were tested as covariates on fluorouracil clearance in a population pharmacokinetic model. Furthermore, regression analyses were performed to analyze the influence of SMI measures on the probability of clinically relevant adverse events (CTCAE grades ≥ 2).

RESULTS

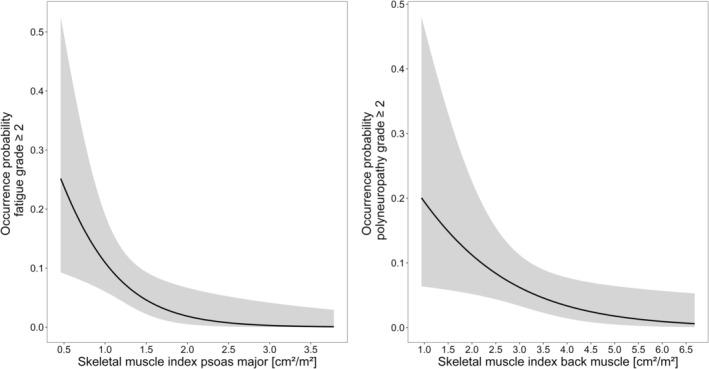
Fluorouracil plasma concentrations of 111 patients were available. Covariate analyses showed significant improvements of the model fit by all SMI measures. However, interindividual variability of fluorouracil clearance was only slightly reduced, whereas the SMI of the back muscle showed the largest reduction (-1.1 percentage points). Lower SMI values of the back muscle increased the probability for polyneuropathy and lower SMI of the psoas increased the probability for fatigue.

CONCLUSIONS

Our results suggest that pharmacokinetics and toxicity of fluorouracil may be associated with specific SMI measures which deserve further investigation.

摘要

背景

患者的身体成分与癌症治疗的耐受性和有效性有关。本研究旨在评估骨骼肌指数(SMI)对氟尿嘧啶药代动力学和毒性的影响。

方法

回顾性调查了在肿瘤学实践中接受氟尿嘧啶为基础的化疗并进行治疗药物监测的患者。分析计算机断层扫描图像,以 Hounsfield 单位测量腹直肌的腹部骨骼肌面积,用于测量腰大肌、背部和总骨骼肌的 SMI。此外,还使用自动分割方法来测量 SMI。将 SMI 测量值作为协变量,在群体药代动力学模型中评估对氟尿嘧啶清除率的影响。此外,还进行了回归分析,以分析 SMI 测量值对临床相关不良事件(CTCAE 分级≥2)概率的影响。

结果

111 名患者的氟尿嘧啶血浆浓度可用。协变量分析表明,所有 SMI 测量值均显著改善了模型拟合度。然而,氟尿嘧啶清除率的个体间变异性仅略有降低,而背部肌肉的 SMI 降低幅度最大(-1.1 个百分点)。较低的背部肌肉 SMI 增加了多发性神经病的概率,较低的腰大肌 SMI 增加了疲劳的概率。

结论

我们的结果表明,氟尿嘧啶的药代动力学和毒性可能与特定的 SMI 测量值相关,这值得进一步研究。

https://cdn.ncbi.nlm.nih.gov/pmc/blobs/41bf/9939223/c9b5d62ba6a1/CAM4-12-2580-g001.jpg

文献AI研究员

20分钟写一篇综述,助力文献阅读效率提升50倍。

立即体验

用中文搜PubMed

大模型驱动的PubMed中文搜索引擎

马上搜索

文档翻译

学术文献翻译模型,支持多种主流文档格式。

立即体验