Suppr超能文献

压力中心参数在疲劳频率相关提升活动中对生物力学风险的评估。

Centre of pressure parameters for the assessment of biomechanical risk in fatiguing frequency-dependent lifting activities.

机构信息

Department of Engineering, Roma Tre University, Roma, Lazio, Italy.

Department of Occupational and Environmental Medicine, Epidemiology and Hygiene, INAIL, Monte Porzio Catone, Rome, Italy.

出版信息

PLoS One. 2022 Aug 10;17(8):e0266731. doi: 10.1371/journal.pone.0266731. eCollection 2022.

Abstract

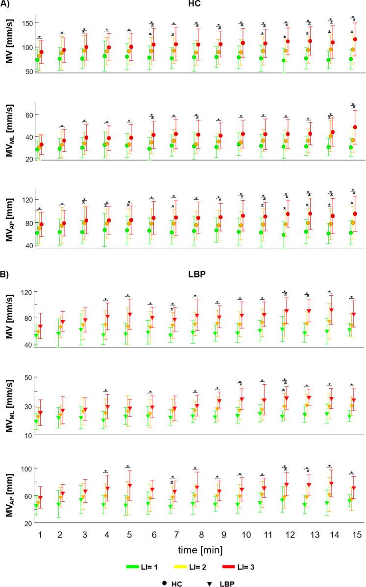
Lifting tasks, among manual material handling activities, are those mainly associated with low back pain. In recent years, several instrumental-based tools were developed to quantitatively assess the biomechanical risk during lifting activities. In this study, parameters related to balance and extracted from the Centre of Pressure (CoP) data series are studied in fatiguing frequency-dependent lifting activities to: i) explore the possibility of classifying people with LBP and asymptomatic people during the execution of task; ii) examine the assessment of the risk levels associated with repetitive lifting activities, iii) enhance current understanding of postural control strategies during lifting tasks. Data were recorded from 14 asymptomatic participants and 7 participants with low back pain. The participants performed lifting tasks in three different lifting conditions (with increasing lifting frequency and risk levels) and kinetic and surface electromyography (sEMG) data were acquired. Kinetic data were used to calculated the CoP and parameters extracted from the latter show a discriminant capacity for the groups and the risk levels. Furthermore, sEMG parameters show a trend compatible with myoelectric manifestations of muscular fatigue. Correlation results between sEMG and CoP velocity parameters revealed a positive correlation between amplitude sEMG parameters and CoP velocity in both groups and a negative correlation between frequency sEMG parameters and CoP velocity. The current findings suggest that it is possible to quantitatively assess the risk level when monitoring fatiguing lifting tasks by using CoP parameters as well as identify different motor strategies between people with and without LBP.

摘要

举升任务是手动搬运活动中主要与下背痛相关的活动。近年来,已经开发出了几种基于仪器的工具,用于定量评估举升活动中的生物力学风险。在这项研究中,研究了与平衡相关的参数,并从压力中心(CoP)数据序列中提取了这些参数,以研究疲劳频率相关的举升活动:i)探索在执行任务时对腰痛和无症状人群进行分类的可能性;ii)检查与重复性举升活动相关的风险水平的评估;iii)增强对举升任务期间姿势控制策略的当前理解。从 14 名无症状参与者和 7 名腰痛参与者中记录了数据。参与者在三种不同的举升条件下(举升频率和风险水平增加)执行举升任务,并采集了动力学和表面肌电图(sEMG)数据。动力学数据用于计算 CoP,从后者提取的参数对组和风险水平具有区分能力。此外,sEMG 参数显示出与肌肉疲劳的肌电表现一致的趋势。sEMG 和 CoP 速度参数之间的相关性结果表明,在两组中,振幅 sEMG 参数与 CoP 速度之间存在正相关,而频率 sEMG 参数与 CoP 速度之间存在负相关。目前的研究结果表明,通过使用 CoP 参数定量评估疲劳性举升任务的风险水平,并识别有和无腰痛人群之间的不同运动策略是可能的。

https://cdn.ncbi.nlm.nih.gov/pmc/blobs/8de1/9365398/75e352ec2760/pone.0266731.g001.jpg

文献检索

告别复杂PubMed语法,用中文像聊天一样搜索,搜遍4000万医学文献。AI智能推荐,让科研检索更轻松。

立即免费搜索

文件翻译

保留排版,准确专业,支持PDF/Word/PPT等文件格式,支持 12+语言互译。

免费翻译文档

深度研究

AI帮你快速写综述,25分钟生成高质量综述,智能提取关键信息,辅助科研写作。

立即免费体验