• 文献检索
  • 文档翻译
  • 深度研究
  • 学术资讯
  • Suppr Zotero 插件Zotero 插件
  • 邀请有礼
  • 套餐&价格
  • 历史记录
应用&插件
Suppr Zotero 插件Zotero 插件浏览器插件Mac 客户端Windows 客户端微信小程序
定价
高级版会员购买积分包购买API积分包
服务
文献检索文档翻译深度研究API 文档MCP 服务
关于我们
关于 Suppr公司介绍联系我们用户协议隐私条款
关注我们

Suppr 超能文献

核心技术专利:CN118964589B侵权必究
粤ICP备2023148730 号-1Suppr @ 2026

文献检索

告别复杂PubMed语法,用中文像聊天一样搜索,搜遍4000万医学文献。AI智能推荐,让科研检索更轻松。

立即免费搜索

文件翻译

保留排版,准确专业,支持PDF/Word/PPT等文件格式,支持 12+语言互译。

免费翻译文档

深度研究

AI帮你快速写综述,25分钟生成高质量综述,智能提取关键信息,辅助科研写作。

立即免费体验

纳米零价铁和氧化锌在沉积物中抗生素抗性基因(ARGs)传播中的双重作用。

The Dual Roles of Nano Zero-Valent Iron and Zinc Oxide in Antibiotics Resistance Genes (ARGs) Spread in Sediment.

机构信息

College of Environmental Sciences, Sichuan Agricultural University, Chengdu 611130, China.

Environmental Science and Engineering, Guangdong Technion-Israel Institute of Technology, 241 Daxue Road, Shantou 515063, China.

出版信息

Int J Environ Res Public Health. 2022 Jul 31;19(15):9405. doi: 10.3390/ijerph19159405.

DOI:10.3390/ijerph19159405
PMID:35954758
原文链接:https://pmc.ncbi.nlm.nih.gov/articles/PMC9368363/
Abstract

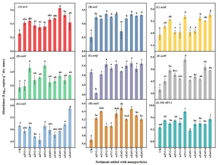
Nanoparticles (NPs) are widely used and ubiquitous in the environment, but the consequences of their release into the environment on antibiotics resistance genes (ARGs), microbial abundance, and community, are largely unknown. Therefore, this study examined the effect of nano zero-valent iron (nZVI) and zinc oxide (nZnO) on tetracycline resistance genes (tet-ARGs) and class 1 integron () in sediment under laboratory incubation. The coexistence of NPs and tetracycline (TC) on tet-ARGs/ was also investigated. It was found that nZVI and nZnO promoted tet-ARGs/ abundance in sediment without TC but reduced the inducing effect of TC on tet-ARGs/ in sediment overlaid with TC solution. Without TC, nZVI, , and the bacterial community could directly promote tet-ARGs spread in nZVI sediment, while and bacterial abundance were the most directly important reasons for tet-ARGs spread in nZnO sediment. With TC, nZVI and bacterial community could reduce tet-ARGs abundance in nZVI sediment, while nZnO and bacterial community could directly promote tet-ARGs in nZnO sediment. Finally, these findings provided valuable information for understanding the role of NPs in promoting and reducing ARGs in the environment.

摘要

纳米颗粒(NPs)在环境中广泛应用且无处不在,但它们释放到环境中对抗生素抗性基因(ARGs)、微生物丰度和群落的影响在很大程度上是未知的。因此,本研究在实验室孵育条件下,考察了纳米零价铁(nZVI)和氧化锌(nZnO)对沉积物中四环素抗性基因(tet-ARGs)和类 1 整合子()的影响。还研究了 NPs 和四环素(TC)共存对 tet-ARGs/的影响。结果发现,nZVI 和 nZnO 促进了 TC 不存在时沉积物中 tet-ARGs/的丰度,但降低了 TC 存在时 TC 对沉积物中 tet-ARGs/的诱导作用。在没有 TC 的情况下,nZVI、、和细菌群落可以直接促进 tet-ARGs 在 nZVI 沉积物中的传播,而 nZnO 沉积物中 tet-ARGs 传播的最直接重要原因是 和细菌丰度。有 TC 存在时,nZVI 和细菌群落可以降低 nZVI 沉积物中 tet-ARGs 的丰度,而 nZnO 和细菌群落可以直接促进 nZnO 沉积物中 tet-ARGs 的传播。最后,这些发现为理解 NPs 在促进和减少环境中 ARGs 方面的作用提供了有价值的信息。

https://cdn.ncbi.nlm.nih.gov/pmc/blobs/8a26/9368363/8ad03782d40f/ijerph-19-09405-g005.jpg
https://cdn.ncbi.nlm.nih.gov/pmc/blobs/8a26/9368363/40dd6364dce7/ijerph-19-09405-g001.jpg
https://cdn.ncbi.nlm.nih.gov/pmc/blobs/8a26/9368363/d98e2e4559a7/ijerph-19-09405-g002.jpg
https://cdn.ncbi.nlm.nih.gov/pmc/blobs/8a26/9368363/226e49ba3f94/ijerph-19-09405-g003a.jpg
https://cdn.ncbi.nlm.nih.gov/pmc/blobs/8a26/9368363/0ec96fa8e0a0/ijerph-19-09405-g004a.jpg
https://cdn.ncbi.nlm.nih.gov/pmc/blobs/8a26/9368363/8ad03782d40f/ijerph-19-09405-g005.jpg
https://cdn.ncbi.nlm.nih.gov/pmc/blobs/8a26/9368363/40dd6364dce7/ijerph-19-09405-g001.jpg
https://cdn.ncbi.nlm.nih.gov/pmc/blobs/8a26/9368363/d98e2e4559a7/ijerph-19-09405-g002.jpg
https://cdn.ncbi.nlm.nih.gov/pmc/blobs/8a26/9368363/226e49ba3f94/ijerph-19-09405-g003a.jpg
https://cdn.ncbi.nlm.nih.gov/pmc/blobs/8a26/9368363/0ec96fa8e0a0/ijerph-19-09405-g004a.jpg
https://cdn.ncbi.nlm.nih.gov/pmc/blobs/8a26/9368363/8ad03782d40f/ijerph-19-09405-g005.jpg

相似文献

1
The Dual Roles of Nano Zero-Valent Iron and Zinc Oxide in Antibiotics Resistance Genes (ARGs) Spread in Sediment.纳米零价铁和氧化锌在沉积物中抗生素抗性基因(ARGs)传播中的双重作用。
Int J Environ Res Public Health. 2022 Jul 31;19(15):9405. doi: 10.3390/ijerph19159405.
2
[Effect of Zero Valent Iron on the Horizontal Gene Transfer of Tetracycline Resistance Genes During Anaerobic Sludge Digestion Process].[零价铁对厌氧污泥消化过程中四环素抗性基因水平转移的影响]
Huan Jing Ke Xue. 2018 Apr 8;39(4):1748-1755. doi: 10.13227/j.hjkx.201708054.
3
Nanoscale zero-valent iron inhibits the horizontal gene transfer of antibiotic resistance genes in chicken manure compost.纳米零价铁抑制鸡粪堆肥中抗生素抗性基因的水平基因转移。
J Hazard Mater. 2022 Jan 15;422:126883. doi: 10.1016/j.jhazmat.2021.126883. Epub 2021 Aug 11.
4
Long-term impact of a tetracycline concentration gradient on the bacterial resistance in anaerobic-aerobic sequential bioreactors.四环素浓度梯度对厌氧-好氧序批式生物反应器中细菌抗性的长期影响。
Chemosphere. 2018 Aug;205:308-316. doi: 10.1016/j.chemosphere.2018.04.135. Epub 2018 Apr 23.
5
[Effect of Zero Valent Iron on the Decline of Tetracycline Resistance Genes and Class 1 Integrons During Thermophilic Anaerobic Digestion of Sludge].[零价铁对污泥嗜热厌氧消化过程中四环素抗性基因和1类整合子衰减的影响]
Huan Jing Ke Xue. 2017 Feb 8;38(2):697-702. doi: 10.13227/j.hjkx.201607235.
6
Evolutions of antibiotic resistance genes (ARGs), class 1 integron-integrase (intI1) and potential hosts of ARGs during sludge anaerobic digestion with the iron nanoparticles addition.铁纳米颗粒添加对污泥厌氧消化过程中抗生素耐药基因(ARGs)、class 1 整合子-整合酶(intI1)和 ARGs 潜在宿主的影响。
Sci Total Environ. 2020 Jul 1;724:138248. doi: 10.1016/j.scitotenv.2020.138248. Epub 2020 Mar 26.
7
The addition of nano zero-valent iron during compost maturation effectively removes intracellular and extracellular antibiotic resistance genes by reducing the abundance of potential host bacteria.在堆肥成熟过程中添加纳米零价铁通过减少潜在宿主细菌的丰度,有效地去除了细胞内和细胞外抗生素抗性基因。
Bioresour Technol. 2023 Sep;384:129350. doi: 10.1016/j.biortech.2023.129350. Epub 2023 Jun 21.
8
Attenuation of tetracyclines and related resistance genes in soil when exposed to nanoscale zero-valent iron.四环素及相关抗性基因在土壤中暴露于纳米零价铁时的衰减。
J Hazard Mater. 2023 Apr 15;448:130867. doi: 10.1016/j.jhazmat.2023.130867. Epub 2023 Jan 31.
9
The role of zero valent iron on the fate of tetracycline resistance genes and class 1 integrons during thermophilic anaerobic co-digestion of waste sludge and kitchen waste.零价铁在高温厌氧共消化剩余污泥和餐厨垃圾过程中对四环素抗性基因和 1 类整合子命运的作用。
Water Res. 2017 Mar 15;111:92-99. doi: 10.1016/j.watres.2016.12.047. Epub 2016 Dec 27.
10
Effects of nanoscale zero-valent iron on the performance and the fate of antibiotic resistance genes during thermophilic and mesophilic anaerobic digestion of food waste.纳米零价铁对嗜热和好氧厌氧消化食物垃圾过程中抗生素抗性基因的性能和命运的影响。
Bioresour Technol. 2019 Dec;293:122092. doi: 10.1016/j.biortech.2019.122092. Epub 2019 Sep 3.

本文引用的文献

1
The fate of antibiotic resistance genes and their influential factors during excess sludge composting in a full-scale plant.抗生素耐药基因在大型堆肥厂剩余污泥中的命运及其影响因素。
Bioresour Technol. 2021 Dec;342:126049. doi: 10.1016/j.biortech.2021.126049. Epub 2021 Sep 28.
2
Insights of metallic nanoparticles and ions in accelerating the bacterial uptake of antibiotic resistance genes.金属纳米颗粒和离子在加速细菌摄取抗生素耐药基因方面的作用。
J Hazard Mater. 2022 Jan 5;421:126728. doi: 10.1016/j.jhazmat.2021.126728. Epub 2021 Jul 24.
3
Effects of emerging pollutants on the occurrence and transfer of antibiotic resistance genes: A review.
新兴污染物对抗生素耐药基因的产生和转移的影响:综述。
J Hazard Mater. 2021 Oct 15;420:126602. doi: 10.1016/j.jhazmat.2021.126602. Epub 2021 Jul 7.
4
Individual and combined applications of biochar and pyroligneous acid mitigate dissemination of antibiotic resistance genes in agricultural soil.生物炭和木醋液的单独及联合施用可减轻农业土壤中抗生素抗性基因的传播。
Sci Total Environ. 2021 Nov 20;796:148962. doi: 10.1016/j.scitotenv.2021.148962. Epub 2021 Jul 9.
5
Optimization of Fenton process on removing antibiotic resistance genes from excess sludge by single-factor experiment and response surface methodology.通过单因素实验和响应面法优化芬顿工艺去除剩余污泥中抗生素抗性基因。
Sci Total Environ. 2021 Sep 20;788:147889. doi: 10.1016/j.scitotenv.2021.147889. Epub 2021 May 19.
6
The dynamics of phosphorus fractions and the factors driving phosphorus cycle in Zoige Plateau peatland soil.若尔盖高原泥炭地土壤中磷素形态的动态变化及其影响磷循环的因素。
Chemosphere. 2021 Sep;278:130501. doi: 10.1016/j.chemosphere.2021.130501. Epub 2021 Apr 6.
7
Effects of tetracycline antibiotics in chicken manure on soil microbes and antibiotic resistance genes (ARGs).鸡粪中四环素类抗生素对土壤微生物和抗生素抗性基因(ARGs)的影响。
Environ Geochem Health. 2022 Jan;44(1):273-284. doi: 10.1007/s10653-021-01004-y. Epub 2021 Jun 10.
8
Bioaerosol is an important transmission route of antibiotic resistance genes in pig farms.生物气溶胶是猪场抗生素抗性基因的重要传播途径。
Environ Int. 2021 Sep;154:106559. doi: 10.1016/j.envint.2021.106559. Epub 2021 Apr 14.
9
Spread of antibiotic resistance genes and microbiota in airborne particulate matter, dust, and human airways in the urban hospital.抗生素耐药基因和微生物群在城市医院空气中的颗粒物、灰尘和人类气道中的传播。
Environ Int. 2021 Aug;153:106501. doi: 10.1016/j.envint.2021.106501. Epub 2021 Apr 6.
10
Horizontal and vertical gene transfer drive sediment antibiotic resistome in an urban lagoon system.水平基因转移和垂直基因转移驱动城市泻湖系统沉积物抗生素抗性组。
J Environ Sci (China). 2021 Apr;102:11-23. doi: 10.1016/j.jes.2020.09.004. Epub 2020 Sep 25.