Suppr超能文献

根据老年人在“计时起立行走”测试中的脆弱程度改变地面反力参数。

Change in ground reaction force parameters according to the frailty level of older women in the Timed Up and Go test.

机构信息

Center for Frailty and Locomotive Syndrome, National Center for Geriatrics and Gerontology, Obu, Japan.

Department of Mechanical Systems Engineering, Graduate School of Engineering, Nagoya University, Nagoya, Japan.

出版信息

Nagoya J Med Sci. 2022 May;84(2):418-432. doi: 10.18999/nagjms.84.2.418.

Abstract

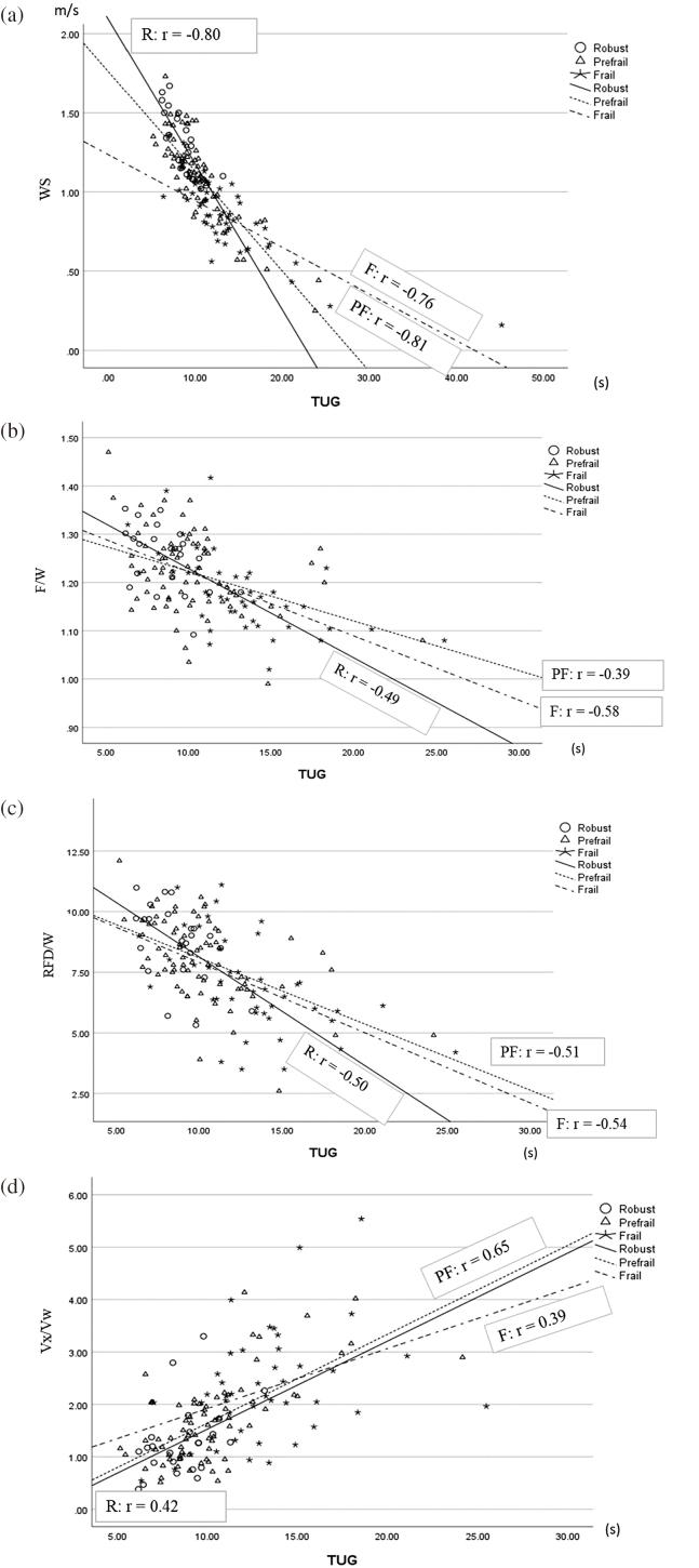
As older people become frail, they tend to fall more easily. Moreover, women have a higher rate of falls than men. However, effective strategies to avoid elderly women falling are lacking. The Timed Up and Go test is a well-known indicator of falling tendency. This study clarifies the motor elements related to the Timed Up and Go test according to the degree of weakness in older outpatients to specify exercise intervention to improve weakness and prevent falls. Participants were 145 female outpatients who visited the Locomo-Frail outpatient clinic, classified into three groups (robust, prefrail, and frail, according to the definition of the Japanese Cardiovascular Health Study. Vertical ground reaction force parameters were measured for all participants when they stood up from a chair, walking speed, and the Timed Up and Go test. Results showed that walking speed is related to the Timed Up and Go test in the robust group; balance ability is related to the Timed Up and Go test in the prefrail group; and instantaneous force is related to the Timed Up and Go test in the frail group. These results suggest that weakness can be improved by performing exercise interventions of balance and instantaneous force elements in the prefrail and frail groups, respectively.

摘要

随着老年人身体变得虚弱,他们更容易摔倒。此外,女性摔倒的比例高于男性。然而,目前缺乏有效的策略来避免老年女性摔倒。计时起立行走测试是一种评估跌倒倾向的常用指标。本研究根据老年门诊患者的虚弱程度,明确了与计时起立行走测试相关的运动要素,以确定改善虚弱状况和预防跌倒的运动干预措施。本研究的参与者为 145 名女性门诊患者,根据日本心血管健康研究的定义,将他们分为三组(健壮、衰弱前期和衰弱)。所有参与者均从椅子上站起来时测量垂直地面反力参数、行走速度和计时起立行走测试。结果表明,在健壮组中,行走速度与计时起立行走测试相关;在衰弱前期组中,平衡能力与计时起立行走测试相关;在衰弱组中,瞬间力量与计时起立行走测试相关。这些结果表明,分别通过在衰弱前期和衰弱组进行平衡和瞬间力量要素的运动干预,可以改善虚弱状况。

https://cdn.ncbi.nlm.nih.gov/pmc/blobs/6344/9350564/e92f24701fb5/2186-3326-84-0418-g001.jpg

文献检索

告别复杂PubMed语法,用中文像聊天一样搜索,搜遍4000万医学文献。AI智能推荐,让科研检索更轻松。

立即免费搜索

文件翻译

保留排版,准确专业,支持PDF/Word/PPT等文件格式,支持 12+语言互译。

免费翻译文档

深度研究

AI帮你快速写综述,25分钟生成高质量综述,智能提取关键信息,辅助科研写作。

立即免费体验