• 文献检索
  • 文档翻译
  • 深度研究
  • 学术资讯
  • Suppr Zotero 插件Zotero 插件
  • 邀请有礼
  • 套餐&价格
  • 历史记录
应用&插件
Suppr Zotero 插件Zotero 插件浏览器插件Mac 客户端Windows 客户端微信小程序
定价
高级版会员购买积分包购买API积分包
服务
文献检索文档翻译深度研究API 文档MCP 服务
关于我们
关于 Suppr公司介绍联系我们用户协议隐私条款
关注我们

Suppr 超能文献

核心技术专利:CN118964589B侵权必究
粤ICP备2023148730 号-1Suppr @ 2026

文献检索

告别复杂PubMed语法,用中文像聊天一样搜索,搜遍4000万医学文献。AI智能推荐,让科研检索更轻松。

立即免费搜索

文件翻译

保留排版,准确专业,支持PDF/Word/PPT等文件格式,支持 12+语言互译。

免费翻译文档

深度研究

AI帮你快速写综述,25分钟生成高质量综述,智能提取关键信息,辅助科研写作。

立即免费体验

使用站立式书桌 45 分钟对小学生的压力和执行功能的影响。

Effects of using standing desks for 45 minutes on the stress and executive function of elementary school students.

机构信息

School of Physical Education, Osaka University of Health and Sport Sciences, Sennan-gun, Osaka, Japan.

Research Institute for Health and Sport Science, Nippon Sport Science University, Setagayaku, Tokyo, Japan.

出版信息

PLoS One. 2022 Aug 18;17(8):e0272035. doi: 10.1371/journal.pone.0272035. eCollection 2022.

DOI:10.1371/journal.pone.0272035
PMID:35980903
原文链接:https://pmc.ncbi.nlm.nih.gov/articles/PMC9387865/
Abstract

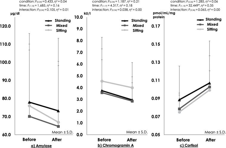
Studies have presented data regarding the effects of short-term (weeks) and long-term (one year) use of standing desks in classrooms on children's health, cognition, and musculoskeletal symptoms. However, no previous study has examined such effects in an extremely short-term period such as one classroom lesson. This study aimed to examine the effects of using standing desks for 45 minutes on elementary school students' stress and executive function. For this experiment, 56 students were recruited from public elementary schools in Setagayaku, Tokyo, Japan. There were three conditions involving the use of standing desks (standing, sitting, and mixed), and all students performed tasks for 45 minutes in each condition. Measurements of stress and executive function were performed before and after the students engaged with each condition. Stress levels did not differ between the sitting and standing conditions for the full 45 minutes. The number of correct answers in the Stroop test, an interference task, was higher in the standing and mixed conditions (switching between standing and sitting) than in the sitting condition (interaction: F(1,37) = 3.340, p = 0.04, η2 = 0.05). These results indicate that using standing desks for 45 minutes improved the 'inhibition' of executive function without excessively increasing stress levels.

摘要

研究已经提出了关于在教室中短期(数周)和长期(一年)使用站立式书桌对儿童健康、认知和肌肉骨骼症状影响的数据。然而,以前没有研究在如此短的时间内(如一堂课)检查过这种影响。本研究旨在研究使用站立式书桌 45 分钟对小学生压力和执行功能的影响。为此实验,从日本东京世田谷区的公立小学招募了 56 名学生。有三种使用站立式书桌的条件(站立、坐着和混合),所有学生在每种条件下都进行了 45 分钟的任务。在学生参与每种条件前后,都对压力和执行功能进行了测量。在整整 45 分钟内,坐姿和站立姿势之间的压力水平没有差异。在 Stroop 测试(一种干扰任务)中,正确答案的数量在站立和混合条件(站立和坐姿之间切换)下高于坐姿条件(交互作用:F(1,37) = 3.340,p = 0.04,η2 = 0.05)。这些结果表明,使用站立式书桌 45 分钟可以改善执行功能的“抑制”,而不会过度增加压力水平。

https://cdn.ncbi.nlm.nih.gov/pmc/blobs/6b44/9387865/f5b8a57e204e/pone.0272035.g004.jpg
https://cdn.ncbi.nlm.nih.gov/pmc/blobs/6b44/9387865/60de2480151b/pone.0272035.g001.jpg
https://cdn.ncbi.nlm.nih.gov/pmc/blobs/6b44/9387865/8f7f0ed3bd46/pone.0272035.g002.jpg
https://cdn.ncbi.nlm.nih.gov/pmc/blobs/6b44/9387865/c8f2d141ee1d/pone.0272035.g003.jpg
https://cdn.ncbi.nlm.nih.gov/pmc/blobs/6b44/9387865/f5b8a57e204e/pone.0272035.g004.jpg
https://cdn.ncbi.nlm.nih.gov/pmc/blobs/6b44/9387865/60de2480151b/pone.0272035.g001.jpg
https://cdn.ncbi.nlm.nih.gov/pmc/blobs/6b44/9387865/8f7f0ed3bd46/pone.0272035.g002.jpg
https://cdn.ncbi.nlm.nih.gov/pmc/blobs/6b44/9387865/c8f2d141ee1d/pone.0272035.g003.jpg
https://cdn.ncbi.nlm.nih.gov/pmc/blobs/6b44/9387865/f5b8a57e204e/pone.0272035.g004.jpg

相似文献

1
Effects of using standing desks for 45 minutes on the stress and executive function of elementary school students.使用站立式书桌 45 分钟对小学生的压力和执行功能的影响。
PLoS One. 2022 Aug 18;17(8):e0272035. doi: 10.1371/journal.pone.0272035. eCollection 2022.
2
Does a Classroom Standing Desk Intervention Modify Standing and Sitting Behaviour and Musculoskeletal Symptoms during School Time and Physical Activity during Waking Time?课堂站立式课桌干预是否能改变在校时间的站立和坐姿行为以及肌肉骨骼症状,以及在清醒时间的身体活动?
Int J Environ Res Public Health. 2018 Aug 6;15(8):1668. doi: 10.3390/ijerph15081668.
3
Effect and process evaluation of implementing standing desks in primary and secondary schools in Belgium: a cluster-randomised controlled trial.实施比利时中小学站立式课桌的效果和过程评估:一项集群随机对照试验。
Int J Behav Nutr Phys Act. 2018 Sep 27;15(1):94. doi: 10.1186/s12966-018-0726-9.
4
Standing Desks in a Grade 4 Classroom over the Full School Year.四年级教室全年使用站立式课桌。
Int J Environ Res Public Health. 2019 Sep 25;16(19):3590. doi: 10.3390/ijerph16193590.
5
Attentiveness and Fidgeting While Using a Stand-Biased Desk in Elementary School Children.小学生使用站立式课桌时的专注度和烦躁度。
Int J Environ Res Public Health. 2020 Jun 4;17(11):3976. doi: 10.3390/ijerph17113976.
6
Stand-Biased Desks Impact on Cognition in Elementary Students Using a Within-Classroom Crossover Design.采用班级内交叉设计研究站式课桌对小学生认知的影响。
Int J Environ Res Public Health. 2022 May 7;19(9):5684. doi: 10.3390/ijerph19095684.
7
The impact of height-adjustable desks and classroom prompts on classroom sitting time, social, and motivational factors among adolescents.可调节高度桌椅和课堂提示对青少年课堂久坐时间、社交和激励因素的影响。
J Sport Health Sci. 2023 Jan;12(1):97-105. doi: 10.1016/j.jshs.2020.05.002. Epub 2020 May 20.
8
Stand Out in Class: Investigating the Potential Impact of a Sit-Stand Desk Intervention on Children's Sitting and Physical Activity during Class Time and after School.在课堂上和课后使用站坐两用办公桌对儿童坐姿和身体活动的潜在影响研究:让学生脱颖而出
Int J Environ Res Public Health. 2021 Apr 29;18(9):4759. doi: 10.3390/ijerph18094759.
9
Effects of Installing Height-Adjustable Standing Desks on Daily and Domain-Specific Duration of Standing, Sitting, and Stepping in 3rd Grade Primary School Children.安装可调节高度的站立式办公桌对小学三年级学生日常及特定领域的站立、坐姿和步数时长的影响。
Front Public Health. 2020 Aug 12;8:396. doi: 10.3389/fpubh.2020.00396. eCollection 2020.
10
Standing Up for Learning: A Pilot Investigation on the Neurocognitive Benefits of Stand-Biased School Desks.为学习而站立:对偏向站立的学校课桌的神经认知益处的初步调查。
Int J Environ Res Public Health. 2015 Dec 22;13(1):ijerph13010059. doi: 10.3390/ijerph13010059.

引用本文的文献

1
Withstand control: standing posture differentially affects space-based and feature-based cognitive control through enhanced physiological arousal.耐受控制:站立姿势通过增强生理唤醒对基于空间和基于特征的认知控制产生不同影响。
Sci Rep. 2025 Jul 20;15(1):26347. doi: 10.1038/s41598-025-11692-6.
2
Exploratory study of the acute and mid-term effects of using a novel dynamic meeting environment (Aeris) on cognitive performance and neurophysiological responses.关于使用新型动态会议环境(Aeris)对认知表现和神经生理反应的急性和中期影响的探索性研究。
Front Hum Neurosci. 2023 Nov 23;17:1282728. doi: 10.3389/fnhum.2023.1282728. eCollection 2023.

本文引用的文献

1
Stand-Biased Desk Intervention on Sleep Quality of High School Students: A Pilot Study Using Tri-Axial Accelerometery.基于站立的课桌干预对高中生睡眠质量的影响:使用三轴加速度计的初步研究。
Int J Environ Res Public Health. 2019 Dec 19;17(1):37. doi: 10.3390/ijerph17010037.
2
Standing Desks in a Grade 4 Classroom over the Full School Year.四年级教室全年使用站立式课桌。
Int J Environ Res Public Health. 2019 Sep 25;16(19):3590. doi: 10.3390/ijerph16193590.
3
Classroom Standing Desks and Time-Series Variation in Sedentary Behavior and Physical Activity among Primary School Children.
中小学课堂站立式课桌与久坐行为和身体活动时间序列变化的关系。
Int J Environ Res Public Health. 2019 May 29;16(11):1892. doi: 10.3390/ijerph16111892.
4
Associations of Class-Time Sitting, Stepping and Sit-to-Stand Transitions with Cognitive Functions and Brain Activity in Children.课堂时间久坐、走动和坐站转换与儿童认知功能和大脑活动的关联。
Int J Environ Res Public Health. 2019 Apr 26;16(9):1482. doi: 10.3390/ijerph16091482.
5
Physical Activity, Inactivity, and Sedentary Behaviors: Definitions and Implications in Occupational Health.身体活动、缺乏身体活动及久坐行为:职业健康中的定义及影响
Front Public Health. 2018 Oct 5;6:288. doi: 10.3389/fpubh.2018.00288. eCollection 2018.
6
Does a Classroom Standing Desk Intervention Modify Standing and Sitting Behaviour and Musculoskeletal Symptoms during School Time and Physical Activity during Waking Time?课堂站立式课桌干预是否能改变在校时间的站立和坐姿行为以及肌肉骨骼症状,以及在清醒时间的身体活动?
Int J Environ Res Public Health. 2018 Aug 6;15(8):1668. doi: 10.3390/ijerph15081668.
7
I Can Stand Learning: A Controlled Pilot Intervention Study on the Effects of Increased Standing Time on Cognitive Function in Primary School Children.我能站着学:一项关于增加站立时间对小学生认知功能影响的对照性初步干预研究。
Int J Environ Res Public Health. 2018 Feb 17;15(2):356. doi: 10.3390/ijerph15020356.
8
"It's a Battle… You Want to Do It, but How Will You Get It Done?": Teachers' and Principals' Perceptions of Implementing Additional Physical activity in School for Academic Performance.“这是一场战斗……你想这么做,但你将如何完成呢?”:教师和校长对在学校增加体育活动以提高学业成绩的看法。
Int J Environ Res Public Health. 2017 Sep 30;14(10):1160. doi: 10.3390/ijerph14101160.
9
Stand by Your Stroop: Standing Up Enhances Selective Attention and Cognitive Control.支持你的斯特鲁普效应:站立能增强选择性注意力和认知控制。
Psychol Sci. 2017 Dec;28(12):1864-1867. doi: 10.1177/0956797617721270. Epub 2017 Sep 27.
10
Sedentary Behavior Research Network (SBRN) - Terminology Consensus Project process and outcome.久坐行为研究网络(SBRN)——术语共识项目的过程与成果。
Int J Behav Nutr Phys Act. 2017 Jun 10;14(1):75. doi: 10.1186/s12966-017-0525-8.