Suppr超能文献

定量磁化率成像和血液神经丝轻链可区分帕金森氏症。

Quantitative susceptibility mapping and blood neurofilament light chain differentiate between parkinsonian disorders.

作者信息

Zhang Piao, Chen Junling, Cai Tongtong, He Chentao, Li Yan, Li Xiaohong, Chen Zhenzhen, Wang Lijuan, Zhang Yuhu

机构信息

The Second School of Clinical Medicine, Southern Medical University, Guangzhou, China.

Department of Neurology, Guangdong Neuroscience Institute, Guangdong Provincial People's Hospital, Guangdong Academy of Medical Sciences, Guangzhou, China.

出版信息

Front Aging Neurosci. 2022 Aug 5;14:909552. doi: 10.3389/fnagi.2022.909552. eCollection 2022.

Abstract

OBJECTIVES

We employed quantitative susceptibility mapping (QSM) to assess iron deposition in parkinsonian disorders and explored whether combining QSM values and neurofilament light (NfL) chain levels can improve the accuracy of distinguishing Parkinson's disease (PD) from multiple system atrophy (MSA) and progressive supranuclear palsy (PSP).

MATERIALS AND METHODS

Forty-seven patients with PD, 28 patients with MSA, 18 patients with PSP, and 28 healthy controls (HC) were enrolled, and QSM data were reconstructed. Susceptibility values in the bilateral globus pallidus (GP), putamen (PUT), caudate nucleus (CN), red nucleus (RN), substantia nigra (SN), and dentate nucleus (DN) were obtained. Plasma NfL levels of 47 PD, 18 MSA, and 14 PSP patients and 22 HC were measured by ultrasensitive Simoa technology.

RESULTS

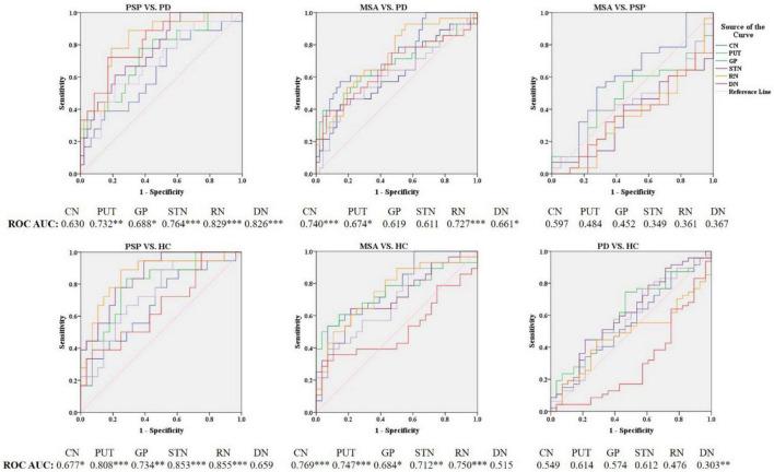
The highest diagnostic accuracy distinguishing MSA from PD patients was observed with increased susceptibility values in CN (AUC: 0.740). The susceptibility values in RN yielded the highest diagnostic performance for distinguishing PSP from PD patients (AUC: 0.829). Plasma NfL levels were significantly higher in the MSA and PSP groups than in PD and HC groups. Combining the susceptibility values in the RN and plasma NfL levels improved the diagnostic performance for PSP vs. PD (AUC: 0.904), whereas plasma NfL levels had higher diagnostic accuracy for MSA vs. PD (AUC: 0.877).

CONCLUSION

The exploratory study indicates different patterns of iron accumulation in deep gray matter nuclei in Parkinsonian disorders. Combining QSM values with NfL levels may be a promising biomarker for distinguishing PSP from PD, whereas plasma NfL may be a reliable biomarker for differentiating MSA from PD. QSM and NfL measures appeared to have low accuracy for separating PD from controls.

摘要

目的

我们采用定量磁化率图谱(QSM)评估帕金森病相关疾病中的铁沉积情况,并探讨结合QSM值和神经丝轻链(NfL)水平是否能提高区分帕金森病(PD)与多系统萎缩(MSA)及进行性核上性麻痹(PSP)的准确性。

材料与方法

纳入47例PD患者、28例MSA患者、18例PSP患者及28名健康对照(HC),重建QSM数据。获取双侧苍白球(GP)、壳核(PUT)、尾状核(CN)、红核(RN)、黑质(SN)及齿状核(DN)的磁化率值。采用超灵敏单分子阵列技术检测47例PD、18例MSA、14例PSP患者及22名HC的血浆NfL水平。

结果

在区分MSA与PD患者时,CN中磁化率值升高时诊断准确性最高(曲线下面积[AUC]:0.740)。RN中的磁化率值在区分PSP与PD患者时诊断性能最高(AUC:0.829)。MSA和PSP组的血浆NfL水平显著高于PD组和HC组。结合RN中的磁化率值和血浆NfL水平可提高PSP与PD的诊断性能(AUC:0.904),而血浆NfL水平对MSA与PD的诊断准确性更高(AUC:0.877)。

结论

这项探索性研究表明帕金森病相关疾病中深部灰质核团存在不同的铁蓄积模式。将QSM值与NfL水平相结合可能是区分PSP与PD的一种有前景的生物标志物,而血浆NfL可能是区分MSA与PD的可靠生物标志物。QSM和NfL测量在区分PD与对照时准确性似乎较低。

https://cdn.ncbi.nlm.nih.gov/pmc/blobs/90da/9389149/169f3091b639/fnagi-14-909552-g001.jpg

文献AI研究员

20分钟写一篇综述,助力文献阅读效率提升50倍。

立即体验

用中文搜PubMed

大模型驱动的PubMed中文搜索引擎

马上搜索

文档翻译

学术文献翻译模型,支持多种主流文档格式。

立即体验