Suppr超能文献

基于菌丝体的复合材料在材料制造周期中用于未来生物修复和食品生产的生长及力学特性

Growth and Mechanical Characterization of Mycelium-Based Composites towards Future Bioremediation and Food Production in the Material Manufacturing Cycle.

作者信息

Houette Thibaut, Maurer Christopher, Niewiarowski Remik, Gruber Petra

机构信息

Department of Biology, The University of Akron, Akron, OH 44325, USA.

Redhouse Studio, Cleveland, OH 44113, USA.

出版信息

Biomimetics (Basel). 2022 Jul 28;7(3):103. doi: 10.3390/biomimetics7030103.

Abstract

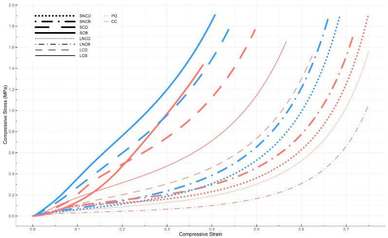
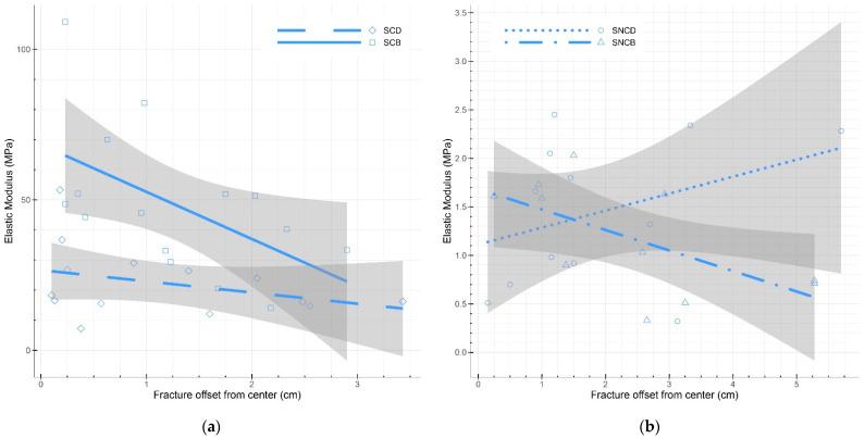
Today's architectural and agricultural practices negatively impact the planet. Mycelium-based composites are widely researched with the aim of producing sustainable building materials by upcycling organic byproducts. To go further, this study analyzed the growth process and tested the mechanical behavior of composite materials grown from fungal species used in bioremediation. Agricultural waste containing high levels of fertilizers serves as the substrate for mycelium growth to reduce chemical dispersal in the environment. Compression and three-point bending tests were conducted to evaluate the effects of the following variables on the mechanical behavior of mycelium-based materials: substrate particle size (with or without micro-particles), fungal species ( and ), and post-growth treatment (dried, baked, compacted then dried, and compacted then baked). Overall, the density of the material positively correlated with its Young's and elastic moduli, showing higher moduli for composites made from substrate with micro-particles and for compacted composites. Compacted then baked composites grown on the substrate with micro-particles provided the highest elastic moduli in compression and flexural testing. In conclusion, this study provides valuable insight into the selection of substrate particle size, fungal species, and post-growth treatment for various applications with a focus on material manufacturing, food production, and bioremediation.

摘要

当今的建筑和农业实践对地球产生了负面影响。基于菌丝体的复合材料得到了广泛研究,目的是通过将有机副产品升级再造来生产可持续建筑材料。为了进一步深入研究,本研究分析了生长过程,并测试了由用于生物修复的真菌物种培育而成的复合材料的力学性能。含有高浓度肥料的农业废弃物作为菌丝体生长的基质,以减少化学物质在环境中的扩散。进行了压缩和三点弯曲试验,以评估以下变量对基于菌丝体材料力学性能的影响:基质颗粒大小(有无微粒)、真菌物种( 和 )以及生长后处理(干燥、烘烤、压实后干燥、压实后烘烤)。总体而言,材料的密度与其杨氏模量和弹性模量呈正相关,由含微粒基质制成的复合材料以及压实复合材料显示出更高的模量。在含微粒基质上生长并经压实后烘烤的复合材料在压缩和弯曲测试中提供了最高的弹性模量。总之,本研究为在材料制造、食品生产和生物修复等各种应用中选择基质颗粒大小、真菌物种和生长后处理提供了有价值的见解。

https://cdn.ncbi.nlm.nih.gov/pmc/blobs/aa21/9397049/b176ff17b5e0/biomimetics-07-00103-g0A1.jpg

文献AI研究员

20分钟写一篇综述,助力文献阅读效率提升50倍。

立即体验

用中文搜PubMed

大模型驱动的PubMed中文搜索引擎

马上搜索

文档翻译

学术文献翻译模型,支持多种主流文档格式。

立即体验