Suppr超能文献

基于多病用药患者药物-药物-基因相互作用数据的处方建议

Prescription Advice Based on Data of Drug-Drug-Gene Interaction of Patients with Polypharmacy.

作者信息

Salamone Sandro, Spirito Sara, Simmaco Maurizio, Unger Marius, Preissner Saskia, Gohlke Björn-Oliver, Eckert Andreas, Preissner Robert

机构信息

Science-IT and Institute of Physiology, Charité - Universitätsmedizin Berlin, Corporate Member of Freie Universität Berlin, Humboldt-Universität zu Berlin and Berlin Institute of Health, Berlin, Germany.

Department of Neurosciences, Mental Health and Sensory Organs, Faculty of Medicine and Psychology, Sapienza University and Laboratory of Clinical Biochemistry, Sant'Andrea Hospital, Rome, Italy.

出版信息

Pharmgenomics Pers Med. 2022 Aug 18;15:765-773. doi: 10.2147/PGPM.S368606. eCollection 2022.

Abstract

PURPOSE

Pharmacogenetic counselling is a complex task and requires the efforts of an interdisciplinary team, which cannot be implemented in most cases. Therefore, simple rules could help to minimize the risk of medications incompatible with each other or with frequent genetic variants.

PATIENTS AND METHODS

One hundred and eighty-four multi-morbid Caucasian patients suffering from side effects or inefficient therapy were enrolled and genotyped. Their medication was analyzed by a team of specialists using Drug-PIN (medication support system) and individual recommendations for 34 drug classes were generated.

RESULTS

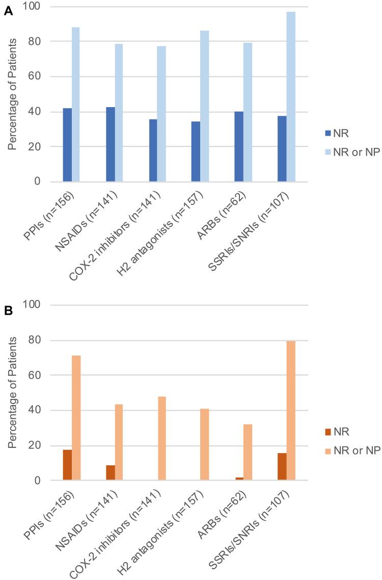
In each of the critical drug classes, 50% of the drugs cannot be recommended to be prescribed in typical drug cocktails. PPIs and SSRI/SNRIs represent the most critical drug classes without showing a single favorable drug. Among the well-tolerated drugs (not recommended for less than 5% of the patients) are metamizole, celecoxib, olmesartan and famotidine. For each drug class, a ranking of active ingredients according to their suitability is presented.

CONCLUSION

Genotyping and its profound analysis are not available in many settings today. The consideration of frequent alterations of metabolic elimination routes and drug-drug-gene interactions by using simple rankings can help to avoid many incompatibilities, side effects and inefficient therapies.

摘要

目的

药物遗传学咨询是一项复杂的任务,需要跨学科团队的努力,而在大多数情况下这难以实现。因此,简单的规则有助于将药物相互之间或与常见基因变异不相容的风险降至最低。

患者与方法

招募了184名患有副作用或治疗效果不佳的多病种白种患者并进行基因分型。一组专家使用Drug-PIN(药物支持系统)对他们的用药情况进行分析,并针对34类药物给出了个性化建议。

结果

在每一类关键药物中,50%的药物不建议在典型的药物组合中使用。质子泵抑制剂(PPI)和选择性5-羟色胺再摄取抑制剂/5-羟色胺去甲肾上腺素再摄取抑制剂(SSRI/SNRI)是最关键的药物类别,且未显示出一种有利药物。在耐受性良好的药物(不建议用于不到5%的患者)中有安乃近、塞来昔布、奥美沙坦和法莫替丁。针对每一类药物,给出了根据其适用性排列的活性成分排名。

结论

如今在许多情况下无法进行基因分型及其深入分析。通过使用简单的排名来考虑代谢消除途径的频繁改变以及药物-药物-基因相互作用,有助于避免许多不相容性、副作用和无效治疗。

https://cdn.ncbi.nlm.nih.gov/pmc/blobs/00df/9394521/a658225abfe0/PGPM-15-765-g0001.jpg

文献AI研究员

20分钟写一篇综述,助力文献阅读效率提升50倍。

立即体验

用中文搜PubMed

大模型驱动的PubMed中文搜索引擎

马上搜索

文档翻译

学术文献翻译模型,支持多种主流文档格式。

立即体验