Suppr超能文献

处于挑战性环境中的果蝇:短期温度胁迫对[果蝇科(双翅目:实蝇科)]生存、发育、繁殖及海藻糖代谢的影响

Fruit Fly in a Challenging Environment: Impact of Short-Term Temperature Stress on the Survival, Development, Reproduction, and Trehalose Metabolism of (Diptera: Tephritidae).

作者信息

Yu Chun, Zhao Runa, Zhou Wei, Pan Yingna, Tian Hui, Yin Zhengyan, Chen Wenlong

机构信息

Guizhou Provincial Key Laboratory for Agricultural Pest Management of the Mountainous Region, Institute of Entomology, Scientific Observing and Experimental Station of Crop Pest in Guiyang, Ministry of Agriculture, Guizhou University, Guiyang 550025, China.

出版信息

Insects. 2022 Aug 22;13(8):753. doi: 10.3390/insects13080753.

Abstract

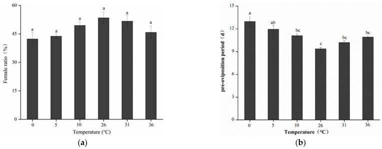
An understanding of physiological damage and population development caused by uncomfortable temperature plays an important role in pest control. In order to clarify the adaptability of different temperatures and physiological response mechanism of , we focused on the adaptation ability of this pest to environmental stress from physiological and ecological viewpoints. In this study, we explored the relationship between population parameters and glucose, glycogen, trehalose, and trehalose-6-phosphate synthase responses to high and low temperatures. Compared with the control group, temperature stress delayed the development duration of all stages, and the survival rates and longevity decreased gradually as temperature decreased to 0 °C and increased to 36 °C. Furthermore, with low temperature decrease from 10 °C to 0 °C, the average fecundity per female increased at 10 °C but decreased later. Reproduction of the species was negatively affected during high-temperature stresses, reaching the lowest value at 36 °C. In addition to significantly affecting biological characteristics, temperature stress influenced physiological changes of in cold and heat tolerance. When temperature deviated significantly from the norm, the levels of substances associated with temperature resistance were altered: glucose, trehalose, and TPS levels increased, but glycogen levels decreased. These results suggest that temperature stresses exert a detrimental effect on the populations' survival, but the metabolism of trehalose and glycogen may enhance the pest's temperature resistance.

摘要

了解不适宜温度引起的生理损害和种群发展在害虫防治中起着重要作用。为了阐明不同温度的适应性以及[害虫名称]的生理反应机制,我们从生理和生态角度着重研究了这种害虫对环境胁迫的适应能力。在本研究中,我们探讨了种群参数与葡萄糖、糖原、海藻糖以及海藻糖-6-磷酸合酶对高温和低温反应之间的关系。与对照组相比,温度胁迫延长了各阶段的发育时间,随着温度降至0°C和升至36°C,存活率和寿命逐渐降低。此外,随着温度从10°C降至0°C,每雌平均繁殖力在10°C时增加,但随后下降。在高温胁迫期间,该物种的繁殖受到负面影响,在36°C时达到最低值。温度胁迫除了显著影响生物学特性外,还影响了[害虫名称]在耐寒和耐热方面的生理变化。当温度显著偏离正常水平时,与耐热性相关的物质水平发生改变:葡萄糖、海藻糖和TPS水平升高,但糖原水平降低。这些结果表明,温度胁迫对种群生存产生不利影响,但海藻糖和糖原的代谢可能增强害虫的耐热性。

https://cdn.ncbi.nlm.nih.gov/pmc/blobs/a469/9410078/9bee6a16987f/insects-13-00753-g001a.jpg

文献检索

告别复杂PubMed语法,用中文像聊天一样搜索,搜遍4000万医学文献。AI智能推荐,让科研检索更轻松。

立即免费搜索

文件翻译

保留排版,准确专业,支持PDF/Word/PPT等文件格式,支持 12+语言互译。

免费翻译文档

深度研究

AI帮你快速写综述,25分钟生成高质量综述,智能提取关键信息,辅助科研写作。

立即免费体验