• 文献检索
  • 文档翻译
  • 深度研究
  • 学术资讯
  • Suppr Zotero 插件Zotero 插件
  • 邀请有礼
  • 套餐&价格
  • 历史记录
应用&插件
Suppr Zotero 插件Zotero 插件浏览器插件Mac 客户端Windows 客户端微信小程序
定价
高级版会员购买积分包购买API积分包
服务
文献检索文档翻译深度研究API 文档MCP 服务
关于我们
关于 Suppr公司介绍联系我们用户协议隐私条款
关注我们

Suppr 超能文献

核心技术专利:CN118964589B侵权必究
粤ICP备2023148730 号-1Suppr @ 2026

文献检索

告别复杂PubMed语法,用中文像聊天一样搜索,搜遍4000万医学文献。AI智能推荐,让科研检索更轻松。

立即免费搜索

文件翻译

保留排版,准确专业,支持PDF/Word/PPT等文件格式,支持 12+语言互译。

免费翻译文档

深度研究

AI帮你快速写综述,25分钟生成高质量综述,智能提取关键信息,辅助科研写作。

立即免费体验

用于研究信息几何的随机微分方程的蒙特卡罗模拟

Monte Carlo Simulation of Stochastic Differential Equation to Study Information Geometry.

作者信息

Thiruthummal Abhiram Anand, Kim Eun-Jin

机构信息

Centre for Fluid and Complex Systems, Coventry University, Coventry CV1 5FB, UK.

出版信息

Entropy (Basel). 2022 Aug 12;24(8):1113. doi: 10.3390/e24081113.

DOI:10.3390/e24081113
PMID:36010777
原文链接:https://pmc.ncbi.nlm.nih.gov/articles/PMC9407417/
Abstract

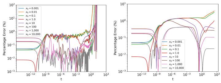
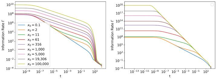
Information Geometry is a useful tool to study and compare the solutions of a Stochastic Differential Equations (SDEs) for non-equilibrium systems. As an alternative method to solving the Fokker-Planck equation, we propose a new method to calculate time-dependent probability density functions (PDFs) and to study Information Geometry using Monte Carlo (MC) simulation of SDEs. Specifically, we develop a new MC SDE method to overcome the challenges in calculating a time-dependent PDF and information geometric diagnostics and to speed up simulations by utilizing GPU computing. Using MC SDE simulations, we reproduce Information Geometric scaling relations found from the Fokker-Planck method for the case of a stochastic process with linear and cubic damping terms. We showcase the advantage of MC SDE simulation over FPE solvers by calculating unequal time joint PDFs. For the linear process with a linear damping force, joint PDF is found to be a Gaussian. In contrast, for the cubic process with a cubic damping force, joint PDF exhibits a bimodal structure, even in a stationary state. This suggests a finite memory time induced by a nonlinear force. Furthermore, several power-law scalings in the characteristics of bimodal PDFs are identified and investigated.

摘要

信息几何是研究和比较非平衡系统的随机微分方程(SDEs)解的有用工具。作为求解福克 - 普朗克方程的一种替代方法,我们提出了一种新方法来计算时间相关的概率密度函数(PDFs),并使用SDEs的蒙特卡罗(MC)模拟来研究信息几何。具体而言,我们开发了一种新的MC SDE方法,以克服计算时间相关PDF和信息几何诊断方面的挑战,并通过利用GPU计算来加速模拟。使用MC SDE模拟,我们重现了从福克 - 普朗克方法中发现的信息几何缩放关系,用于具有线性和立方阻尼项的随机过程的情况。我们通过计算不等时联合PDF展示了MC SDE模拟相对于FPE求解器的优势。对于具有线性阻尼力的线性过程,联合PDF被发现是高斯分布。相比之下,对于具有立方阻尼力的立方过程,即使在稳态下,联合PDF也呈现双峰结构。这表明非线性力会导致有限的记忆时间。此外,还识别并研究了双峰PDF特征中的几种幂律缩放。

https://cdn.ncbi.nlm.nih.gov/pmc/blobs/4c9f/9407417/223317f37bfe/entropy-24-01113-g008.jpg
https://cdn.ncbi.nlm.nih.gov/pmc/blobs/4c9f/9407417/060a2b88706a/entropy-24-01113-g0A1.jpg
https://cdn.ncbi.nlm.nih.gov/pmc/blobs/4c9f/9407417/90cc281baff6/entropy-24-01113-g0A2.jpg
https://cdn.ncbi.nlm.nih.gov/pmc/blobs/4c9f/9407417/398228fac263/entropy-24-01113-g001.jpg
https://cdn.ncbi.nlm.nih.gov/pmc/blobs/4c9f/9407417/8de9562236f9/entropy-24-01113-g002.jpg
https://cdn.ncbi.nlm.nih.gov/pmc/blobs/4c9f/9407417/7568941a5e1c/entropy-24-01113-g003.jpg
https://cdn.ncbi.nlm.nih.gov/pmc/blobs/4c9f/9407417/a9d9626e6b06/entropy-24-01113-g004.jpg
https://cdn.ncbi.nlm.nih.gov/pmc/blobs/4c9f/9407417/d33df2864618/entropy-24-01113-g005.jpg
https://cdn.ncbi.nlm.nih.gov/pmc/blobs/4c9f/9407417/45c46b093c4b/entropy-24-01113-g006.jpg
https://cdn.ncbi.nlm.nih.gov/pmc/blobs/4c9f/9407417/c19ad26f4a55/entropy-24-01113-g007.jpg
https://cdn.ncbi.nlm.nih.gov/pmc/blobs/4c9f/9407417/223317f37bfe/entropy-24-01113-g008.jpg
https://cdn.ncbi.nlm.nih.gov/pmc/blobs/4c9f/9407417/060a2b88706a/entropy-24-01113-g0A1.jpg
https://cdn.ncbi.nlm.nih.gov/pmc/blobs/4c9f/9407417/90cc281baff6/entropy-24-01113-g0A2.jpg
https://cdn.ncbi.nlm.nih.gov/pmc/blobs/4c9f/9407417/398228fac263/entropy-24-01113-g001.jpg
https://cdn.ncbi.nlm.nih.gov/pmc/blobs/4c9f/9407417/8de9562236f9/entropy-24-01113-g002.jpg
https://cdn.ncbi.nlm.nih.gov/pmc/blobs/4c9f/9407417/7568941a5e1c/entropy-24-01113-g003.jpg
https://cdn.ncbi.nlm.nih.gov/pmc/blobs/4c9f/9407417/a9d9626e6b06/entropy-24-01113-g004.jpg
https://cdn.ncbi.nlm.nih.gov/pmc/blobs/4c9f/9407417/d33df2864618/entropy-24-01113-g005.jpg
https://cdn.ncbi.nlm.nih.gov/pmc/blobs/4c9f/9407417/45c46b093c4b/entropy-24-01113-g006.jpg
https://cdn.ncbi.nlm.nih.gov/pmc/blobs/4c9f/9407417/c19ad26f4a55/entropy-24-01113-g007.jpg
https://cdn.ncbi.nlm.nih.gov/pmc/blobs/4c9f/9407417/223317f37bfe/entropy-24-01113-g008.jpg

相似文献

1
Monte Carlo Simulation of Stochastic Differential Equation to Study Information Geometry.用于研究信息几何的随机微分方程的蒙特卡罗模拟
Entropy (Basel). 2022 Aug 12;24(8):1113. doi: 10.3390/e24081113.
2
Information Geometry of Nonlinear Stochastic Systems.非线性随机系统的信息几何
Entropy (Basel). 2018 Jul 25;20(8):550. doi: 10.3390/e20080550.
3
Mapping the Monte Carlo scheme to Langevin dynamics: a Fokker-Planck approach.将蒙特卡罗方法映射到朗之万动力学:一种福克 - 普朗克方法。
Phys Rev Lett. 2006 Feb 17;96(6):067208. doi: 10.1103/PhysRevLett.96.067208.
4
Time-dependent probability density function in cubic stochastic processes.立方随机过程中的时间相关概率密度函数。
Phys Rev E. 2016 Nov;94(5-1):052118. doi: 10.1103/PhysRevE.94.052118. Epub 2016 Nov 10.
5
Time-Dependent Probability Density Functions and Attractor Structure in Self-Organised Shear Flows.自组织剪切流中的时间相关概率密度函数与吸引子结构
Entropy (Basel). 2018 Aug 17;20(8):613. doi: 10.3390/e20080613.
6
Solving the inverse problem of time independent Fokker-Planck equation with a self supervised neural network method.用自监督神经网络方法求解时间无关福克-普朗克方程的逆问题。
Sci Rep. 2021 Jul 30;11(1):15540. doi: 10.1038/s41598-021-94712-5.
7
Signature of nonlinear damping in geometric structure of a nonequilibrium process.非平衡过程几何结构中非线性阻尼的特征
Phys Rev E. 2017 Feb;95(2-1):022137. doi: 10.1103/PhysRevE.95.022137. Epub 2017 Feb 27.
8
A stochastic model of edge-localized modes in magnetically confined plasmas.磁约束等离子体中边缘局域模的随机模型。
Philos Trans A Math Phys Eng Sci. 2023 Feb 20;381(2242):20210226. doi: 10.1098/rsta.2021.0226. Epub 2023 Jan 2.
9
Information Geometry, Fluctuations, Non-Equilibrium Thermodynamics, and Geodesics in Complex Systems.信息几何、涨落、非平衡热力学与复杂系统中的测地线
Entropy (Basel). 2021 Oct 24;23(11):1393. doi: 10.3390/e23111393.
10
Investigating Information Geometry in Classical and Quantum Systems through Information Length.通过信息长度研究经典和量子系统中的信息几何。
Entropy (Basel). 2018 Aug 3;20(8):574. doi: 10.3390/e20080574.

引用本文的文献

1
Information Geometry Theoretic Measures for Characterizing Neural Information Processing from Simulated EEG Signals.用于从模拟脑电图信号中表征神经信息处理的信息几何理论测度
Entropy (Basel). 2024 Feb 28;26(3):213. doi: 10.3390/e26030213.
2
Stochastic Dynamics of Fusion Low-to-High Confinement Mode (L-H) Transition: Correlation and Causal Analyses Using Information Geometry.聚变低约束模式向高约束模式(L-H 转换)的随机动力学:基于信息几何的相关性和因果分析
Entropy (Basel). 2023 Dec 22;26(1):17. doi: 10.3390/e26010017.
3
Effects of Stochastic Noises on Limit-Cycle Oscillations and Power Losses in Fusion Plasmas and Information Geometry.

本文引用的文献

1
Stochastic differential equation model of Covid-19: Case study of Pakistan.新冠疫情的随机微分方程模型:以巴基斯坦为例的案例研究。
Results Phys. 2022 Mar;34:105218. doi: 10.1016/j.rinp.2022.105218. Epub 2022 Jan 22.
2
Information Geometry, Fluctuations, Non-Equilibrium Thermodynamics, and Geodesics in Complex Systems.信息几何、涨落、非平衡热力学与复杂系统中的测地线
Entropy (Basel). 2021 Oct 24;23(11):1393. doi: 10.3390/e23111393.
3
Causal Information Rate.因果信息率
随机噪声对聚变等离子体中极限环振荡和功率损耗的影响以及信息几何
Entropy (Basel). 2023 Apr 15;25(4):664. doi: 10.3390/e25040664.
Entropy (Basel). 2021 Aug 21;23(8):1087. doi: 10.3390/e23081087.
4
Information Geometric Theory in the Prediction of Abrupt Changes in System Dynamics.系统动力学突变预测中的信息几何理论
Entropy (Basel). 2021 May 31;23(6):694. doi: 10.3390/e23060694.
5
Comparing Information Metrics for a Coupled Ornstein-Uhlenbeck Process.比较耦合奥恩斯坦-乌伦贝克过程的信息度量
Entropy (Basel). 2019 Aug 8;21(8):775. doi: 10.3390/e21080775.
6
Investigating Information Geometry in Classical and Quantum Systems through Information Length.通过信息长度研究经典和量子系统中的信息几何。
Entropy (Basel). 2018 Aug 3;20(8):574. doi: 10.3390/e20080574.
7
Information geometry aspects of minimum entropy production paths from quantum mechanical evolutions.量子力学演化中最小熵产生路径的信息几何方面。
Phys Rev E. 2020 Feb;101(2-1):022110. doi: 10.1103/PhysRevE.101.022110.
8
Geometric structure and information change in phase transitions.相变中的几何结构和信息变化。
Phys Rev E. 2017 Jun;95(6-1):062107. doi: 10.1103/PhysRevE.95.062107. Epub 2017 Jun 6.
9
Signature of nonlinear damping in geometric structure of a nonequilibrium process.非平衡过程几何结构中非线性阻尼的特征
Phys Rev E. 2017 Feb;95(2-1):022137. doi: 10.1103/PhysRevE.95.022137. Epub 2017 Feb 27.
10
Time-dependent probability density function in cubic stochastic processes.立方随机过程中的时间相关概率密度函数。
Phys Rev E. 2016 Nov;94(5-1):052118. doi: 10.1103/PhysRevE.94.052118. Epub 2016 Nov 10.