• 文献检索
  • 文档翻译
  • 深度研究
  • 学术资讯
  • Suppr Zotero 插件Zotero 插件
  • 邀请有礼
  • 套餐&价格
  • 历史记录
应用&插件
Suppr Zotero 插件Zotero 插件浏览器插件Mac 客户端Windows 客户端微信小程序
定价
高级版会员购买积分包购买API积分包
服务
文献检索文档翻译深度研究API 文档MCP 服务
关于我们
关于 Suppr公司介绍联系我们用户协议隐私条款
关注我们

Suppr 超能文献

核心技术专利:CN118964589B侵权必究
粤ICP备2023148730 号-1Suppr @ 2026

文献检索

告别复杂PubMed语法,用中文像聊天一样搜索,搜遍4000万医学文献。AI智能推荐,让科研检索更轻松。

立即免费搜索

文件翻译

保留排版,准确专业,支持PDF/Word/PPT等文件格式,支持 12+语言互译。

免费翻译文档

深度研究

AI帮你快速写综述,25分钟生成高质量综述,智能提取关键信息,辅助科研写作。

立即免费体验

治疗性教育机器人增强肥胖管理中的社交互动。

Therapeutic educational robot enhancing social interactions in the management of obesity.

作者信息

Prosperi Enrico, Guidi Giada, Napoli Christian, Gnessi Lucio, Iocchi Luca

机构信息

Società Italiana di Educazione Terapeutica, Roma, Italy.

Dip. di Ingegneria Informatica Automatica e Gestionale, Sapienza Università di Roma, Roma, Italy.

出版信息

Front Robot AI. 2022 Aug 17;9:895039. doi: 10.3389/frobt.2022.895039. eCollection 2022.

DOI:10.3389/frobt.2022.895039
PMID:36059566
原文链接:https://pmc.ncbi.nlm.nih.gov/articles/PMC9428127/
Abstract

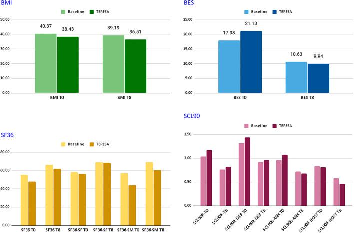
Obesity is a chronic multifactorial pathology determined by many factors, including incorrect eating habits and a low level of physical activity. There is an urgent need to promote a persistent change in lifestyle in obese subjects, but very few individuals maintain long-term results achieved after diet therapies. Therapeutic Education (TE) has taken over an important role as a multidisciplinary intervention aimed at improving lifestyle and at acquiring new skills for the management of the disease. However, only a small portion of patients can maintain participation in such programs and fully benefit from them. Assistive technologies, and in particular assistive social robots, are powerful tools to boost independence and improve participation in educational activities. The aim of the research work described in this article is to evaluate the effect of employing a social robot as a therapeutic educational robot helping the expert therapist in the education activity. This article describes the implementation, deployment, and evaluation of a social educational robot used as a TE assistant. Although we cannot provide statistically significant results due to the limited number of people involved in the experimental protocol, all experimental results show a positive trend, indicating that the robot can enhance the social interactions between the patients and the therapist and among the patients, thus bringing to better overall results of the TE sessions, measured with standard tests for obesity management.

摘要

肥胖是一种由多种因素决定的慢性多因素病理状态,这些因素包括不正确的饮食习惯和低水平的身体活动。迫切需要促使肥胖患者的生活方式发生持续改变,但很少有人能维持饮食疗法后取得的长期效果。治疗性教育(TE)作为一种多学科干预措施,在改善生活方式和获取疾病管理新技能方面发挥了重要作用。然而,只有一小部分患者能够持续参与此类项目并从中充分受益。辅助技术,尤其是辅助社交机器人,是增强独立性和提高教育活动参与度的有力工具。本文所述研究工作的目的是评估将社交机器人用作治疗性教育机器人在教育活动中协助专家治疗师的效果。本文描述了用作TE助手的社交教育机器人的实施、部署和评估。尽管由于参与实验方案的人数有限,我们无法提供具有统计学意义的结果,但所有实验结果均呈现出积极趋势,表明该机器人能够增强患者与治疗师之间以及患者之间的社交互动,从而使TE课程在肥胖管理标准测试中的整体效果更佳。

https://cdn.ncbi.nlm.nih.gov/pmc/blobs/2804/9428127/b9b22d82bb0b/frobt-09-895039-g005.jpg
https://cdn.ncbi.nlm.nih.gov/pmc/blobs/2804/9428127/fea26cebe2db/frobt-09-895039-g001.jpg
https://cdn.ncbi.nlm.nih.gov/pmc/blobs/2804/9428127/b7044ab3ea0b/frobt-09-895039-g002.jpg
https://cdn.ncbi.nlm.nih.gov/pmc/blobs/2804/9428127/aff04aafdd51/frobt-09-895039-g003.jpg
https://cdn.ncbi.nlm.nih.gov/pmc/blobs/2804/9428127/1a8d97dc3997/frobt-09-895039-g004.jpg
https://cdn.ncbi.nlm.nih.gov/pmc/blobs/2804/9428127/b9b22d82bb0b/frobt-09-895039-g005.jpg
https://cdn.ncbi.nlm.nih.gov/pmc/blobs/2804/9428127/fea26cebe2db/frobt-09-895039-g001.jpg
https://cdn.ncbi.nlm.nih.gov/pmc/blobs/2804/9428127/b7044ab3ea0b/frobt-09-895039-g002.jpg
https://cdn.ncbi.nlm.nih.gov/pmc/blobs/2804/9428127/aff04aafdd51/frobt-09-895039-g003.jpg
https://cdn.ncbi.nlm.nih.gov/pmc/blobs/2804/9428127/1a8d97dc3997/frobt-09-895039-g004.jpg
https://cdn.ncbi.nlm.nih.gov/pmc/blobs/2804/9428127/b9b22d82bb0b/frobt-09-895039-g005.jpg

相似文献

1
Therapeutic educational robot enhancing social interactions in the management of obesity.治疗性教育机器人增强肥胖管理中的社交互动。
Front Robot AI. 2022 Aug 17;9:895039. doi: 10.3389/frobt.2022.895039. eCollection 2022.
2
A motor learning therapeutic intervention for a child with cerebral palsy through a social assistive robot.通过社交辅助机器人对一名脑瘫儿童进行的运动学习治疗干预。
Disabil Rehabil Assist Technol. 2020 Apr;15(3):357-362. doi: 10.1080/17483107.2019.1578999. Epub 2019 Feb 26.
3
Child and parent perceptions of acceptability and therapeutic value of a socially assistive robot used during pediatric rehabilitation.儿童和家长对用于儿科康复的社交辅助机器人的可接受性和治疗价值的看法。
Disabil Rehabil. 2021 Jan;43(2):163-170. doi: 10.1080/09638288.2019.1617357. Epub 2019 May 23.
4
Improving therapeutic outcomes in autism spectrum disorders: Enhancing social communication and sensory processing through the use of interactive robots.改善自闭症谱系障碍的治疗效果:通过使用交互式机器人增强社交沟通和感觉处理能力。
J Psychiatr Res. 2017 Jul;90:1-11. doi: 10.1016/j.jpsychires.2017.02.004. Epub 2017 Feb 7.
5
The effectiveness of web-based programs on the reduction of childhood obesity in school-aged children: A systematic review.基于网络的项目对学龄儿童肥胖症减轻的有效性:一项系统评价。
JBI Libr Syst Rev. 2012;10(42 Suppl):1-14. doi: 10.11124/jbisrir-2012-248.
6
THERAPIST: Towards an Autonomous Socially Interactive Robot for Motor and Neurorehabilitation Therapies for Children.治疗师:致力于开发一款用于儿童运动和神经康复治疗的自主社交互动机器人。
JMIR Rehabil Assist Technol. 2014 Oct 7;1(1):e1. doi: 10.2196/rehab.3151.
7
Design, Manufacture, and Acceptance Evaluation of APO: A Lip-syncing Social Robot Developed for Lip-reading Training Programs.APO的设计、制造与验收评估:一款为唇读训练项目开发的口型同步社交机器人
Int J Soc Robot. 2022 Oct 28:1-15. doi: 10.1007/s12369-022-00933-7.
8
Acceptance of an assistive robot in older adults: a mixed-method study of human-robot interaction over a 1-month period in the Living Lab setting.老年人对辅助机器人的接受度:在生活实验室环境中进行为期 1 个月的人机交互混合方法研究。
Clin Interv Aging. 2014 May 8;9:801-11. doi: 10.2147/CIA.S56435. eCollection 2014.
9
Introducing CARESSER: A framework for in situ learning robot social assistance from expert knowledge and demonstrations.介绍CARESSER:一个用于从专家知识和示范中进行现场学习机器人社会辅助的框架。
User Model User-adapt Interact. 2023;33(2):441-496. doi: 10.1007/s11257-021-09316-5. Epub 2022 Mar 12.
10
Using robots in "Hands-on" academic activities: a case study examining speech-generating device use and required skills.在“实践操作”学术活动中使用机器人:一项关于语音生成设备使用及所需技能的案例研究。
Disabil Rehabil Assist Technol. 2016;11(5):433-43. doi: 10.3109/17483107.2014.986224. Epub 2014 Dec 11.

引用本文的文献

1
The Unrestrained Overeating Behavior and Clinical Perspective.暴饮暴食行为及临床观察
Adv Exp Med Biol. 2024;1460:167-198. doi: 10.1007/978-3-031-63657-8_6.

本文引用的文献

1
The importance of language in engagement between health-care professionals and people living with obesity: a joint consensus statement.语言在医患互动中的重要性:肥胖患者与医疗保健专业人员共同达成的共识声明。
Lancet Diabetes Endocrinol. 2020 May;8(5):447-455. doi: 10.1016/S2213-8587(20)30102-9.
2
Comparison of dietary macronutrient patterns of 14 popular named dietary programmes for weight and cardiovascular risk factor reduction in adults: systematic review and network meta-analysis of randomised trials.比较 14 种流行的成人减肥和心血管风险因素降低的特定膳食计划的膳食宏量营养素模式:随机试验的系统评价和网络荟萃分析。
BMJ. 2020 Apr 1;369:m696. doi: 10.1136/bmj.m696.
3
Joint international consensus statement for ending stigma of obesity.
《终止肥胖耻辱国际联合共识声明》
Nat Med. 2020 Apr;26(4):485-497. doi: 10.1038/s41591-020-0803-x. Epub 2020 Mar 4.
4
The Attitudes of Therapists and Physicians on the Use of Sex Robots in Sexual Therapy: Online Survey and Interview Study.治疗师和医生对性治疗中使用性爱机器人的态度:在线调查与访谈研究
J Med Internet Res. 2019 Aug 20;21(8):e13853. doi: 10.2196/13853.
5
Can social robots help children in healthcare contexts? A scoping review.社交机器人能在医疗环境中帮助儿童吗?一项范围综述。
BMJ Paediatr Open. 2019 Jan 31;3(1):e000371. doi: 10.1136/bmjpo-2018-000371. eCollection 2019.
6
Maintenance of Lost Weight and Long-Term Management of Obesity.体重维持与肥胖的长期管理。
Med Clin North Am. 2018 Jan;102(1):183-197. doi: 10.1016/j.mcna.2017.08.012.
7
Why Weight Loss Maintenance Is Difficult.为何维持体重减轻如此困难。
Diabetes Spectr. 2017 Aug;30(3):153-156. doi: 10.2337/ds017-0025.
8
Determinants of adherence to lifestyle intervention in adults with obesity: a systematic review.肥胖成年人生活方式干预依从性的决定因素:一项系统综述。
Clin Obes. 2017 Jun;7(3):123-135. doi: 10.1111/cob.12183. Epub 2017 Mar 15.
9
Attention-Deficit/Hyperactivity Disorder (ADHD) and Obesity: Update 2016.注意力缺陷多动障碍(ADHD)与肥胖:2016年更新
Curr Psychiatry Rep. 2017 Jan;19(1):4. doi: 10.1007/s11920-017-0754-1.
10
European Guidelines for Obesity Management in Adults.《欧洲成人肥胖管理指南》
Obes Facts. 2015;8(6):402-24. doi: 10.1159/000442721. Epub 2015 Dec 5.