• 文献检索
  • 文档翻译
  • 深度研究
  • 学术资讯
  • Suppr Zotero 插件Zotero 插件
  • 邀请有礼
  • 套餐&价格
  • 历史记录
应用&插件
Suppr Zotero 插件Zotero 插件浏览器插件Mac 客户端Windows 客户端微信小程序
定价
高级版会员购买积分包购买API积分包
服务
文献检索文档翻译深度研究API 文档MCP 服务
关于我们
关于 Suppr公司介绍联系我们用户协议隐私条款
关注我们

Suppr 超能文献

核心技术专利:CN118964589B侵权必究
粤ICP备2023148730 号-1Suppr @ 2026

文献检索

告别复杂PubMed语法,用中文像聊天一样搜索,搜遍4000万医学文献。AI智能推荐,让科研检索更轻松。

立即免费搜索

文件翻译

保留排版,准确专业,支持PDF/Word/PPT等文件格式,支持 12+语言互译。

免费翻译文档

深度研究

AI帮你快速写综述,25分钟生成高质量综述,智能提取关键信息,辅助科研写作。

立即免费体验

一项综合性的生物信息学分析,旨在鉴定髓系相关分化标志物作为非小细胞肺癌潜在的负预后生物标志物。

A Comprehensive Bioinformatic Analysis for Identification of Myeloid-Associated Differentiation Marker as a Potential Negative Prognostic Biomarker in Non-Small-Cell Lung Cancer.

机构信息

Department of Oncology, Zhongda Hospital, School of Medicine, Southeast University, Nanjing, China.

出版信息

Pathol Oncol Res. 2022 Aug 19;28:1610504. doi: 10.3389/pore.2022.1610504. eCollection 2022.

DOI:10.3389/pore.2022.1610504
PMID:36061144
原文链接:https://pmc.ncbi.nlm.nih.gov/articles/PMC9437211/
Abstract

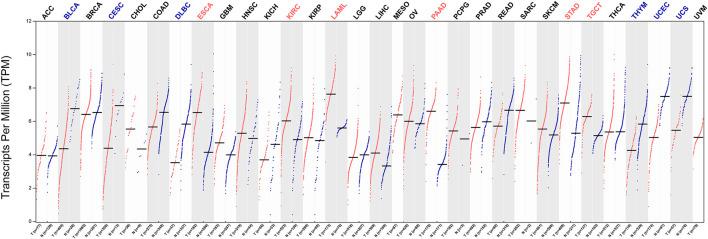
This study aimed to identify a molecular marker associated with the prognosis of non-small-cell lung cancer (NSCLC). The RNA sequencing data and clinical information of NSCLC patients were obtained from The Cancer Genome Atlas (TCGA) and the Gene Expression Omnibus (GEO). The weighted gene co-expression network analysis (WGCNA) was used to identify the co-expression gene modules and differentially expressed genes (DEGs) by comparing gene expression between NSCLC tumor tissues and normal tissues. Subsequently, the functional enrichment analysis of the DEGs was performed. Kaplan-Meier survival analysis and the GEPIA2 online tool were performed to investigate the relationship between the expression of these genes of interest and the survival of NSCLC patients, and to validate one most survival-relevent hub gene, as well as validated the hub gene using independent datasets from the GEO database. Further analysis was carried out to characterize the relationship between the hub gene and tumor immune cell infiltration, tumor mutation burden (TMB), microsatellite instability (MSI), and other known biomarkers of lung cancer. The related genes were screened by analyzing the protein-protein interaction (PPI) network and the survival model was constructed. GEPIA2 was applied in the potential analysis of pan-cancer biomarker of hub gene. 57 hub genes were found to be involved in intercellular connectivity from the 779 identified differentially co-expressed genes. Myeloid-associated differentiation marker () was strongly associated with overall survival (OS) and disease-free survival (DFS) of NSCLC patients, and high expression was associated with poor prognosis. Thus, was identified as a risk factor. Additionally, was validated as a survival risk factor in NSCLC patients in two independent datasets. Further analysis showed that was nagetively associated with TMB, and was positively correlated with macrophages, neutrophils, and dendritic cells, suggesting its role in regulating tumor immunity. The expression differed across many types of cancer and had the potential to serve as a pan-cancer marker. is an independent prognostic factor for NSCLC patients, which can predict the progression of cancer and play a role in the tumor immune cell infiltration in NSCLC.

摘要

本研究旨在鉴定与非小细胞肺癌(NSCLC)预后相关的分子标志物。从癌症基因组图谱(TCGA)和基因表达综合数据库(GEO)中获取 NSCLC 患者的 RNA 测序数据和临床信息。通过比较 NSCLC 肿瘤组织和正常组织中的基因表达,采用加权基因共表达网络分析(WGCNA)鉴定共表达基因模块和差异表达基因(DEGs)。随后,对 DEGs 进行功能富集分析。通过 Kaplan-Meier 生存分析和 GEPIA2 在线工具,研究这些感兴趣基因的表达与 NSCLC 患者生存之间的关系,并验证一个最具生存相关性的枢纽基因,同时使用 GEO 数据库中的独立数据集验证该枢纽基因。进一步分析以表征枢纽基因与肿瘤免疫细胞浸润、肿瘤突变负荷(TMB)、微卫星不稳定性(MSI)和其他已知肺癌生物标志物之间的关系。通过分析蛋白质-蛋白质相互作用(PPI)网络筛选相关基因,并构建生存模型。应用 GEPIA2 对枢纽基因的泛癌生物标志物进行潜在分析。从鉴定的 779 个差异共表达基因中筛选出 57 个与细胞间连接性相关的枢纽基因。髓系相关分化标志物()与 NSCLC 患者的总生存(OS)和无病生存(DFS)密切相关,高表达与预后不良相关,因此被鉴定为危险因素。此外,在两个独立的数据集验证了 是 NSCLC 患者的生存危险因素。进一步分析表明,与 TMB 呈负相关,与巨噬细胞、中性粒细胞和树突状细胞呈正相关,提示其在调节肿瘤免疫中的作用。在多种类型的癌症中,表达存在差异,具有作为泛癌标志物的潜力。 是 NSCLC 患者的独立预后因素,可预测癌症的进展,并在 NSCLC 肿瘤免疫细胞浸润中发挥作用。

https://cdn.ncbi.nlm.nih.gov/pmc/blobs/c5f1/9437211/653e9f728016/pore-28-1610504-g009.jpg
https://cdn.ncbi.nlm.nih.gov/pmc/blobs/c5f1/9437211/5b6f42ca160f/pore-28-1610504-g001.jpg
https://cdn.ncbi.nlm.nih.gov/pmc/blobs/c5f1/9437211/df87d3eea63b/pore-28-1610504-g002.jpg
https://cdn.ncbi.nlm.nih.gov/pmc/blobs/c5f1/9437211/eb51d2f0e033/pore-28-1610504-g003.jpg
https://cdn.ncbi.nlm.nih.gov/pmc/blobs/c5f1/9437211/75de3edbf51f/pore-28-1610504-g004.jpg
https://cdn.ncbi.nlm.nih.gov/pmc/blobs/c5f1/9437211/8b0b9c9ab982/pore-28-1610504-g005.jpg
https://cdn.ncbi.nlm.nih.gov/pmc/blobs/c5f1/9437211/5af63755c1f6/pore-28-1610504-g006.jpg
https://cdn.ncbi.nlm.nih.gov/pmc/blobs/c5f1/9437211/42932d7b55ba/pore-28-1610504-g007.jpg
https://cdn.ncbi.nlm.nih.gov/pmc/blobs/c5f1/9437211/45794205c34a/pore-28-1610504-g008.jpg
https://cdn.ncbi.nlm.nih.gov/pmc/blobs/c5f1/9437211/653e9f728016/pore-28-1610504-g009.jpg
https://cdn.ncbi.nlm.nih.gov/pmc/blobs/c5f1/9437211/5b6f42ca160f/pore-28-1610504-g001.jpg
https://cdn.ncbi.nlm.nih.gov/pmc/blobs/c5f1/9437211/df87d3eea63b/pore-28-1610504-g002.jpg
https://cdn.ncbi.nlm.nih.gov/pmc/blobs/c5f1/9437211/eb51d2f0e033/pore-28-1610504-g003.jpg
https://cdn.ncbi.nlm.nih.gov/pmc/blobs/c5f1/9437211/75de3edbf51f/pore-28-1610504-g004.jpg
https://cdn.ncbi.nlm.nih.gov/pmc/blobs/c5f1/9437211/8b0b9c9ab982/pore-28-1610504-g005.jpg
https://cdn.ncbi.nlm.nih.gov/pmc/blobs/c5f1/9437211/5af63755c1f6/pore-28-1610504-g006.jpg
https://cdn.ncbi.nlm.nih.gov/pmc/blobs/c5f1/9437211/42932d7b55ba/pore-28-1610504-g007.jpg
https://cdn.ncbi.nlm.nih.gov/pmc/blobs/c5f1/9437211/45794205c34a/pore-28-1610504-g008.jpg
https://cdn.ncbi.nlm.nih.gov/pmc/blobs/c5f1/9437211/653e9f728016/pore-28-1610504-g009.jpg

相似文献

1
A Comprehensive Bioinformatic Analysis for Identification of Myeloid-Associated Differentiation Marker as a Potential Negative Prognostic Biomarker in Non-Small-Cell Lung Cancer.一项综合性的生物信息学分析,旨在鉴定髓系相关分化标志物作为非小细胞肺癌潜在的负预后生物标志物。
Pathol Oncol Res. 2022 Aug 19;28:1610504. doi: 10.3389/pore.2022.1610504. eCollection 2022.
2
Identification and validation of key genes with prognostic value in non-small-cell lung cancer via integrated bioinformatics analysis.通过综合生物信息学分析鉴定和验证非小细胞肺癌中具有预后价值的关键基因。
Thorac Cancer. 2020 Apr;11(4):851-866. doi: 10.1111/1759-7714.13298. Epub 2020 Feb 14.
3
Significance of as a biomarker for clinical prognosis, immune infiltration, and drug therapy in lung squamous cell carcinoma.在肺鳞状细胞癌中,作为临床预后、免疫浸润和药物治疗的生物标志物的意义。
PeerJ. 2024 May 1;12:e17338. doi: 10.7717/peerj.17338. eCollection 2024.
4
Investigation of Potential Mechanisms Associated with Non-small Cell Lung Cancer.非小细胞肺癌相关潜在机制的研究。
J Comput Biol. 2020 Sep;27(9):1433-1442. doi: 10.1089/cmb.2019.0081. Epub 2020 Feb 12.
5
Identifying the hub genes in non-small cell lung cancer by integrated bioinformatics methods and analyzing the prognostic values.通过综合生物信息学方法鉴定非小细胞肺癌的枢纽基因并分析其预后价值。
Pathol Res Pract. 2021 Dec;228:153654. doi: 10.1016/j.prp.2021.153654. Epub 2021 Oct 13.
6
Bioinformatic analysis revealing mitotic spindle assembly regulated NDC80 and MAD2L1 as prognostic biomarkers in non-small cell lung cancer development.生物信息学分析揭示有丝分裂纺锤体组装调节 NDC80 和 MAD2L1 作为非小细胞肺癌发展的预后生物标志物。
BMC Med Genomics. 2020 Aug 14;13(1):112. doi: 10.1186/s12920-020-00762-5.
7
Identification and validation of key genes associated with non-small-cell lung cancer.鉴定和验证与非小细胞肺癌相关的关键基因。
J Cell Physiol. 2019 Dec;234(12):22742-22752. doi: 10.1002/jcp.28839. Epub 2019 May 24.
8
Identification and Integrated Analysis of Key Biomarkers for Diagnosis and Prognosis of Non-Small Cell Lung Cancer.非小细胞肺癌诊断和预后的关键生物标志物的鉴定和综合分析。
Med Sci Monit. 2019 Dec 5;25:9280-9289. doi: 10.12659/MSM.918620.
9
GOLM1 predicts poor prognosis of patients with NSCLC and is associated with the proliferation and chemo-sensitivity of cisplatin in NSCLC cells: bioinformatics analysis and laboratory validation.GOLM1 预测 NSCLC 患者的预后不良,并与 NSCLC 细胞中顺铂的增殖和化疗敏感性相关:生物信息学分析和实验室验证。
J Bioenerg Biomembr. 2021 Apr;53(2):177-189. doi: 10.1007/s10863-021-09875-7. Epub 2021 Feb 4.
10
The Role of CEP55 Expression in Tumor Immune Response and Prognosis of Patients with Non-small Cell lung Cancer.CEP55表达在非小细胞肺癌患者肿瘤免疫反应及预后中的作用
Arch Iran Med. 2022 Jul 1;25(7):432-442. doi: 10.34172/aim.2022.72.

引用本文的文献

1
Constructing a Prognostic Model for Non-Small-Cell Lung Cancer Risk Based on Genes Characterising the Differentiation of Myeloid-Derived Suppressor Cells.基于表征髓源性抑制细胞分化的基因构建非小细胞肺癌风险预后模型。
Int J Mol Sci. 2025 May 14;26(10):4679. doi: 10.3390/ijms26104679.
2
Timp2 loss-of-function mutation and TIMP2 treatment in a murine model of NSCLC: Modulation of immunosuppression and oncogenic signaling.非小细胞肺癌小鼠模型中的Timp2功能丧失突变与TIMP2治疗:免疫抑制和致癌信号的调节
Transl Oncol. 2025 Mar;53:102309. doi: 10.1016/j.tranon.2025.102309. Epub 2025 Feb 3.
3
Genomic profiling of NSCLC tumors with the TruSight oncology 500 assay provides broad coverage of clinically actionable genomic alterations and detection of known and novel associations between genomic alterations, TMB, and PD-L1.

本文引用的文献

1
Rac1, A Potential Target for Tumor Therapy.Rac1,一种肿瘤治疗的潜在靶点。
Front Oncol. 2021 May 17;11:674426. doi: 10.3389/fonc.2021.674426. eCollection 2021.
2
High tumor mutation burden fails to predict immune checkpoint blockade response across all cancer types.高肿瘤突变负担未能预测所有癌症类型的免疫检查点阻断反应。
Ann Oncol. 2021 May;32(5):661-672. doi: 10.1016/j.annonc.2021.02.006. Epub 2021 Mar 15.
3
Soluble intercellular cell adhesion molecule-1 in lung cancer: A meta-analysis.可溶性细胞间黏附分子-1 在肺癌中的作用:一项荟萃分析。
采用TruSight肿瘤500检测法对非小细胞肺癌(NSCLC)肿瘤进行基因组分析,可广泛覆盖具有临床可操作性的基因组改变,并检测基因组改变、肿瘤突变负荷(TMB)和程序性死亡受体配体1(PD-L1)之间已知和新发现的关联。
Front Oncol. 2024 Nov 27;14:1473327. doi: 10.3389/fonc.2024.1473327. eCollection 2024.
4
Identification and Validation of MYADM as a Novel Prognostic Marker Related to EMT in ESCC.鉴定与验证MYADM作为一种与食管鳞状细胞癌上皮-间质转化相关的新型预后标志物
J Cancer. 2024 Aug 19;15(16):5351-5366. doi: 10.7150/jca.88767. eCollection 2024.
5
Research advances of MAL family members in tumorigenesis and tumor progression (Review).MAL 家族成员在肿瘤发生和肿瘤进展中的研究进展(综述)。
Mol Med Rep. 2024 Apr;29(4). doi: 10.3892/mmr.2024.13181. Epub 2024 Feb 16.
6
loss-of-function mutation and TIMP2 treatment in murine model of NSCLC: modulation of immunosuppression and oncogenic signaling.非小细胞肺癌小鼠模型中的功能丧失突变与TIMP2治疗:免疫抑制和致癌信号传导的调节
bioRxiv. 2023 Dec 29:2023.12.29.573636. doi: 10.1101/2023.12.29.573636.
7
Myeloid-associated differentiation marker is associated with type 2 asthma and is upregulated by human rhinovirus infection.髓系相关分化标志物与 2 型哮喘相关,并且可被人类鼻病毒感染上调。
Front Immunol. 2023 Aug 11;14:1237683. doi: 10.3389/fimmu.2023.1237683. eCollection 2023.
Pathol Res Pract. 2020 Oct;216(10):153029. doi: 10.1016/j.prp.2020.153029. Epub 2020 May 23.
4
Study and detection of potential markers for predicting metastasis into lymph nodes in prostate cancer.研究和检测前列腺癌淋巴结转移潜在标志物。
Biomark Med. 2020 Oct;14(14):1317-1327. doi: 10.2217/bmm-2020-0372. Epub 2020 Aug 17.
5
Influence of cytoskeleton organization on recombinant protein expression by CHO cells.细胞骨架组织对 CHO 细胞表达重组蛋白的影响。
Biotechnol Bioeng. 2020 Apr;117(4):1117-1126. doi: 10.1002/bit.27277. Epub 2020 Feb 23.
6
Overexpression of transcription factor Foxa1 and target genes remediate therapeutic protein production bottlenecks in Chinese hamster ovary cells.转录因子 Foxa1 和靶基因的过表达可缓解中国仓鼠卵巢细胞中治疗性蛋白生产的瓶颈。
Biotechnol Bioeng. 2020 Apr;117(4):1101-1116. doi: 10.1002/bit.27274. Epub 2020 Feb 23.
7
Accurate and Efficient -value Calculation via Gaussian Approximation: a Novel Monte-Carlo Method.通过高斯近似进行准确高效的价值计算:一种新型蒙特卡罗方法。
J Am Stat Assoc. 2019;114(525):384-392. doi: 10.1080/01621459.2017.1407776. Epub 2018 Jun 28.
8
African American Specific Gene Panel Predictive of Poor Prostate Cancer Outcome.非洲裔美国人特异性基因panel 预测前列腺癌预后不良。
J Urol. 2019 Aug;202(2):247-255. doi: 10.1097/JU.0000000000000193. Epub 2019 Jul 8.
9
USP49 participates in the DNA damage response by forming a positive feedback loop with p53.USP49 通过与 p53 形成正反馈环参与 DNA 损伤反应。
Cell Death Dis. 2018 May 1;9(5):553. doi: 10.1038/s41419-018-0475-3.
10
Cell-Cell Junctions Organize Structural and Signaling Networks.细胞-细胞连接组织结构和信号网络。
Cold Spring Harb Perspect Biol. 2018 Apr 2;10(4):a029181. doi: 10.1101/cshperspect.a029181.