Suppr超能文献

贲门失弛缓症患者对新冠疫情的认知及其对胃肠道症状的影响:一项概念验证研究

Perception of the COVID-19 pandemic in patients with achalasia and its impact on gastrointestinal symptoms: a proof-of-concept study.

作者信息

Ruggiero Luigi, Iovino Paola, Ameno Chiara, Palma Rossella, Santonicola Antonella

机构信息

Gastrointestinal Unit, Department of Medicine, Surgery and Dentistry, Scuola Medica Salernitana, University of Salerno, Baronissi (Luigi Ruggiero, Paola Iovino, Chiara Ameno, Antonella Santonicola).

Department of Surgical Sciences, "Sapienza" University of Rome, Rome (Rossella Palma), Italy.

出版信息

Ann Gastroenterol. 2022 Sep-Oct;35(5):489-495. doi: 10.20524/aog.2022.0740. Epub 2022 Jul 30.

Abstract

BACKGROUND

Currently, no data are available on COVID-19 pandemic perception in patients with achalasia. We evaluated how the COVID-19 lockdown was perceived by these patients and its impact on their upper gastrointestinal symptoms.

METHODS

COVID-19 perception was assessed in 64 patients with achalasia using a previously published survey. Upper gastrointestinal symptoms were assessed using a standardized questionnaire and the results were compared to those obtained before the COVID-19 pandemic. All questionnaires were administered by telephone/video calls during the second Italian lockdown.

RESULTS

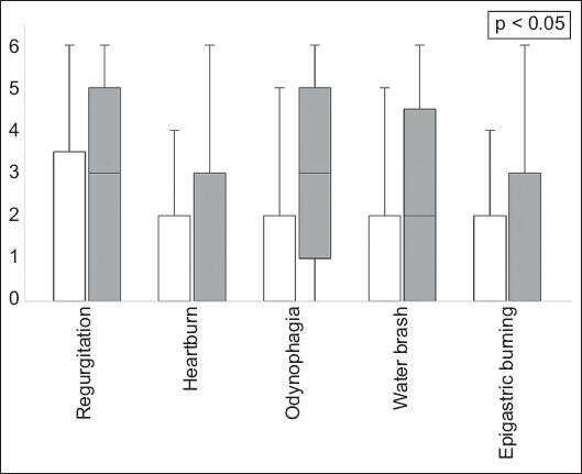
Fifty-one patients (79.7%) responded to the survey. For the question "On a 0-100 scale, how worried are you about the COVID-19 pandemic?" the mean score was 72.8±27.1, and 64.7% of patients with achalasia gave a score >60 on a visual analog scale of 0-100. In addition, those who considered themselves more vulnerable or anxious about contracting the infection than the general population, showed a significantly higher score for COVID-19 fear compared to those who felt less vulnerable or anxious (79.7±27.6 vs. 62.5±23.6, P=0.027; 80.9±19.6 vs. 57.1±33.1, P=0.002, respectively). The selected patients (n=29), who had not undergone any change in medical/surgical treatment for at least one year before the COVID-19 pandemic, had a significant worsening of the intensity-frequency score of regurgitation, heartburn, odynophagia, water brash, and epigastric burning during the lockdown (P<0.05). Finally, 75% of the patients were very interested in using Telemedicine.

CONCLUSIONS

The COVID-19 lockdown had a significant impact on the psychological aspects and upper gastrointestinal symptoms of patients with achalasia. Telemedicine might represent a follow-up strategy.

摘要

背景

目前,关于贲门失弛缓症患者对新冠疫情的认知尚无相关数据。我们评估了这些患者对新冠疫情封锁措施的认知情况及其对其上消化道症状的影响。

方法

采用先前发表的调查问卷对64例贲门失弛缓症患者的新冠疫情认知情况进行评估。使用标准化问卷评估上消化道症状,并将结果与新冠疫情之前获得的结果进行比较。在意大利第二次封锁期间,所有问卷均通过电话/视频通话方式进行发放。

结果

51例患者(79.7%)回复了调查问卷。对于“在0至100分的量表上,你对新冠疫情有多担心?”这一问题,平均得分为72.8±27.1,64.7%的贲门失弛缓症患者在0至100的视觉模拟量表上给出的分数>60分。此外,那些认为自己比普通人群更容易感染或对感染更焦虑的患者,与那些感觉感染风险较低或焦虑程度较低的患者相比,对新冠疫情的恐惧得分显著更高(分别为79.7±27.6 vs. 62.5±23.6,P=0.027;80.9±19.6 vs. 57.1±33.1,P=0.002)。所选患者(n=29)在新冠疫情之前至少一年未接受任何药物/手术治疗,在封锁期间反流、烧心、吞咽痛、反酸和上腹部烧灼感的强度-频率评分显著恶化(P<0.05)。最后,75%的患者对使用远程医疗非常感兴趣。

结论

新冠疫情封锁措施对贲门失弛缓症患者的心理方面和上消化道症状产生了重大影响。远程医疗可能是一种随访策略。

https://cdn.ncbi.nlm.nih.gov/pmc/blobs/a1ed/9399568/acd7e8874135/AnnGastroenterol-35-489-g005.jpg

文献AI研究员

20分钟写一篇综述,助力文献阅读效率提升50倍。

立即体验

用中文搜PubMed

大模型驱动的PubMed中文搜索引擎

马上搜索

文档翻译

学术文献翻译模型,支持多种主流文档格式。

立即体验