• 文献检索
  • 文档翻译
  • 深度研究
  • 学术资讯
  • Suppr Zotero 插件Zotero 插件
  • 邀请有礼
  • 套餐&价格
  • 历史记录
应用&插件
Suppr Zotero 插件Zotero 插件浏览器插件Mac 客户端Windows 客户端微信小程序
定价
高级版会员购买积分包购买API积分包
服务
文献检索文档翻译深度研究API 文档MCP 服务
关于我们
关于 Suppr公司介绍联系我们用户协议隐私条款
关注我们

Suppr 超能文献

核心技术专利:CN118964589B侵权必究
粤ICP备2023148730 号-1Suppr @ 2026

文献检索

告别复杂PubMed语法,用中文像聊天一样搜索,搜遍4000万医学文献。AI智能推荐,让科研检索更轻松。

立即免费搜索

文件翻译

保留排版,准确专业,支持PDF/Word/PPT等文件格式,支持 12+语言互译。

免费翻译文档

深度研究

AI帮你快速写综述,25分钟生成高质量综述,智能提取关键信息,辅助科研写作。

立即免费体验

新型大块充填型流动复合树脂聚合收缩率与其他复合材料的比较:一项体外研究。

Comparison of polymerization shrinkage of a new bulk-fill flowable composite with other composites: An in vitro study.

机构信息

Department of Pediatric Dentistry, Alborz university of Medical Sciences, Karaj, Iran.

Student Research Committee, Alborz University of Medical Sciences, Karaj, Iran.

出版信息

Clin Exp Dent Res. 2022 Dec;8(6):1605-1613. doi: 10.1002/cre2.656. Epub 2022 Sep 5.

DOI:10.1002/cre2.656
PMID:36062844
原文链接:https://pmc.ncbi.nlm.nih.gov/articles/PMC9760135/
Abstract

OBJECTIVE

Since composites still face a critical problem called polymerization shrinkage and bulk-fill composites have reported acceptable results for this issue, this study aims to assess the polymerization shrinkage of a new bulk-fill flowable composite (G-aenial bulk injectable [GBI]) and compare it to other bulk-fill and conventional composites.

MATERIALS AND METHODS

In this in vitro study, 25 composite discs were fabricated using three bulk-fill and two conventional composites. They were bonded to a microscopic slide and were covered by a coverslip. This assembly was transferred to a linear variable differential transformer and composite samples were cured from underneath the slides. Dimensional changes formed in composite samples were recorded. Data were analyzed using analysis of variance followed by post hoc Tukey's and Dunnett's tests.

RESULTS

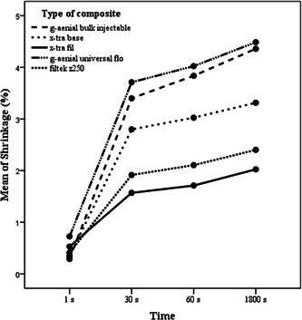
The groups were significantly different regarding polymerization shrinkage. G-aenial bulk injectable and G-aenial universal flo showed significantly higher polymerization shrinkage than other composites at 30, 60, and 1800 s after light irradiation, while X-tra fil and Filtek Z250 showed the lowest polymerization shrinkage at the aforementioned time points.

CONCLUSION

According to the results, the new composite had polymerization shrinkage similar to the conventional one. Bulk-fill composites reported similar or lower shrinkage to conventional composites.

摘要

目的

由于复合材料仍面临聚合收缩这一关键问题,而大量填充型复合材料在该问题上的报告结果可接受,本研究旨在评估一种新型大量填充型可流动复合材料(G-aenial bulk injectable [GBI])的聚合收缩情况,并将其与其他大量填充型和传统复合材料进行比较。

材料与方法

在这项体外研究中,使用三种大量填充型和两种传统复合材料制备了 25 个复合盘。将它们粘接到显微镜载玻片上,并盖上盖玻片。将该组件转移到线性可变差动变压器上,从载玻片下方对复合样品进行固化。记录复合样品中形成的尺寸变化。使用方差分析对数据进行分析,然后使用事后 Tukey 和 Dunnett 检验进行比较。

结果

各组在聚合收缩方面存在显著差异。在光照后 30、60 和 1800 秒时,G-aenial bulk injectable 和 G-aenial universal flo 的聚合收缩率明显高于其他复合材料,而 X-tra fil 和 Filtek Z250 在上述时间点的聚合收缩率最低。

结论

根据结果,新型复合材料的聚合收缩与传统复合材料相似。大量填充型复合材料的收缩率与传统复合材料相似或更低。

https://cdn.ncbi.nlm.nih.gov/pmc/blobs/2542/9760135/a41581221c1f/CRE2-8-1605-g001.jpg
https://cdn.ncbi.nlm.nih.gov/pmc/blobs/2542/9760135/a39663e96708/CRE2-8-1605-g004.jpg
https://cdn.ncbi.nlm.nih.gov/pmc/blobs/2542/9760135/5d9a0cd43c09/CRE2-8-1605-g002.jpg
https://cdn.ncbi.nlm.nih.gov/pmc/blobs/2542/9760135/913e72b6ba42/CRE2-8-1605-g003.jpg
https://cdn.ncbi.nlm.nih.gov/pmc/blobs/2542/9760135/a41581221c1f/CRE2-8-1605-g001.jpg
https://cdn.ncbi.nlm.nih.gov/pmc/blobs/2542/9760135/a39663e96708/CRE2-8-1605-g004.jpg
https://cdn.ncbi.nlm.nih.gov/pmc/blobs/2542/9760135/5d9a0cd43c09/CRE2-8-1605-g002.jpg
https://cdn.ncbi.nlm.nih.gov/pmc/blobs/2542/9760135/913e72b6ba42/CRE2-8-1605-g003.jpg
https://cdn.ncbi.nlm.nih.gov/pmc/blobs/2542/9760135/a41581221c1f/CRE2-8-1605-g001.jpg

相似文献

1
Comparison of polymerization shrinkage of a new bulk-fill flowable composite with other composites: An in vitro study.新型大块充填型流动复合树脂聚合收缩率与其他复合材料的比较:一项体外研究。
Clin Exp Dent Res. 2022 Dec;8(6):1605-1613. doi: 10.1002/cre2.656. Epub 2022 Sep 5.
2
Polymerization Shrinkage of Five Bulk-Fill Composite Resins in Comparison with a Conventional Composite Resin.五种大体积填充复合树脂与传统复合树脂的聚合收缩比较
J Dent (Tehran). 2018 Nov;15(6):365-374.
3
Polymerization shrinkage and depth of cure of bulk-fill resin composites and highly filled flowable resin.大块充填树脂复合材料和高填充可流动树脂的聚合收缩率及固化深度
Oper Dent. 2015 Mar-Apr;40(2):172-80. doi: 10.2341/13-307-L. Epub 2014 Aug 19.
4
Shrinkage stress and elastic modulus assessment of bulk-fill composites.块状充填复合材料的收缩应力和弹性模量评估。
J Appl Oral Sci. 2019 Jan 7;27:e20180132. doi: 10.1590/1678-7757-2018-0132.
5
Polymerization shrinkage and shrinkage force kinetics of high- and low-viscosity dimethacrylate- and ormocer-based bulk-fill resin composites.高、低粘度双甲基丙烯酸酯和有机硅烷基块状填充树脂复合材料的聚合收缩和收缩力动力学。
Odontology. 2019 Jan;107(1):103-110. doi: 10.1007/s10266-018-0369-y. Epub 2018 Jun 13.
6
Polymerization shrinkage, modulus, and shrinkage stress related to tooth-restoration interfacial debonding in bulk-fill composites.与大块充填复合材料中牙齿修复界面脱粘相关的聚合收缩、模量和收缩应力。
J Dent. 2015 Apr;43(4):430-9. doi: 10.1016/j.jdent.2015.02.002. Epub 2015 Feb 10.
7
Effect of layering methods, composite type, and flowable liner on the polymerization shrinkage stress of light cured composites.分层方法、复合材料类型和流动衬垫对光固化复合材料聚合收缩应力的影响。
Dent Mater. 2012 Jul;28(7):801-9. doi: 10.1016/j.dental.2012.04.028. Epub 2012 May 9.
8
Depth of Cure, Hardness, Roughness and Filler Dimension of Bulk-Fill Flowable, Conventional Flowable and High-Strength Universal Injectable Composites: An In Vitro Study.大块充填可流动、传统可流动及高强度通用注射型复合材料的固化深度、硬度、粗糙度及填料尺寸:一项体外研究
Nanomaterials (Basel). 2022 Jun 7;12(12):1951. doi: 10.3390/nano12121951.
9
Determination of polymerization shrinkage of different composites using a photoelastic method.使用光弹性方法测定不同复合材料的聚合收缩率。
Am J Dent. 2017 Feb;30(1):16-22.
10
Volumetric polymerization shrinkage and its comparison to internal adaptation in bulk fill and conventional composites: A μCT and OCT in vitro analysis.体积聚合收缩及其与大块充填和传统复合材料内部适应性的比较:μCT 和 OCT 体外分析。
Dent Mater. 2019 Nov;35(11):1568-1575. doi: 10.1016/j.dental.2019.07.025. Epub 2019 Sep 6.

引用本文的文献

1
Evaluation of cuspal deflection and fracture resistance of endodontically treated teeth restored with different restorative material combinations.不同修复材料组合修复的根管治疗牙的牙尖偏斜和抗折性评估。
Clin Oral Investig. 2025 Jul 9;29(8):380. doi: 10.1007/s00784-025-06452-9.
2
Evaluation of Proximal Contact Tightness in Anterior Resin Composite Restorations: A Comparative Study of Injectable, Flowable, and Universal Composites.前牙树脂复合材料修复体近端接触紧密性的评估:可注射型、流动型和通用型复合材料的比较研究
J Int Soc Prev Community Dent. 2025 Apr 30;15(2):144-154. doi: 10.4103/jispcd.jispcd_220_24. eCollection 2025 Mar-Apr.
3

本文引用的文献

1
Inorganic Fillers for Dental Resin Composites: Present and Future.牙科树脂复合材料的无机填料:现状与未来。
ACS Biomater Sci Eng. 2016 Jan 11;2(1):1-11. doi: 10.1021/acsbiomaterials.5b00401. Epub 2015 Dec 17.
2
Bulk Fill Composites Have Similar Performance to Conventional Dental Composites.大颗粒型复合树脂的性能与传统牙科复合树脂相当。
Int J Mol Sci. 2020 Jul 20;21(14):5136. doi: 10.3390/ijms21145136.
3
Shrinkage vectors in flowable bulk-fill and conventional composites: bulk versus incremental application.可流动型大体积充填与传统型复合树脂的收缩向量:整体与增量应用。
Fracture resistance of molars with class II MOD cavities restored with bulk-fill, no-cap flowable bulk-fill, and conventional resin composite restorative systems after 6-months water storage.
在储存6个月水后,用大块充填、无帽可流动大块充填和传统树脂复合材料修复系统修复的II类MOD洞磨牙的抗折性。
BMC Oral Health. 2025 May 20;25(1):741. doi: 10.1186/s12903-025-05951-1.
4
The Effect of Time Pressure on the Quality of Fillings and Arousal Levels of Dentists.时间压力对牙医补牙质量及唤醒水平的影响
Clin Exp Dent Res. 2025 Feb;11(1):e70106. doi: 10.1002/cre2.70106.
5
Effect of Glass Fiber Reinforcement on Marginal Microleakage in Class II Composite Restorations: An In Vitro Pilot Study.玻璃纤维增强对Ⅱ类复合树脂修复体边缘微渗漏的影响:一项体外初步研究。
Dent J (Basel). 2024 Dec 16;12(12):410. doi: 10.3390/dj12120410.
6
The germicidal effect, biosafety and mechanical properties of antibacterial resin composite in cavity filling.抗菌树脂复合材料在窝洞充填中的杀菌效果、生物安全性及力学性能
Heliyon. 2023 Aug 22;9(9):e19078. doi: 10.1016/j.heliyon.2023.e19078. eCollection 2023 Sep.
7
Bulk-Fill Resins versus Conventional Resins: An Umbrella Review.大容量充填树脂与传统树脂:一项系统评价。
Polymers (Basel). 2023 Jun 8;15(12):2613. doi: 10.3390/polym15122613.
8
Pre-orthodontic restorative treatment of microdontia diastema teeth using composite injection technique with a digital workflow-Case report.使用数字工作流程的复合注射技术对过小牙间隙牙进行正畸前修复治疗——病例报告
Heliyon. 2023 Apr 28;9(5):e15843. doi: 10.1016/j.heliyon.2023.e15843. eCollection 2023 May.
Clin Oral Investig. 2021 Mar;25(3):1127-1139. doi: 10.1007/s00784-020-03412-3. Epub 2020 Jul 11.
4
Evaluation of low-viscosity bulk-fill composites regarding marginal and internal adaptation.评价低黏度块状充填复合材料的边缘和内部适应性。
Odontology. 2021 Jan;109(1):139-148. doi: 10.1007/s10266-020-00531-x. Epub 2020 Jun 9.
5
Post-gel and Total Shrinkage Stress of Conventional and Bulk-fill Resin Composites in Endodontically-treated Molars.传统型和大块充填型树脂复合材料在根管治疗后的牙体中的胶凝后和总体收缩应力。
Oper Dent. 2020 Sep 1;45(5):E217-E226. doi: 10.2341/19-187-L.
6
Influence of Bulk-fill Restoration on Polymerization Shrinkage Stress and Marginal Gap Formation in Class V Restorations.块状充填修复对 V 类洞修复体聚合收缩应力和边缘微间隙形成的影响。
Oper Dent. 2020 Jul 1;45(4):E207-E216. doi: 10.2341/19-062-L.
7
Marginal integrity of flowable and packable bulk fill materials used for class II restorations -A systematic review and meta-analysis of in vitro studies.用于 II 类修复体的流动性和可压实型大体积充填材料的边缘完整性-体外研究的系统评价和荟萃分析。
Dent Mater J. 2020 Jun 5;39(3):335-344. doi: 10.4012/dmj.2018-180. Epub 2020 Jan 11.
8
Clinical performance and chemical-physical properties of bulk fill composites resin -a systematic review and meta-analysis.块状充填复合材料的临床性能和理化性能——系统评价和荟萃分析。
Dent Mater. 2019 Oct;35(10):e249-e264. doi: 10.1016/j.dental.2019.07.007. Epub 2019 Aug 14.
9
Evaluation of polymerization shrinkage of bulk-fill resin composites using microcomputed tomography.采用微计算机断层扫描评价块状填充型树脂复合材料的聚合收缩。
Clin Oral Investig. 2020 May;24(5):1687-1693. doi: 10.1007/s00784-019-03025-5. Epub 2019 Jul 25.
10
Evaluation of the Degree of Conversion, Residual Monomers and Mechanical Properties of Some Light-Cured Dental Resin Composites.某些光固化牙科树脂复合材料的转化率、残留单体及力学性能评估
Materials (Basel). 2019 Jun 30;12(13):2109. doi: 10.3390/ma12132109.