Suppr超能文献

使用非靶向液相色谱-质谱代谢组学来鉴定牛粪便中的生物标志物与大理石花纹标准腰大肌之间的关联。

Using Untargeted LC-MS Metabolomics to Identify the Association of Biomarkers in Cattle Feces with Marbling Standard Longissimus Lumborum.

作者信息

Chen Dong, Su Minchao, Zhu He, Zhong Gang, Wang Xiaoyan, Ma Weimin, Wanapat Metha, Tan Zhiliang

机构信息

College of Animal Science and Technology, Hunan Agricultural University, Changsha 410128, China.

College of Food Science and Engineering, Shandong Agriculture and Engineering University, Jinan 250100, China.

出版信息

Animals (Basel). 2022 Aug 30;12(17):2243. doi: 10.3390/ani12172243.

Abstract

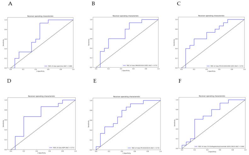
Background: To improve the grade of beef marbling has great economic value in the cattle industry since marbling has the traits of high quality and comprehensive nutrition. And because of the marbling’s importance and complexity, it is indispensable to explore marbled beef at multiple levels. This experiment studied the relationship between fecal metabolites and marbling characters, and further screened biomarkers. Results: We performed fecal metabolomics analysis on 30 individuals selected from 100 crossbreed cattle (Luxi Yellow cattle ♀ × Japanese Wagyu cattle ♂), 15 with an extremely high-grade marbling beef and 15 with an extremely low-grade marbling beef. A total of 9959 and 8389 m/z features were detected in positive ionization and negative ionization mode by liquid chromatography-mass spectrometry (LC-MS). Unfortunately, the sample separation in the PCA is not obvious, and the predictive ability of the orthogonal partial least squares discrimination analysis (OPLS-DA) model is not good. However, we got six differential metabolites filtered by VIP > 1 and p < 0.05. After that, we used weighted correlation network analysis (WGCNA) and found out a module in each positive and negative mode most related to the trait of marbling beef, and then identified three metabolites in positive mode. By further annotation of the Kyoto encyclopedia of genes and genomes (KEGG), it was found that these metabolites involved a variety of metabolic ways, including sphingomyelin metabolism, linoleic acid metabolism, glycerophospholipid metabolism, and so on. Finally, receiver operating characteristic (ROC) analysis was used to evaluate the predictability of metabolites, and the result showed that SM(d18:0/16:1(9Z)) (AUC = 0.72), PC(15:0/18:2(9Z,12Z)) (AUC = 0.72), ADP (AUC = 0.71), PC(16:0/16:0) (AUC = 0.73), and 3-O-Sulfogalactosylceramide (d18:1/18:0) (AUC = 0.69) have an accuracy diagnosis. Conclusions: In conclusion, this study supports new opinions for the successive evaluation of marbling beef through metabolites. Furthermore, six non-invasive fecal metabolites that can evaluate beef marbling grade were found, including SM(d18:0/16:1(9Z)), PC(15:0/18:2(9Z,12Z)), ADP, PC(16:0/16:0), and 3-O-Sulfogalactosylceramide.

摘要

背景

提高牛肉大理石花纹等级在养牛业中具有巨大的经济价值,因为大理石花纹具有高品质和营养全面的特点。由于大理石花纹的重要性和复杂性,从多个层面探索大理石花纹牛肉是必不可少的。本实验研究了粪便代谢物与大理石花纹特征之间的关系,并进一步筛选了生物标志物。结果:我们对从100头杂交牛(鲁西黄牛♀×日本和牛♂)中选出的30头牛进行了粪便代谢组学分析,其中15头大理石花纹牛肉等级极高,15头大理石花纹牛肉等级极低。通过液相色谱-质谱联用(LC-MS)在正离子和负离子模式下分别检测到9959和8389个m/z特征峰。遗憾的是,主成分分析(PCA)中的样本分离不明显,正交偏最小二乘法判别分析(OPLS-DA)模型的预测能力也不佳。然而,我们通过变量重要性投影(VIP)>1和p<0.05筛选出了6种差异代谢物。之后,我们使用加权基因共表达网络分析(WGCNA),在正、负模式下分别找出了与大理石花纹牛肉特征最相关的一个模块,然后在正模式下鉴定出3种代谢物。通过进一步对京都基因与基因组百科全书(KEGG)进行注释,发现这些代谢物涉及多种代谢途径,包括鞘磷脂代谢、亚油酸代谢、甘油磷脂代谢等。最后,使用受试者工作特征(ROC)分析来评估代谢物的预测能力,结果表明,SM(d18:0/16:1(9Z))(AUC = 0.72)、PC(15:0/18:2(9Z,12Z))(AUC = 0.72)、ADP(AUC = 0.71)、PC(16:0/16:0)(AUC = 0.73)和3-O-磺基半乳糖神经酰胺(d18:1/18:0)(AUC = 0.69)具有准确的诊断能力。结论:总之,本研究为通过代谢物对大理石花纹牛肉进行连续评估提供了新的观点。此外,还发现了6种可评估牛肉大理石花纹等级的非侵入性粪便代谢物,包括SM(d18:0/16:1(9Z))、PC(15:0/18:2(9Z,12Z))、ADP、PC(16:0/16:0)和3-O-磺基半乳糖神经酰胺。

https://cdn.ncbi.nlm.nih.gov/pmc/blobs/808a/9455031/b0e25a0d0714/animals-12-02243-g001.jpg

文献检索

告别复杂PubMed语法,用中文像聊天一样搜索,搜遍4000万医学文献。AI智能推荐,让科研检索更轻松。

立即免费搜索

文件翻译

保留排版,准确专业,支持PDF/Word/PPT等文件格式,支持 12+语言互译。

免费翻译文档

深度研究

AI帮你快速写综述,25分钟生成高质量综述,智能提取关键信息,辅助科研写作。

立即免费体验