• 文献检索
  • 文档翻译
  • 深度研究
  • 学术资讯
  • Suppr Zotero 插件Zotero 插件
  • 邀请有礼
  • 套餐&价格
  • 历史记录
应用&插件
Suppr Zotero 插件Zotero 插件浏览器插件Mac 客户端Windows 客户端微信小程序
定价
高级版会员购买积分包购买API积分包
服务
文献检索文档翻译深度研究API 文档MCP 服务
关于我们
关于 Suppr公司介绍联系我们用户协议隐私条款
关注我们

Suppr 超能文献

核心技术专利:CN118964589B侵权必究
粤ICP备2023148730 号-1Suppr @ 2026

文献检索

告别复杂PubMed语法,用中文像聊天一样搜索,搜遍4000万医学文献。AI智能推荐,让科研检索更轻松。

立即免费搜索

文件翻译

保留排版,准确专业,支持PDF/Word/PPT等文件格式,支持 12+语言互译。

免费翻译文档

深度研究

AI帮你快速写综述,25分钟生成高质量综述,智能提取关键信息,辅助科研写作。

立即免费体验

基质辅助激光解吸电离飞行时间/飞行时间质谱分析和从头肽序列分析直接鉴定尿路感染病原体。

Direct Identification of Urinary Tract Pathogens by MALDI-TOF/TOF Analysis and De Novo Peptide Sequencing.

机构信息

Novo Nordisk Foundation Center for Biosustainability, Technical University of Denmark, 2800 Lyngby, Denmark.

Division of Molecular Medicine, Ruđer Bošković Institute, Bijenička 54, 10000 Zagreb, Croatia.

出版信息

Molecules. 2022 Aug 25;27(17):5461. doi: 10.3390/molecules27175461.

DOI:10.3390/molecules27175461
PMID:36080229
原文链接:https://pmc.ncbi.nlm.nih.gov/articles/PMC9457756/
Abstract

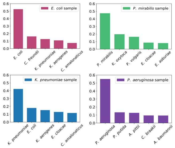
For mass spectrometry-based diagnostics of microorganisms, matrix-assisted laser desorption ionization time-of-flight mass spectrometry (MALDI-TOF MS) is currently routinely used to identify urinary tract pathogens. However, it requires a lengthy culture step for accurate pathogen identification, and is limited by a relatively small number of available species in peptide spectral libraries (≤3329). Here, we propose a method for pathogen identification that overcomes the above limitations, and utilizes the MALDI-TOF/TOF MS instrument. Tandem mass spectra of the analyzed peptides were obtained by chemically activated fragmentation, which allowed mass spectrometry analysis in negative and positive ion modes. Peptide sequences were elucidated de novo, and aligned with the non-redundant National Center for Biotechnology Information Reference Sequence Database (NCBI). For data analysis, we developed a custom program package that predicted peptide sequences from the negative and positive MS/MS spectra. The main advantage of this method over a conventional MALDI-TOF MS peptide analysis is identification in less than 24 h without a cultivation step. Compared to the limited identification with peptide spectra libraries, the NCBI database derived from genome sequencing currently contains 20,917 bacterial species, and is constantly expanding. This paper presents an accurate method that is used to identify pathogens grown on agar plates, and those isolated directly from urine samples, with high accuracy.

摘要

基于质谱的微生物诊断中,基质辅助激光解吸电离飞行时间质谱(MALDI-TOF MS)目前常用于鉴定尿路感染病原体。然而,它需要进行长时间的培养步骤才能进行准确的病原体鉴定,并且受到肽质谱库中可用物种数量相对较少的限制(≤3329)。在这里,我们提出了一种克服上述限制的病原体鉴定方法,该方法利用 MALDI-TOF/TOF MS 仪器。通过化学激活碎裂获得分析肽的串联质谱,允许在正负离子模式下进行质谱分析。通过从头解析肽序列,并与非冗余国家生物技术信息中心参考序列数据库(NCBI)对齐。为了进行数据分析,我们开发了一个自定义程序包,该程序包可从正负 MS/MS 光谱预测肽序列。与传统 MALDI-TOF MS 肽分析相比,该方法的主要优势在于无需培养步骤即可在 24 小时内完成鉴定。与肽质谱库有限的鉴定能力相比,源自基因组测序的 NCBI 数据库目前包含 20917 种细菌,并且还在不断扩大。本文提出了一种准确的方法,可用于鉴定在琼脂平板上生长的病原体以及直接从尿液样本中分离出的病原体,具有很高的准确性。

https://cdn.ncbi.nlm.nih.gov/pmc/blobs/29c6/9457756/9538af39c678/molecules-27-05461-g003.jpg
https://cdn.ncbi.nlm.nih.gov/pmc/blobs/29c6/9457756/e1071ffc1df3/molecules-27-05461-g001.jpg
https://cdn.ncbi.nlm.nih.gov/pmc/blobs/29c6/9457756/b3e0238c3149/molecules-27-05461-g002.jpg
https://cdn.ncbi.nlm.nih.gov/pmc/blobs/29c6/9457756/9538af39c678/molecules-27-05461-g003.jpg
https://cdn.ncbi.nlm.nih.gov/pmc/blobs/29c6/9457756/e1071ffc1df3/molecules-27-05461-g001.jpg
https://cdn.ncbi.nlm.nih.gov/pmc/blobs/29c6/9457756/b3e0238c3149/molecules-27-05461-g002.jpg
https://cdn.ncbi.nlm.nih.gov/pmc/blobs/29c6/9457756/9538af39c678/molecules-27-05461-g003.jpg

相似文献

1
Direct Identification of Urinary Tract Pathogens by MALDI-TOF/TOF Analysis and De Novo Peptide Sequencing.基质辅助激光解吸电离飞行时间/飞行时间质谱分析和从头肽序列分析直接鉴定尿路感染病原体。
Molecules. 2022 Aug 25;27(17):5461. doi: 10.3390/molecules27175461.
2
A Matrix-Assisted Laser Desorption Ionization-Time of Flight Mass Spectrometry Direct-from-Urine-Specimen Diagnostic for Gram-Negative Pathogens.基质辅助激光解吸电离飞行时间质谱技术直接检测尿液样本中的革兰氏阴性病原体
Microbiol Spectr. 2022 Dec 21;10(6):e0373022. doi: 10.1128/spectrum.03730-22. Epub 2022 Oct 18.
3
Chemically-assisted fragmentation combined with multi-dimensional liquid chromatography and matrix-assisted laser desorption/ionization post source decay, matrix-assisted laser desorption/ionization tandem time-of flight or matrix-assisted laser desorption/ionization tandem mass spectrometry for improved sequencing of tryptic peptides.化学辅助碎裂结合多维液相色谱和基质辅助激光解吸/电离源后衰变、基质辅助激光解吸/电离串联飞行时间或基质辅助激光解吸/电离串联质谱用于改进胰蛋白酶肽段的测序。
Eur J Mass Spectrom (Chichester). 2005;11(2):169-79. doi: 10.1255/ejms.734.
4
Direct identification of urinary tract pathogens from urine samples by matrix-assisted laser desorption ionization-time of flight mass spectrometry.基质辅助激光解吸电离飞行时间质谱法直接从尿液样本中鉴定尿路感染病原体。
J Clin Microbiol. 2010 Jun;48(6):2110-5. doi: 10.1128/JCM.02215-09. Epub 2010 Apr 14.
5
Identification of bacterial pathogens in cultured fish with a custom peptide database constructed by matrix-assisted laser desorption/ionization time-of-flight mass spectrometry (MALDI-TOF MS).利用基质辅助激光解吸电离飞行时间质谱(MALDI-TOF MS)构建的定制肽数据库鉴定养殖鱼类中的细菌病原体。
BMC Vet Res. 2020 Feb 11;16(1):52. doi: 10.1186/s12917-020-2274-1.
6
Improved protein identification efficiency by mass spectrometry using N-terminal chemical derivatization of peptides from Angiostrongylus costaricensis, a nematode with unknown genome.利用对来自哥斯达黎加管圆线虫(一种基因组未知的线虫)的肽段进行N端化学衍生化,通过质谱法提高蛋白质鉴定效率。
J Mass Spectrom. 2007 Oct;42(10):1363-74. doi: 10.1002/jms.1324.
7
Matrix-assisted laser desorption/ionization-tandem mass spectrometry with high resolution and sensitivity for identification and characterization of proteins.具有高分辨率和灵敏度的基质辅助激光解吸/电离串联质谱法用于蛋白质的鉴定和表征。
Proteomics. 2002 Jul;2(7):868-76. doi: 10.1002/1615-9861(200207)2:7<868::AID-PROT868>3.0.CO;2-D.
8
Improved protein identification efficiency by mass spectrometry using N-terminal chemical derivatization of peptides from Angiostrongylus costaricensis, a nematode with unknown genome.通过对哥斯达黎加管圆线虫(一种基因组未知的线虫)肽段进行N端化学衍生化,利用质谱法提高蛋白质鉴定效率。
J Mass Spectrom. 2007 Jun;42(6):781-92. doi: 10.1002/jms.1214.
9
A case study of de novo sequence analysis of N-sulfonated peptides by MALDI TOF/TOF mass spectrometry.通过基质辅助激光解吸电离飞行时间串联质谱法对N-磺化肽进行从头测序分析的案例研究。
J Am Soc Mass Spectrom. 2004 Dec;15(12):1838-52. doi: 10.1016/j.jasms.2004.08.010.
10
MALDI-TOF mass spectrometry following short incubation on a solid medium is a valuable tool for rapid pathogen identification from positive blood cultures.在固体培养基上短暂培养后进行基质辅助激光解吸电离飞行时间质谱分析,是从阳性血培养物中快速鉴定病原体的一项重要工具。
Int J Med Microbiol. 2015 Jun-Aug;305(4-5):469-79. doi: 10.1016/j.ijmm.2015.04.004. Epub 2015 Apr 27.

引用本文的文献

1
Comprehensive insights into UTIs: from pathophysiology to precision diagnosis and management.全面了解尿路感染:从病理生理学到精准诊断与管理。
Front Cell Infect Microbiol. 2024 Sep 24;14:1402941. doi: 10.3389/fcimb.2024.1402941. eCollection 2024.
2
Deep learning-driven fragment ion series classification enables highly precise and sensitive de novo peptide sequencing.深度学习驱动的碎片离子序列分类可实现高度精确和敏感的从头肽测序。
Nat Commun. 2024 Jan 2;15(1):151. doi: 10.1038/s41467-023-44323-7.
3
A systematic assessment of matrix-assisted laser desorption/ionization time of flight mass spectrometry (MALDI-TOF MS) application for rapid identification of pathogenic microbes that affect food crops: delivered and future deliverables.

本文引用的文献

1
Advances in Optical Detection of Human-Associated Pathogenic Bacteria.人体相关致病菌光学检测技术的进展。
Molecules. 2020 Nov 11;25(22):5256. doi: 10.3390/molecules25225256.
2
Performance and Application of 16S rRNA Gene Cycle Sequencing for Routine Identification of Bacteria in the Clinical Microbiology Laboratory.16S rRNA 基因测序在临床微生物实验室常规细菌鉴定中的性能和应用。
Clin Microbiol Rev. 2020 Sep 9;33(4). doi: 10.1128/CMR.00053-19. Print 2020 Sep 16.
3
Discovery of Species-unique Peptide Biomarkers of Bacterial Pathogens by Tandem Mass Spectrometry-based Proteotyping.
基质辅助激光解吸/电离飞行时间质谱(MALDI-TOF MS)在快速鉴定影响粮食作物的致病微生物中的应用的系统评估:已实现的和未来的成果。
RSC Adv. 2023 Jun 9;13(25):17297-17314. doi: 10.1039/d3ra01633a. eCollection 2023 Jun 5.
基于串联质谱的蛋白质组学发现细菌病原体的物种特异性肽生物标志物。
Mol Cell Proteomics. 2020 Mar;19(3):518-528. doi: 10.1074/mcp.RA119.001667. Epub 2020 Jan 15.
4
Rapid identification of pathogenic bacteria using Raman spectroscopy and deep learning.利用拉曼光谱和深度学习快速鉴定致病菌。
Nat Commun. 2019 Oct 30;10(1):4927. doi: 10.1038/s41467-019-12898-9.
5
Fast and Accurate Bacterial Species Identification in Urine Specimens Using LC-MS/MS Mass Spectrometry and Machine Learning.利用 LC-MS/MS 质谱联用和机器学习技术快速准确鉴定尿液样本中的细菌种属。
Mol Cell Proteomics. 2019 Dec;18(12):2492-2505. doi: 10.1074/mcp.TIR119.001559. Epub 2019 Oct 4.
6
Rapid Identification and Antimicrobial Susceptibility Testing for Urinary Tract Pathogens by Direct Analysis of Urine Samples Using a MALDI-TOF MS-Based Combined Protocol.基于基质辅助激光解吸电离飞行时间质谱的联合方案直接分析尿液样本对尿路病原体进行快速鉴定和药敏试验
Front Microbiol. 2019 Jun 5;10:1182. doi: 10.3389/fmicb.2019.01182. eCollection 2019.
7
Direct Identification of Pathogens in Urine by Use of a Specific Matrix-Assisted Laser Desorption Ionization-Time of Flight Spectrum Database.利用特定基质辅助激光解吸电离飞行时间谱数据库直接鉴定尿液中的病原体。
J Clin Microbiol. 2019 Mar 28;57(4). doi: 10.1128/JCM.01678-18. Print 2019 Apr.
8
Proteotyping bacteria: Characterization, differentiation and identification of pneumococcus and other species within the Mitis Group of the genus Streptococcus by tandem mass spectrometry proteomics.采用串联质谱蛋白质组学对肺炎球菌和链球菌属米氏群内其他种进行细菌原型分析:鉴定、分化和识别
PLoS One. 2018 Dec 10;13(12):e0208804. doi: 10.1371/journal.pone.0208804. eCollection 2018.
9
Rapid Classification and Identification of Multiple Microorganisms with Accurate Statistical Significance via High-Resolution Tandem Mass Spectrometry.基于高分辨串联质谱的高通量、高准确性微生物快速分类鉴定技术
J Am Soc Mass Spectrom. 2018 Aug;29(8):1721-1737. doi: 10.1007/s13361-018-1986-y. Epub 2018 Jun 5.
10
Enhanced protein identification using graphite-modified MALDI plates for offline LC-MALDI-MS/MS bottom-up proteomics.使用石墨修饰的基质辅助激光解吸电离飞行时间质谱(MALDI)板进行离线液相色谱-基质辅助激光解吸电离串联质谱(LC-MALDI-MS/MS)自下而上蛋白质组学分析以增强蛋白质鉴定
Anal Biochem. 2018 Mar 15;545:31-37. doi: 10.1016/j.ab.2018.01.002. Epub 2018 Jan 8.