Suppr超能文献

邓-范模型中双原子分子的广义分数阶 NU 方法。

The generalized fractional NU method for the diatomic molecules in the Deng-Fan model.

作者信息

Abu-Shady M, Khokha E M, Abdel-Karim T A

机构信息

Department of Mathematics and Computer Science, Faculty of Science, Menoufia University, Shibin El Kom, Egypt.

Department of Basic Science, Modern Academy for Engineering and Technology, Maadi, Egypt.

出版信息

Eur Phys J D At Mol Opt Phys. 2022;76(9):159. doi: 10.1140/epjd/s10053-022-00480-w. Epub 2022 Sep 7.

Abstract

ABSTRACT

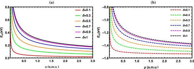
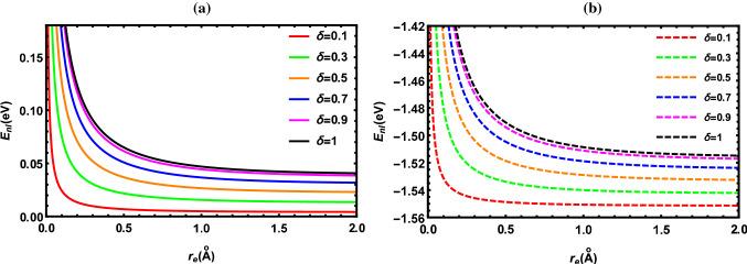
A solution of the fractional -dimensional radial Schrödinger equation (SE) with the Deng-Fan potential (DFP) is investigated by the generalized fractional Nikiforov-Uvarov (NU) method. The analytical formulas of energy eigenvalues and corresponding eigenfunctions for the DFP are generated. Furthermore, the current results are applied to several diatomic molecules (DMs) for the DFP as well as the shifted Deng-Fan potential (SDFP). For both the DFP and its shifted potential, the effect of the fractional parameter ( ) on the energy levels of various DMs is examined numerically and graphically. We found that the energy eigenvalues are gradually improved when the fractional parameter increases. The energy spectra of various DMs are also evaluated in three-dimensional space and higher dimensions. It is worthy to note that the energy spectrum raises as the number of dimensions increases. In addition, the dependence of the energy spectra of the DFP and its shifted potential on the reduced mass, screening parameter, equilibrium bond length and rotational and vibrational quantum numbers is illustrated. To validate our findings, the energy levels of the DFP and SDFP are estimated at the classical case ( ) for various DMs and found that they are entirely compatible with earlier studies.

GRAPHICAL ABSTRACT

In this study, a new algorithm of the generalized fractional Nikiforov-Uvarov method is employed to obtain new solutions to the fractional N-dimensional radial Schrödinger equation with the Deng-Fan potential. In addition, the results are applied to several diatomic molecules. The impact of the fractional parameter on the energy levels of various diatomic molecules is investigated. We found that the energy of the diatomic molecule is more bounded at lower fractional parameter values than in the classical case.

摘要

摘要

采用广义分数阶尼基福罗夫 - 乌瓦罗夫(NU)方法研究了具有邓 - 范势(DFP)的分数维径向薛定谔方程(SE)的解。得到了DFP的能量本征值和相应本征函数的解析公式。此外,将当前结果应用于几种双原子分子(DMs)的DFP以及平移邓 - 范势(SDFP)。对于DFP及其平移势,通过数值和图形方式研究了分数参数( )对各种DMs能级的影响。我们发现,当分数参数增加时,能量本征值逐渐改善。还在三维空间和更高维度中评估了各种DMs的能谱。值得注意的是,能谱随着维度数的增加而升高。此外,还说明了DFP及其平移势的能谱对折合质量、屏蔽参数、平衡键长以及转动和振动量子数的依赖性。为了验证我们的发现,在经典情况( )下估计了各种DMs的DFP和SDFP的能级,发现它们与早期研究完全一致。

图形摘要

在本研究中,采用广义分数阶尼基福罗夫 - 乌瓦罗夫方法的一种新算法来获得具有邓 - 范势的分数N维径向薛定谔方程的新解。此外,将结果应用于几种双原子分子。研究了分数参数对各种双原子分子能级的影响。我们发现,与经典情况相比,在较低分数参数值下双原子分子的能量更受限。

https://cdn.ncbi.nlm.nih.gov/pmc/blobs/b585/9449962/fce1f3c8997a/10053_2022_480_Fig1_HTML.jpg

文献AI研究员

20分钟写一篇综述,助力文献阅读效率提升50倍。

立即体验

用中文搜PubMed

大模型驱动的PubMed中文搜索引擎

马上搜索

文档翻译

学术文献翻译模型,支持多种主流文档格式。

立即体验