Suppr超能文献

双磁性核/壳纳米粒子中粒子间和粒子内相互作用之间的相互作用。

Interplay between inter- and intraparticle interactions in bi-magnetic core/shell nanoparticles.

作者信息

Omelyanchik A, Villa S, Vasilakaki M, Singh G, Ferretti A M, Ponti A, Canepa F, Margaris G, Trohidou K N, Peddis D

机构信息

Department of Chemistry and Industrial Chemistry (DCIC), University of Genova Genova Italy

Immanuel Kant Baltic Federal University Kaliningrad Russia.

出版信息

Nanoscale Adv. 2021 Oct 4;3(24):6912-6924. doi: 10.1039/d1na00312g. eCollection 2021 Dec 7.

Abstract

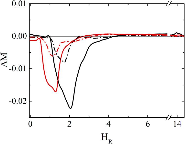
The synthesis strategy and magnetic characterisation of two systems consisting of nanoparticles with core/shell morphology are presented: an assembly of hard/soft nanoparticles with cores consisting of magnetically hard cobalt ferrite covered by a magnetically soft nickel ferrite shell, and the inverse system of almost the same size and shape. We have successfully designed these nanoparticle systems by gradually varying the magnetic anisotropy resulting in this way in the modulation of the magnetic dipolar interactions between particles. Both nanoparticle systems exhibit high saturation magnetisation and display superparamagnetic behaviour at room temperature. We have shown strong exchange coupling at the core/shell interface of these nanoparticles systems which was also confirmed by mesoscopic modelling. Our results demonstrate the possibility of modulating magnetic anisotropy not only by chemical composition but also by adopting the proper nano-architecture.

摘要

本文介绍了两种具有核壳形态的纳米颗粒系统的合成策略和磁性表征

一种是硬/软纳米颗粒的组装体,其核由硬磁性钴铁氧体组成,被软磁性镍铁氧体壳覆盖;另一种是尺寸和形状几乎相同的反向系统。我们通过逐渐改变磁各向异性成功设计了这些纳米颗粒系统,从而调制了颗粒间的磁偶极相互作用。这两种纳米颗粒系统均表现出高饱和磁化强度,并在室温下呈现超顺磁行为。我们已证明这些纳米颗粒系统的核/壳界面处存在强交换耦合,这也得到了介观模型的证实。我们的结果表明,不仅可以通过化学成分,还可以通过采用适当的纳米结构来调制磁各向异性。

https://cdn.ncbi.nlm.nih.gov/pmc/blobs/98e6/9418531/f632691d7b15/d1na00312g-f1.jpg

文献AI研究员

20分钟写一篇综述,助力文献阅读效率提升50倍。

立即体验

用中文搜PubMed

大模型驱动的PubMed中文搜索引擎

马上搜索

文档翻译

学术文献翻译模型,支持多种主流文档格式。

立即体验