Department of Rheumatology and Immunology, The Second Affiliated Hospital, Guizhou University of Traditional Chinese Medicine, Guiyang, China.
The Second Clinical School of Medicine, Guizhou University of Traditional Chinese Medicine, Guiyang, China.
Mediators Inflamm. 2022 Sep 12;2022:7236118. doi: 10.1155/2022/7236118. eCollection 2022.
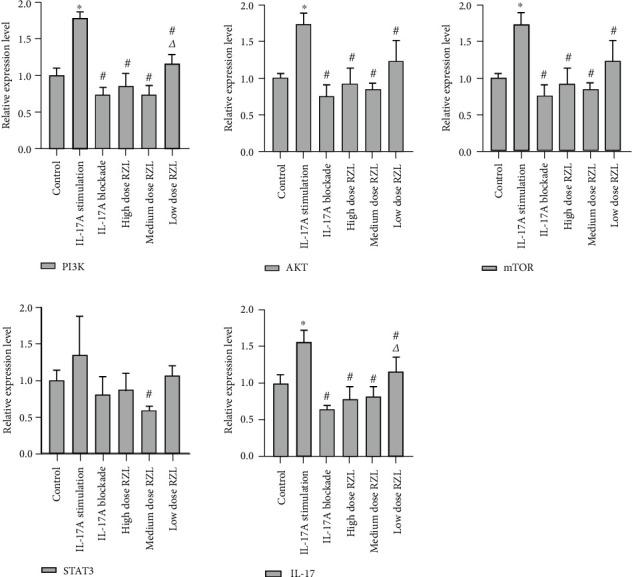
Infiltration and aggregation of lymphocytes in exocrine glands are the basic pathological manifestations of Sjögren's syndrome (SS), and the incidence of SS has been increasing year by year in recent years. To explore the potential signaling pathway of Runzaoling (RZL) in alleviating SS, the possible targets of RZL in SS were firstly explored through network pharmacology, and then, the regulation of PI3K/AKT/mTOR signaling in NOD mice and Th17 cells was verified. 75 8-week-old NOD mice were casually classified into 5 groups: model; hydroxychloroquine; high, medium, and low dose RZL groups, with 15 in each; and 15 BALB/c mice were employed as control group. After 10 weeks of continuous intragastric administration in mice and 24 hours of drugs intervention in Th17 cells, histopathology was observed by HE staining, and the gene transcription levels were identified by real-time quantitative PCR (RT-qPCR). The protein expressions were detected by western blotting (WB). The findings showed that high and medium dose RZL group could attenuate the submandibular gland tissue damage. The results indicated that the mRNA expressions of PI3K, AKT, mTOR, STAT3, and IL-17 in SS mice and in IL-17 stimulation of Th17 cells were dramatically increased compared with control group and decreased to varying degrees after RZL intervention. The trend of phosphorylated PI3K/AKT/mTOR and STAT3 and IL-17 protein expression in NOD mice and Th17 cells were consistent with mRNA. RZL can downregulate STAT3 and IL-17 expressions in the submandibular gland of NOD mice and in Th17 cells via regulating the PI3K/AKT/mTOR signaling pathway. Moreover, RZL could reduce the activation of CD4+ T lymphocyte differentiation to Th17 cells.
淋巴细胞在腺体外浸润和聚集是干燥综合征(SS)的基本病理表现,近年来 SS 的发病率呈逐年上升趋势。为了探讨润躁灵(RZL)缓解 SS 的潜在信号通路,首先通过网络药理学探讨 RZL 治疗 SS 的可能靶点,然后验证 RZL 对 NOD 小鼠和 Th17 细胞中 PI3K/AKT/mTOR 信号的调节作用。将 75 只 8 周龄 NOD 小鼠随意分为 5 组:模型组;羟氯喹组;RZL 高、中、低剂量组,每组 15 只;另设 15 只 BALB/c 小鼠为对照组。连续灌胃 10 周,Th17 细胞干预 24 小时后,采用 HE 染色观察各组小鼠颌下腺组织病理变化,实时定量 PCR(RT-qPCR)鉴定基因转录水平,Western blot(WB)检测蛋白表达。结果显示,RZL 高、中剂量组可减轻颌下腺组织损伤。结果表明,SS 小鼠及 IL-17 刺激 Th17 细胞中 PI3K、AKT、mTOR、STAT3 和 IL-17 的 mRNA 表达均明显高于对照组,经 RZL 干预后均不同程度降低。NOD 小鼠及 Th17 细胞中磷酸化 PI3K/AKT/mTOR 和 STAT3、IL-17 蛋白表达趋势与 mRNA 一致。RZL 可通过调控 PI3K/AKT/mTOR 信号通路下调 NOD 小鼠颌下腺及 Th17 细胞中 STAT3 和 IL-17 的表达,减少 CD4+T 淋巴细胞向 Th17 细胞的分化激活。