Suppr超能文献

无需头部浸没的静水称重新方程。

New Equations for Hydrostatic Weighing without Head Submersion.

作者信息

Tesch Jeff C, Papadopoulos Panayiotis, Dolgener Forrest, Tinsley Grant M

机构信息

EXERTECH, Dresbach, MN 55947, USA.

Department of Life and Health Sciences, University of Nicosia, Nicosia 2417, Cyprus.

出版信息

J Funct Morphol Kinesiol. 2022 Sep 16;7(3):70. doi: 10.3390/jfmk7030070.

Abstract

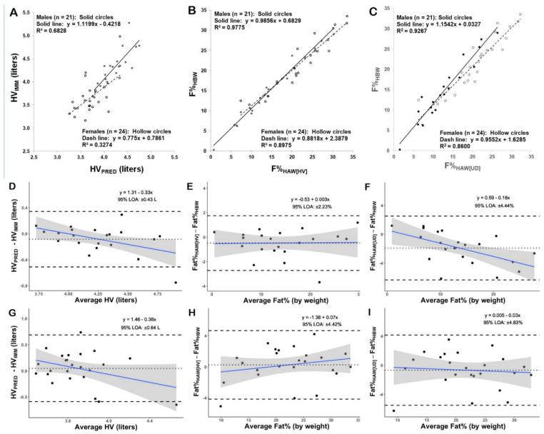
New equations were derived to predict the density of the body (DB) by hydrostatic weighing with the head above water (HWHAW). Hydrostatic weighing with the head below water (HWHBW) was the criterion for DB measurement in 90 subjects (44 M, 46 F). Head volume by immersion (HVIMM) was determined by subtracting the mass in water with the head below water (MWHBW) from the mass in water with the head above water (MWHAW), with subjects at residual lung volume. Equations were derived for head volume prediction (HVPRED) from head measurements and used to correct DB by HWHAW. Equations were also derived for HWHAW using direct regression of DB from uncorrected density (with MWHAW in place of MWHBW). Prediction equations were validated in 45 additional subjects (21 M, 24 F). Results were evaluated using equivalence testing, linear regression, Bland−Altman plots, and paired t-tests. Head girth, face girth, and body mass produced the smallest errors for HVPRED. In both M and F validation groups, equivalence (±2% fat by weight) was demonstrated between body fat percent (BF%) by HWHBW and BF% by HWHAW with HVPRED. Variance in computer-averaged samples of MWHAW was significantly less (p < 0.05) than MWHBW. Prediction error was smaller for BF% by HWHAW with HVPRED than for alternative methods. Conclusions: Equivalence between BF% by HWHBW and BF% by HWHAW with HVPRED was demonstrated and differences were not statistically significant. Weight fluctuations were smaller for HWHAW than HWHBW.

摘要

推导了新的方程,用于通过头部露出水面的静水称重法预测身体密度(DB)。头部浸入水中的静水称重法(HWHBW)是90名受试者(44名男性,46名女性)身体密度测量的标准方法。在残肺容积状态下,通过将头部露出水面时水中质量(MWHAW)减去头部浸入水中时水中质量(MWHBW)来确定浸入法测得的头部体积(HVIMM)。根据头部测量数据推导了头部体积预测方程(HVPRED),并用于校正头部露出水面静水称重法测得的身体密度。还通过从不校正密度(用MWHAW代替MWHBW)直接回归身体密度推导了头部露出水面静水称重法的方程。在另外45名受试者(21名男性,24名女性)中验证了预测方程。使用等效性检验、线性回归、布兰德-奥特曼图和配对t检验对结果进行评估。头围、脸围和体重对头体积预测产生的误差最小。在男性和女性验证组中,通过头部浸入水中静水称重法测得的身体脂肪百分比(BF%)与通过头部露出水面静水称重法及头部体积预测方程测得的BF%之间均显示出等效性(±2%重量脂肪)。计算机平均的MWHAW样本方差显著小于MWHBW(p < 0.05)。与其他方法相比,使用头部体积预测方程的头部露出水面静水称重法测得的BF%预测误差更小。结论:通过头部浸入水中静水称重法测得的BF%与通过头部露出水面静水称重法及头部体积预测方程测得的BF%之间显示出等效性,差异无统计学意义。头部露出水面静水称重法的体重波动比头部浸入水中静水称重法小。

https://cdn.ncbi.nlm.nih.gov/pmc/blobs/5cc2/9506326/d03e72fa6845/jfmk-07-00070-g001.jpg

文献AI研究员

20分钟写一篇综述,助力文献阅读效率提升50倍。

立即体验

用中文搜PubMed

大模型驱动的PubMed中文搜索引擎

马上搜索

文档翻译

学术文献翻译模型,支持多种主流文档格式。

立即体验