Suppr超能文献

不同果实负载条件下四个芒果FT/TFL1编码基因的表达谱及其在开花调控中的作用

Expression Profiling of Four Mango FT/TFL1-Encoding Genes under Different Fruit Load Conditions, and Their Involvement in Flowering Regulation.

作者信息

Gafni Itamar, Rai Avinash Chandra, Halon Eyal, Zviran Tali, Sisai Isaac, Samach Alon, Irihimovitch Vered

机构信息

Institute of Plant Sciences, Agricultural Research Organization (ARO), The Volcani Center, Rishon LeZion 7528809, Israel.

The Robert H. Smith Institute of Plant Sciences and Genetics in Agriculture, Faculty of Agriculture, Food and Environment, The Hebrew University of Jerusalem, Rehovot 76100, Israel.

出版信息

Plants (Basel). 2022 Sep 15;11(18):2409. doi: 10.3390/plants11182409.

Abstract

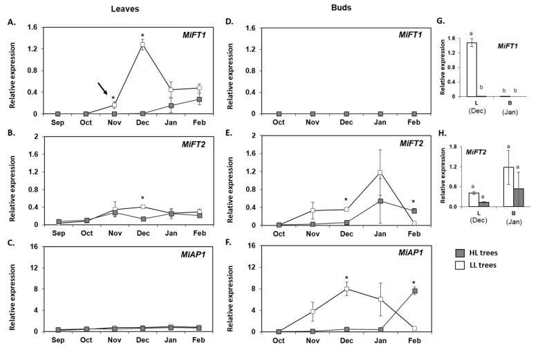
Plant flowering is antagonistically modulated by similar FLOWERING LOCUS T (FT) and TERMINAL FLOWER 1 (TFL1) proteins. In mango ( L.), flowering is induced by cold temperatures, unless the tree is juvenile or the adult tree had a high fruit load (HFL) in the summer. Here, we studied the effects of juvenility and fruit load on the expression of four / genes cloned from the mango 'Shelly' cultivar. Ectopic expression of in resulted in early flowering, whereas over-expression of and the two cloned genes repressed flowering. Moreover, juvenility was positively correlated with higher transcript levels of and both s. In trees with a low fruit load, leaf expression increased in winter, whereas HFL delayed its upregulation. expression was upregulated in both leaves and buds under both fruit load conditions. Downregulation of both s in buds was associated with a decrease in regional temperatures under both conditions; nevertheless, HFL delayed the decrease in their accumulation. Our results suggest that cold temperature has opposite effects on the expression of and the s, thereby inducing flowering, whereas HFL represses flowering by both suppressing upregulation and delaying downregulation. The apparent flowering-inhibitory functions of are discussed.

摘要

植物开花受到相似的成花素(FLOWERING LOCUS T,FT)和花分生组织特性基因1(TERMINAL FLOWER 1,TFL1)蛋白的拮抗调控。在芒果(Mangifera indica L.)中,低温诱导开花,除非树龄处于幼年期或成年树在夏季有高果负载量(HFL)。在此,我们研究了幼年期和果负载量对从芒果‘雪莉’品种中克隆的四个FT基因表达的影响。FT在拟南芥中的异位表达导致早花,而TFL1和两个克隆的FT基因的过表达抑制开花。此外,幼年期与FT和两个TFL1基因较高的转录水平呈正相关。在果负载量低的树中,叶片FT表达在冬季增加,而高果负载量延迟了其上调。在两种果负载量条件下,叶片和芽中的TFL1表达均上调。在两种条件下,芽中两个TFL1基因的下调都与区域温度的降低相关;然而,高果负载量延迟了它们积累量的降低。我们的结果表明,低温对FT和TFL1基因的表达有相反的影响,从而诱导开花,而高果负载量通过抑制FT上调和延迟TFL1下调来抑制开花。文中讨论了TFL1明显的开花抑制功能。

https://cdn.ncbi.nlm.nih.gov/pmc/blobs/dd53/9506463/a8f7c5a7c81c/plants-11-02409-g001.jpg

文献AI研究员

20分钟写一篇综述,助力文献阅读效率提升50倍。

立即体验

用中文搜PubMed

大模型驱动的PubMed中文搜索引擎

马上搜索

文档翻译

学术文献翻译模型,支持多种主流文档格式。

立即体验