Suppr超能文献

明胶中纤连蛋白结合肽的鉴定与表征

Identification and Characterization of Fibronectin-Binding Peptides in Gelatin.

作者信息

Liu Yuying, Gao Jianping, Liu Lin, Kang Jiyao, Luo Xi, Kong Yingjun, Zhang Guifeng

机构信息

State Key Laboratory of Biochemical Engineering, Institute of Process Engineering, Chinese Academy of Sciences, Beijing 100190, China.

School of Chemical and Engineering, University of Chinese Academy of Sciences, Beijing 100049, China.

出版信息

Polymers (Basel). 2022 Sep 8;14(18):3757. doi: 10.3390/polym14183757.

Abstract

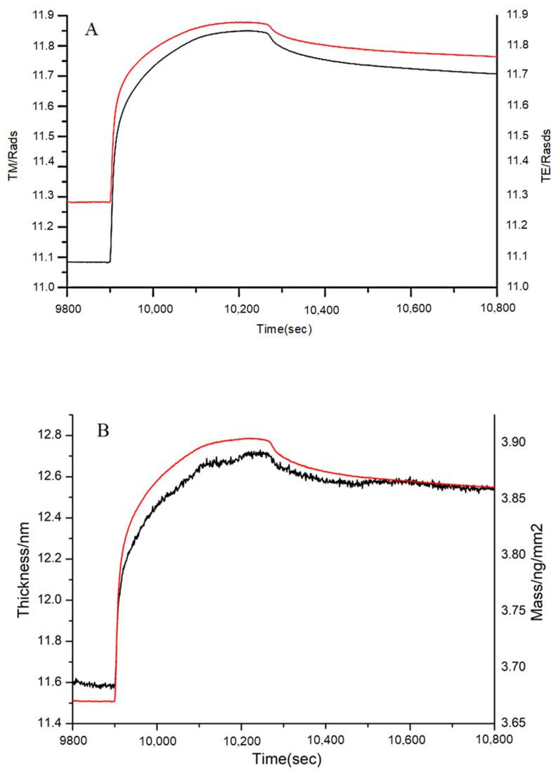
Collagen and fibronectin (FN) are important components in the extracellular matrix (ECM). Collagen-FN binding belongs to protein-protein interaction and plays a key role in regulating cell behaviors. In this study, FN-binding peptides were isolated from gelatin (degraded collagen) using affinity chromatography, and the amino acid sequences were determined using HPLC-MS. The results indicated that all FN-binding peptides contained GPAG or GPPG. Matrix-assisted laser desorption/ionization time-of-flight mass spectrometry (MALDI-TOF MS) and dual-polarization interferometry (DPI) were used to analyze the effects of hydroxylation polypeptide on FN binding activity. DPI analysis indicated that peptides with molecular weight (MW) between 2 kDa and 30 kDa showed higher FN-binding activity, indicating MW range played an important role in the interaction between FN and peptides. Finally, two peptides with similar sequences except for hydroxylation of prolines were synthesized. The FN-binding properties of the synthesized peptides were determined by MALDI-TOF MS. For peptide, GAPGADGPAGAPGTPGPQGIAGQR, hydroxylation of P8 and P15 is necessary for FN-binding. For peptide, GPPGPMGPPGLAGPPGESGR, the FN-binding process is independent of proline hydroxylation. Thus, FN-binding properties are proline-hydroxylation dependent.

摘要

胶原蛋白和纤连蛋白(FN)是细胞外基质(ECM)的重要组成部分。胶原蛋白与纤连蛋白的结合属于蛋白质-蛋白质相互作用,在调节细胞行为中起关键作用。在本研究中,利用亲和色谱从明胶(降解的胶原蛋白)中分离出纤连蛋白结合肽,并使用高效液相色谱-质谱联用仪(HPLC-MS)测定其氨基酸序列。结果表明,所有纤连蛋白结合肽均含有GPAG或GPPG。采用基质辅助激光解吸/电离飞行时间质谱(MALDI-TOF MS)和双偏振干涉测量法(DPI)分析羟基化多肽对纤连蛋白结合活性的影响。DPI分析表明,分子量(MW)在2 kDa至30 kDa之间的肽显示出较高的纤连蛋白结合活性,表明分子量范围在纤连蛋白与肽的相互作用中起重要作用。最后,合成了两个除脯氨酸羟基化外序列相似的肽。通过MALDI-TOF MS测定合成肽的纤连蛋白结合特性。对于肽GAPGADGPAGAPGTPGPQGIAGQR,P8和P15的羟基化对于纤连蛋白结合是必需的。对于肽GPPGPMGPPGLAGPPGESGR,纤连蛋白结合过程与脯氨酸羟基化无关。因此,纤连蛋白结合特性取决于脯氨酸羟基化。

https://cdn.ncbi.nlm.nih.gov/pmc/blobs/4e61/9506415/2a60a769522a/polymers-14-03757-g001.jpg

文献AI研究员

20分钟写一篇综述,助力文献阅读效率提升50倍。

立即体验

用中文搜PubMed

大模型驱动的PubMed中文搜索引擎

马上搜索

文档翻译

学术文献翻译模型,支持多种主流文档格式。

立即体验