Suppr超能文献

探索电动自行车共享系统的使用接受度:基于 PLS-SEM 分析的实证研究。

Exploring Use Acceptance of Electric Bicycle-Sharing Systems: An Empirical Study Based on PLS-SEM Analysis.

机构信息

School of Management, Hunan Institute of Engineering, Xiangtan 411104, China.

School of Transportation and Logistics, Central South University of Forestry and Technology, Changsha 410004, China.

出版信息

Sensors (Basel). 2022 Sep 18;22(18):7057. doi: 10.3390/s22187057.

Abstract

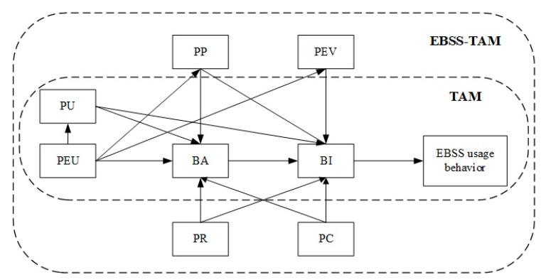
The electric bicycle-sharing system (EBSS) is the fourth-generation urban shared bicycle travel system, which effectively improves the travel efficiency of urban residents and solve the problem of urban congestion. This study attempts to use an extended technology acceptance model (TAM) method to study the acceptance of EBSSs. We had introduced four potential variables, including perceived pleasure (PP), perceived environmental value (PEV), perceived cost (PC), and perceived reliability (PR), into the classic TAM to form a new EBSS-TAM. Data were obtained by using a Likert scale questionnaire from 399 citizens in China. Partial least-squares structural equation modeling (PLS-SEM) with reflective constructs was employed as the analysis method. The results showed that: (1) the EBSS-TAM can explain user behaviors regarding the use of EBSSs. PP has a positive impact on behavior attitude (BA) while having no impact on behavior intention (BI). PEV has no impact on BA and BI. PC has a negative impact on BA and has no impact on BI. PR has a positive impact on BA while having no impact on BI. Perceived ease of use (PEU) has a positive impact on PP and PEV. (2) Younger users (under 35 years old) are more likely to change from liking CBSSs to using EBSSs than older users are. Male users are more satisfied with EBSSs because of their ease of use. The users who never used CBSSs are more likely to perceive the environmental protection value of EBSSs. Some managerial implications were proposed for the EBSSs.

摘要

电动自行车共享系统(EBSS)是第四代城市共享自行车出行系统,它有效提高了城市居民的出行效率,解决了城市拥堵问题。本研究试图采用扩展的技术接受模型(TAM)方法来研究 EBSS 的接受度。我们将四个潜在变量(感知愉悦感(PP)、感知环境价值(PEV)、感知成本(PC)和感知可靠性(PR))引入经典 TAM 中,形成新的 EBSS-TAM。通过使用中国 399 位市民的李克特量表问卷收集数据。采用具有反射性构念的偏最小二乘结构方程建模(PLS-SEM)作为分析方法。结果表明:(1)EBSS-TAM 可以解释用户使用 EBSS 的行为。PP 对行为态度(BA)有积极影响,对行为意向(BI)没有影响。PEV 对 BA 和 BI 均没有影响。PC 对 BA 和 BI 均有负向影响。PR 对 BA 有正向影响,对 BI 没有影响。感知易用性(PEU)对 PP 和 PEV 有正向影响。(2)与年龄较大的用户相比,年龄较小的用户(35 岁以下)更喜欢从喜欢 CBSS 变为使用 EBSS。男性用户对 EBSS 的易用性更满意。从未使用过 CBSS 的用户更容易感知到 EBSS 的环保价值。为 EBSS 提出了一些管理启示。

https://cdn.ncbi.nlm.nih.gov/pmc/blobs/7f64/9503645/efe1e45a0e2e/sensors-22-07057-g001.jpg

文献AI研究员

20分钟写一篇综述,助力文献阅读效率提升50倍。

立即体验

用中文搜PubMed

大模型驱动的PubMed中文搜索引擎

马上搜索

文档翻译

学术文献翻译模型,支持多种主流文档格式。

立即体验