Suppr超能文献

运动障碍型脑瘫患儿在完成功能性任务时上肢运动学的心理测量特性。

Psychometric properties of upper limb kinematics during functional tasks in children and adolescents with dyskinetic cerebral palsy.

机构信息

Department of Rehabilitation Sciences, KU Leuven Bruges, Bruges, Belgium.

Department of Rehabilitation Sciences, KU Leuven, Leuven, Belgium.

出版信息

PLoS One. 2022 Sep 23;17(9):e0266294. doi: 10.1371/journal.pone.0266294. eCollection 2022.

Abstract

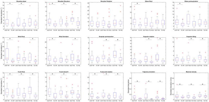
Dyskinetic cerebral palsy (DCP) is characterised by involuntary movements, and the movement patterns of children with DCP have not been extensively studied during upper limb tasks. The aim of this study is to evaluate psychometric properties of upper limb kinematics in participants with DCP and typically developing (TD) participants. In current repeatability and validity study, forty individuals with typical development (n = 20) and DCP (n = 20) performed a reach forward/sideways and a reach and grasp task during motion analysis on two occasions. Joint angles at point of task achievement (PTA) and spatio-temporal parameters were evaluated within-and between-sessions using intra-class correlation coefficients (ICC) and standard error of measurement (SEM). Independent t-tests/Mann-Whitney-U tests were used to compare parameters between groups. Within-session ICC values ranged from 0.45 to 1.0 for all parameters for both groups. Within-session SEM values ranged from 1.1° to 11.7° for TD participants and from 1.9° to 13.0° for participants with DCP. Eight within-session repetitions resulted in the smallest change in ICC and SEM values for both groups. Within-session variability was higher for participants with DCP in comparison with the TD group for the majority of the joint angles and spatio-temporal parameters. Intrinsic variability over time was small for all angles and spatio-temporal parameters, whereas extrinsic variability was higher for elbow and scapula angles. Between-group differences revealed lower shoulder adduction and higher elbow flexion, pronation and wrist flexion, as well as higher trajectory deviation and a lower maximal velocity for participants with DCP. This is the first study to assess the psychometric properties of upper limb kinematics in children and adolescents with DCP, showing that children with DCP show higher variability during task execution, requiring a minimum of eight repetitions. However, their variable movement pattern can be reliably captured within-and between-sessions, confirming the potential of three-dimensional motion analysis for assessment of rehabilitation interventions in DCP.

摘要

运动障碍型脑瘫(DCP)的特征是不自主运动,而 DCP 患儿在上肢任务中,其运动模式尚未得到广泛研究。本研究旨在评估 DCP 患儿和典型发育(TD)患儿上肢运动学的心理测量特性。在目前的重复性和有效性研究中,40 名典型发育者(n=20)和 DCP 者(n=20)在两次运动分析中进行了向前/向侧伸手和伸手抓握任务。使用组内相关系数(ICC)和测量误差(SEM)评估了达成任务点(PTA)的关节角度和时空参数在两次测试之间的重复性。独立样本 t 检验/曼-惠特尼 U 检验用于比较两组之间的参数。对于两组,所有参数的组内 ICC 值在 0.45 到 1.0 之间。TD 参与者的组内 SEM 值范围为 1.1°到 11.7°,DCP 参与者的组内 SEM 值范围为 1.9°到 13.0°。对于两组,八次重复测试导致 ICC 和 SEM 值的变化最小。与 TD 组相比,DCP 患儿在大多数关节角度和时空参数上具有更高的组内变异性。所有角度和时空参数的固有变异性较小,而肘和肩胛骨角度的外在变异性较高。组间差异显示,DCP 患儿的肩部内收角度较低,肘部弯曲、旋前和腕部弯曲角度较高,轨迹偏差较高,最大速度较低。这是第一项评估 DCP 儿童和青少年上肢运动学心理测量特性的研究,表明 DCP 患儿在执行任务时表现出更高的变异性,需要至少进行 8 次重复。然而,他们可变的运动模式可以在两次测试之间可靠地捕捉到,证实了三维运动分析在评估 DCP 康复干预中的潜力。

https://cdn.ncbi.nlm.nih.gov/pmc/blobs/0aed/9506636/fc5314b47c84/pone.0266294.g001.jpg

文献AI研究员

20分钟写一篇综述,助力文献阅读效率提升50倍。

立即体验

用中文搜PubMed

大模型驱动的PubMed中文搜索引擎

马上搜索

文档翻译

学术文献翻译模型,支持多种主流文档格式。

立即体验