• 文献检索
  • 文档翻译
  • 深度研究
  • 学术资讯
  • Suppr Zotero 插件Zotero 插件
  • 邀请有礼
  • 套餐&价格
  • 历史记录
应用&插件
Suppr Zotero 插件Zotero 插件浏览器插件Mac 客户端Windows 客户端微信小程序
定价
高级版会员购买积分包购买API积分包
服务
文献检索文档翻译深度研究API 文档MCP 服务
关于我们
关于 Suppr公司介绍联系我们用户协议隐私条款
关注我们

Suppr 超能文献

核心技术专利:CN118964589B侵权必究
粤ICP备2023148730 号-1Suppr @ 2026

文献检索

告别复杂PubMed语法,用中文像聊天一样搜索,搜遍4000万医学文献。AI智能推荐,让科研检索更轻松。

立即免费搜索

文件翻译

保留排版,准确专业,支持PDF/Word/PPT等文件格式,支持 12+语言互译。

免费翻译文档

深度研究

AI帮你快速写综述,25分钟生成高质量综述,智能提取关键信息,辅助科研写作。

立即免费体验

踝臂指数和臂踝脉搏波速度对社区老年人群全因死亡率的影响。

Effects of ankle-brachial index and brachial-ankle pulse wave velocity on all-cause mortality in a community-based elderly population.

作者信息

Zhang Anhang, Liu Yupeng, Ma Shouyuan, Bao Qiligeer, Sun Jin, Su Yongkang, Cai Shuang, Cheng Bokai, Li Man, Zhang Yan, Tao Tianqi, Qiu Jiaojiao, Dong Jing, Song Ge, Zhu Ping, Wang Shuxia

机构信息

Medical School of Chinese PLA & Chinese PLA General Hospital, Beijing, China.

Department of Geriatrics, The Second Medical Center & National Clinical Research Center for Geriatric Diseases, Chinese PLA General Hospital, Beijing, China.

出版信息

Front Cardiovasc Med. 2022 Sep 13;9:883651. doi: 10.3389/fcvm.2022.883651. eCollection 2022.

DOI:10.3389/fcvm.2022.883651
PMID:36176985
原文链接:https://pmc.ncbi.nlm.nih.gov/articles/PMC9513615/
Abstract

BACKGROUND

Ankle-brachial index (ABI) and brachial-ankle pulse wave velocity (baPWV) are both important indicators of arterial stiffness and vascular injury. At present, most studies on the relationship between ABI and baPWV and all-cause mortality in community-based elderly are analyzing ABI or baPWV alone, and will focus on a single special population such as diabetes and stroke. The purpose of this study was to evaluate the relationship between ABI and baPWV in a Chinese community-based elderly population, and to analyze their impact on all-cause mortality in a community-based population through a follow-up of nearly 10 years.

METHODS

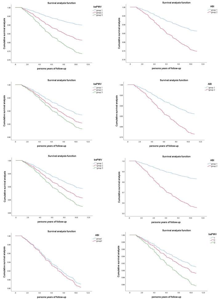
Participants were residents of the Wanshou Road community in Beijing, China. A total of 2,162 people in the community were included, with an average age of 71.48 years. During a mean follow-up period of 9.87 years, 1,826 subjects completed follow-up. Kaplan-Meier survival analysis and different Cox regression models were used to verify the association of ABI and baPWV with all-cause mortality. The selected subjects were divided into two groups according to ABI and baPWV, and ABI was divided into two groups with 0.90 as the cut-off point (group 1: 0.9 < ABI ≤ 1.3; group 2: ABI ≤ 0.9); according to the level of baPWV, they were divided into three groups (Tertile 1: baPWV <1761.5 cm/s; Tertile 2: 1761.5 ≤ baPWV <2121.5 cm/s; Tertile 3: baPWV ≥2121.5 cm/s).

RESULTS

1,826 people were included in the statistical analysis, and the total mortality rate was 181.3/1000. The 10-year all-cause mortality rate of the abnormal ABI group (group 2) was 44.7%, and that of the normal ABI group (group 1) was 17.0%; The 10-year all-cause mortality rates from low to high in the baPWV tertile were 10.0%, 18.7%, and 26.4%. In the Cox proportional hazards model, after adjusting for possible confounders, the effect of baPWV on all-cause mortality was significant, with the 3rd tertile having a 1.647-fold higher risk of all-cause mortality than the 1st tertile ( = 0.014 ).

CONCLUSIONS

ABI and baPWV are risk factors affecting all-cause mortality in the elderly community population, and baPWV is an independent predictor of all-cause mortality in the elderly community population.

摘要

背景

踝臂指数(ABI)和臂踝脉搏波速度(baPWV)都是动脉僵硬度和血管损伤的重要指标。目前,大多数关于社区老年人中ABI和baPWV与全因死亡率关系的研究都是单独分析ABI或baPWV,且多聚焦于糖尿病和中风等单一特殊人群。本研究旨在评估中国社区老年人群中ABI与baPWV的关系,并通过近10年的随访分析它们对社区人群全因死亡率的影响。

方法

研究对象为中国北京万寿路社区的居民。该社区共纳入2162人,平均年龄71.48岁。在平均9.87年的随访期内,1826名受试者完成了随访。采用Kaplan-Meier生存分析和不同的Cox回归模型来验证ABI和baPWV与全因死亡率的关联。根据ABI和baPWV将入选受试者分为两组,ABI以0.90为界分为两组(组1:0.9<ABI≤1.3;组2:ABI≤0.9);根据baPWV水平分为三组(三分位数1:baPWV<1761.5 cm/s;三分位数2:1761.5≤baPWV<2121.5 cm/s;三分位数3:baPWV≥2121.5 cm/s)。

结果

1826人纳入统计分析,总死亡率为181.3/1000。ABI异常组(组2)的10年全因死亡率为44.7%,ABI正常组(组1)为17.0%;baPWV三分位数中从低到高的10年全因死亡率分别为10.0%、18.7%和26.4%。在Cox比例风险模型中,调整可能的混杂因素后,baPWV对全因死亡率的影响显著,三分位数3的全因死亡风险比三分位数1高1.647倍(P = 0.014)。

结论

ABI和baPWV是影响社区老年人群全因死亡率的危险因素,且baPWV是社区老年人群全因死亡率的独立预测因子。

https://cdn.ncbi.nlm.nih.gov/pmc/blobs/e7e2/9513615/01a5a521105c/fcvm-09-883651-g0008.jpg
https://cdn.ncbi.nlm.nih.gov/pmc/blobs/e7e2/9513615/ea92e7372254/fcvm-09-883651-g0001.jpg
https://cdn.ncbi.nlm.nih.gov/pmc/blobs/e7e2/9513615/725392fa2652/fcvm-09-883651-g0002.jpg
https://cdn.ncbi.nlm.nih.gov/pmc/blobs/e7e2/9513615/0a0492cdff66/fcvm-09-883651-g0003.jpg
https://cdn.ncbi.nlm.nih.gov/pmc/blobs/e7e2/9513615/e21c2a8170c3/fcvm-09-883651-g0004.jpg
https://cdn.ncbi.nlm.nih.gov/pmc/blobs/e7e2/9513615/ffdb9fbff3c0/fcvm-09-883651-g0005.jpg
https://cdn.ncbi.nlm.nih.gov/pmc/blobs/e7e2/9513615/804b976dcd9c/fcvm-09-883651-g0006.jpg
https://cdn.ncbi.nlm.nih.gov/pmc/blobs/e7e2/9513615/2f6af16c0a8a/fcvm-09-883651-g0007.jpg
https://cdn.ncbi.nlm.nih.gov/pmc/blobs/e7e2/9513615/01a5a521105c/fcvm-09-883651-g0008.jpg
https://cdn.ncbi.nlm.nih.gov/pmc/blobs/e7e2/9513615/ea92e7372254/fcvm-09-883651-g0001.jpg
https://cdn.ncbi.nlm.nih.gov/pmc/blobs/e7e2/9513615/725392fa2652/fcvm-09-883651-g0002.jpg
https://cdn.ncbi.nlm.nih.gov/pmc/blobs/e7e2/9513615/0a0492cdff66/fcvm-09-883651-g0003.jpg
https://cdn.ncbi.nlm.nih.gov/pmc/blobs/e7e2/9513615/e21c2a8170c3/fcvm-09-883651-g0004.jpg
https://cdn.ncbi.nlm.nih.gov/pmc/blobs/e7e2/9513615/ffdb9fbff3c0/fcvm-09-883651-g0005.jpg
https://cdn.ncbi.nlm.nih.gov/pmc/blobs/e7e2/9513615/804b976dcd9c/fcvm-09-883651-g0006.jpg
https://cdn.ncbi.nlm.nih.gov/pmc/blobs/e7e2/9513615/2f6af16c0a8a/fcvm-09-883651-g0007.jpg
https://cdn.ncbi.nlm.nih.gov/pmc/blobs/e7e2/9513615/01a5a521105c/fcvm-09-883651-g0008.jpg

相似文献

1
Effects of ankle-brachial index and brachial-ankle pulse wave velocity on all-cause mortality in a community-based elderly population.踝臂指数和臂踝脉搏波速度对社区老年人群全因死亡率的影响。
Front Cardiovasc Med. 2022 Sep 13;9:883651. doi: 10.3389/fcvm.2022.883651. eCollection 2022.
2
Prediction of all-cause and cardiovascular mortality using ankle-brachial index and brachial-ankle pulse wave velocity in patients with type 2 diabetes.利用踝臂指数和肱踝脉搏波速度预测 2 型糖尿病患者的全因和心血管死亡率。
Sci Rep. 2022 Jun 30;12(1):11053. doi: 10.1038/s41598-022-15346-9.
3
Effect of BMI on Central Arterial Reflected Wave Augmentation Index, Toe-Brachial Index, Brachial-Ankle Pulse Wave Velocity and Ankle-Brachial Index in Chinese Elderly Hypertensive Patients with Hemorrhagic Stroke.BMI 对中国老年高血压合并出血性脑卒中患者中心动脉反射波增强指数、踝臂指数、肱踝脉搏波速度和踝臂指数的影响。
J Stroke Cerebrovasc Dis. 2021 Sep;30(9):105945. doi: 10.1016/j.jstrokecerebrovasdis.2021.105945. Epub 2021 Jun 27.
4
The combination of the ankle brachial index and brachial ankle pulse wave velocity exhibits a superior association with outcomes in diabetic patients.踝臂指数与臂踝脉搏波速度相结合,在糖尿病患者中与预后表现出更强的相关性。
Intern Med. 2014;53(21):2425-31. doi: 10.2169/internalmedicine.53.2999. Epub 2014 Nov 1.
5
Ankle-brachial index and brachial-ankle pulse wave velocity are associated with albuminuria in community-based Han Chinese.踝臂指数和肱踝脉搏波速度与汉族社区人群的白蛋白尿有关。
Clin Exp Hypertens. 2016;38(7):618-623. doi: 10.1080/10641963.2016.1182177. Epub 2016 Sep 26.
6
The predictive value of brachial-ankle pulse wave velocity in coronary atherosclerosis and peripheral artery diseases in urban Chinese patients.中国城市患者中肱踝脉搏波速度在冠状动脉粥样硬化和外周动脉疾病中的预测价值
Hypertens Res. 2008 Jun;31(6):1079-85. doi: 10.1291/hypres.31.1079.
7
Ability of the Ankle Brachial Index and Brachial-Ankle Pulse Wave Velocity to Predict the 3-Month Outcome in Patients with Non-Cardioembolic Stroke.踝臂指数和肱踝脉搏波速度预测非心源性卒中患者 3 个月转归的能力。
J Atheroscler Thromb. 2017 Nov 1;24(11):1167-1173. doi: 10.5551/jat.38901. Epub 2017 May 15.
8
[Influencing factors of orthostatism brachial-ankle pulse wave velocity and ankle brachial index in the elderly].[老年人直立性肱踝脉搏波速度和踝臂指数的影响因素]
Zhonghua Xin Xue Guan Bing Za Zhi. 2016 Feb;44(2):161-9. doi: 10.3760/cma.j.issn.0253-3758.2016.02.015.
9
Pulse wave velocity is decreased with obesity in an elderly Chinese population.在中国老年人群体中,脉搏波速度随肥胖而降低。
J Clin Hypertens (Greenwich). 2019 Sep;21(9):1379-1385. doi: 10.1111/jch.13659. Epub 2019 Aug 30.
10
The Relationships of the Fractional Excretion of Uric Acid with Brachial-Ankle Pulse Wave Velocity and Ankle Brachial Index in Chinese Young Adults.中国年轻成年人中尿酸排泄分数与臂踝脉搏波速度及踝臂指数的关系
Kidney Blood Press Res. 2018;43(1):234-245. doi: 10.1159/000487677. Epub 2018 Mar 20.

引用本文的文献

1
Habitual isomaltulose intake reduces arterial stiffness associated with postprandial hyperglycemia in middle-aged and elderly people: a randomized controlled trial.习惯性异麦芽酮糖醇摄入可降低中老年人群餐后高血糖相关的动脉僵硬度:一项随机对照试验。
Heart Vessels. 2024 Feb;39(2):123-134. doi: 10.1007/s00380-023-02316-y. Epub 2023 Sep 30.

本文引用的文献

1
The relationship between urinary albumin to creatinine ratio and all-cause mortality in the elderly population in the Chinese community: a 10-year follow-up study.尿白蛋白与肌酐比值与华裔老年人群全因死亡率的关系:一项为期 10 年的随访研究。
BMC Nephrol. 2022 Jan 5;23(1):16. doi: 10.1186/s12882-021-02644-z.
2
Ankle-brachial index and subsequent risk of incident and recurrent cardiovascular events in older adults: The Atherosclerosis Risk in Communities (ARIC) study.踝臂指数与老年人后续心血管事件发生和复发的风险:动脉粥样硬化风险社区研究(ARIC)。
Atherosclerosis. 2021 Nov;336:39-47. doi: 10.1016/j.atherosclerosis.2021.09.028. Epub 2021 Oct 6.
3
Use of the ankle-brachial index combined with the percentage of mean arterial pressure at the ankle to improve prediction of all-cause mortality in type 2 diabetes mellitus: an observational study.
利用踝臂指数结合踝部平均动脉压的百分率提高 2 型糖尿病全因死亡率的预测:一项观察性研究。
Cardiovasc Diabetol. 2020 Oct 9;19(1):173. doi: 10.1186/s12933-020-01149-7.
4
Arterial stiffness is an independent predictor for risk of mortality in patients with type 2 diabetes mellitus: the REBOUND study.动脉僵硬度是 2 型糖尿病患者死亡风险的独立预测因子:REBOUND 研究。
Cardiovasc Diabetol. 2020 Sep 22;19(1):143. doi: 10.1186/s12933-020-01120-6.
5
State of the Art Review: Brachial-Ankle PWV.现状综述:肱踝脉搏波速度。
J Atheroscler Thromb. 2020 Jul 1;27(7):621-636. doi: 10.5551/jat.RV17041. Epub 2020 May 23.
6
Positive association between baseline brachial-ankle pulse wave velocity and the risk of new-onset diabetes in hypertensive patients.基线臂踝脉搏波速度与高血压患者新发糖尿病风险之间存在正相关关系。
Cardiovasc Diabetol. 2019 Aug 28;18(1):111. doi: 10.1186/s12933-019-0915-0.
7
Ability of the Ankle Brachial Index and Brachial-Ankle Pulse Wave Velocity to Predict the 3-Month Outcome in Patients with Non-Cardioembolic Stroke.踝臂指数和肱踝脉搏波速度预测非心源性卒中患者 3 个月转归的能力。
J Atheroscler Thromb. 2017 Nov 1;24(11):1167-1173. doi: 10.5551/jat.38901. Epub 2017 May 15.
8
Association of metabolic syndrome and its components with arterial stiffness in Caucasian subjects of the MARK study: a cross-sectional trial.MARK研究中高加索受试者代谢综合征及其组分与动脉僵硬度的关联:一项横断面试验
Cardiovasc Diabetol. 2016 Oct 24;15(1):148. doi: 10.1186/s12933-016-0465-7.
9
Ankle-brachial index and brachial-ankle pulse wave velocity are associated with albuminuria in community-based Han Chinese.踝臂指数和肱踝脉搏波速度与汉族社区人群的白蛋白尿有关。
Clin Exp Hypertens. 2016;38(7):618-623. doi: 10.1080/10641963.2016.1182177. Epub 2016 Sep 26.
10
Brachial-ankle pulse wave velocity, but not ankle-brachial index, predicts all-cause mortality in patients with diabetes after lower extremity amputation.肱踝脉搏波速度而非踝臂指数可预测糖尿病患者下肢截肢后的全因死亡率。
J Diabetes Investig. 2017 Mar;8(2):250-253. doi: 10.1111/jdi.12554. Epub 2016 Aug 25.