Suppr超能文献

水痘带状疱疹病毒活疫苗接种可诱导 ATLL 患者产生抗肿瘤免疫。

Live attenuated VZV vaccination induces antitumor immunity in ATLL patients.

机构信息

Department of Hematology, Japanese Red Cross Nagasaki Genbaku Hospital, Nagasaki, Japan.

Department of Viral Infections, Research Institute for Microbial Diseases, Osaka University, Osaka, Japan.

出版信息

Cancer Immunol Immunother. 2023 Apr;72(4):929-944. doi: 10.1007/s00262-022-03301-6. Epub 2022 Oct 1.

Abstract

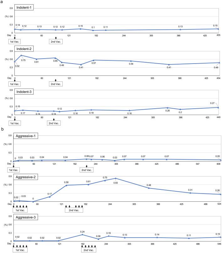
Adult T cell leukemia/lymphoma (ATLL) is a CD4-positive peripheral T cell lymphoma caused by human T cell lymphotropic virus type 1 (HTLV-1). Although ATLL is quite difficult to be cured, up-regulation of cellular immunity such as HTLV-1 Tax-specific cytotoxic T lymphocytes (CTLs) has been proved to be important to obtain long-term survival. At present, no efficacious method to activate ATLL-specific cellular immunity is available. This study aimed to investigate whether live attenuated varicella-zoster virus (VZV) vaccination to ATLL can activate HTLV-1 Tax-specific cellular immune response. A total of 3 indolent- and 3 aggressive-type ATLL patients were enrolled. All aggressive-type patients had the VZV vaccination after completing anti-ATLL treatment including mogamulizumab, which is a monoclonal antibody for C-C chemokine receptor 4 antigen, plus combination chemotherapy, whereas all indolent-type patients had the VZV vaccination without any antitumor treatment. Cellular immune responses including Tax-specific CTLs were analyzed at several time points of pre- and post-VZV vaccination. After the VZV vaccination, a moderate increase in 1 of 3 indolent-type patients and obvious increase in all 3 aggressive-type patients in Tax-specific CTLs percentage were observed. The increase in the cell-mediated immunity against VZV was observed in all indolent- and aggressive-type patients after VZV vaccination. To conclude, VZV vaccination to aggressive-type ATLL patients after mogamulizumab plus chemotherapy led to the up-regulation of HTLV-1 Tax-specific CTLs without any adverse event. Suppression of regulatory T lymphocytes by mogamulizumab may have contributed to increase tumor immunity in aggressive-type ATLL patients. Japan Registry of Clinical Trials number, jRCTs051180107.

摘要

成人 T 细胞白血病/淋巴瘤(ATLL)是一种由人类 T 细胞白血病病毒 1(HTLV-1)引起的 CD4 阳性外周 T 细胞淋巴瘤。虽然 ATLL 很难治愈,但细胞免疫的上调,如 HTLV-1 Tax 特异性细胞毒性 T 淋巴细胞(CTL),已被证明对获得长期生存很重要。目前,尚无有效的方法来激活 ATLL 特异性细胞免疫。本研究旨在探讨活减毒水痘带状疱疹病毒(VZV)疫苗接种对 ATLL 是否能激活 HTLV-1 Tax 特异性细胞免疫反应。共纳入 3 例惰性和 3 例侵袭性 ATLL 患者。所有侵袭性 ATLL 患者在完成包括 mogamulizumab(一种针对 C-C 趋化因子受体 4 抗原的单克隆抗体)在内的抗 ATLL 治疗后,即联合化疗后,进行了 VZV 疫苗接种,而所有惰性 ATLL 患者在未进行任何抗肿瘤治疗的情况下进行了 VZV 疫苗接种。在 VZV 疫苗接种前后的几个时间点分析了细胞免疫反应,包括 Tax 特异性 CTL。在 3 例惰性患者中的 1 例和所有 3 例侵袭性患者中观察到 Tax 特异性 CTL 百分比适度增加。在 VZV 疫苗接种后,所有惰性和侵袭性患者均观察到针对 VZV 的细胞介导免疫增加。总之,在 mogamulizumab 加化疗后,对侵袭性 ATLL 患者进行 VZV 疫苗接种可导致 HTLV-1 Tax 特异性 CTL 的上调,而无任何不良反应。mogamulizumab 对调节性 T 淋巴细胞的抑制可能有助于增加侵袭性 ATLL 患者的肿瘤免疫力。日本临床试验注册编号,jRCTs051180107。

https://cdn.ncbi.nlm.nih.gov/pmc/blobs/62f1/10992862/8a8887553f2f/262_2022_3301_Fig1_HTML.jpg

文献检索

告别复杂PubMed语法,用中文像聊天一样搜索,搜遍4000万医学文献。AI智能推荐,让科研检索更轻松。

立即免费搜索

文件翻译

保留排版,准确专业,支持PDF/Word/PPT等文件格式,支持 12+语言互译。

免费翻译文档

深度研究

AI帮你快速写综述,25分钟生成高质量综述,智能提取关键信息,辅助科研写作。

立即免费体验